Главная // Актуальные документы // ГОСТ Р (Государственный стандарт)СПРАВКА
Источник публикации
М.: Стандартинформ, 2020
Примечание к документу
Документ
введен в действие с 01.01.2015.
Название документа
"ГОСТ Р 56087.2-2014. Национальный стандарт Российской Федерации. Система национальных стандартов в области качества услуг связи. Методика проведения опроса пользователей"
(утв. и введен в действие Приказом Росстандарта от 19.08.2014 N 911-ст)
"ГОСТ Р 56087.2-2014. Национальный стандарт Российской Федерации. Система национальных стандартов в области качества услуг связи. Методика проведения опроса пользователей"
(утв. и введен в действие Приказом Росстандарта от 19.08.2014 N 911-ст)
Утвержден и введен в действие
агентства по техническому
регулированию и метрологии
от 19 августа 2014 г. N 911-ст
НАЦИОНАЛЬНЫЙ СТАНДАРТ РОССИЙСКОЙ ФЕДЕРАЦИИ
СИСТЕМА НАЦИОНАЛЬНЫХ СТАНДАРТОВ
В ОБЛАСТИ КАЧЕСТВА УСЛУГ СВЯЗИ
МЕТОДИКА ПРОВЕДЕНИЯ ОПРОСА ПОЛЬЗОВАТЕЛЕЙ
System of national standards for quality
of telecommunication services.
The methodology of inquiries among users
ГОСТ Р 56087.2-2014
Дата введения
1 января 2015 года
1 РАЗРАБОТАН Учреждением "Центр сертификации услуг связи"
2 ВНЕСЕН Управлением развития, информационного обеспечения и аккредитации Федерального агентства по техническому регулированию и метрологии
3 УТВЕРЖДЕН И ВВЕДЕН В ДЕЙСТВИЕ
Приказом Федерального агентства по техническому регулированию и метрологии от 19 августа 2014 г. N 911-ст
4 ВВЕДЕН ВПЕРВЫЕ
5 ПЕРЕИЗДАНИЕ. Февраль 2020 г.
Правила применения настоящего стандарта установлены в статье 26 Федерального закона от 29 июня 2015 г. N 162-ФЗ "О стандартизации в Российской Федерации". Информация об изменениях к настоящему стандарту публикуется в ежегодном (по состоянию на 1 января текущего года) информационном указателе "Национальные стандарты", а официальный текст изменений и поправок - в ежемесячном информационном указателе "Национальные стандарты". В случае пересмотра (замены) или отмены настоящего стандарта соответствующее уведомление будет опубликовано в ближайшем выпуске ежемесячного информационного указателя "Национальные стандарты". Соответствующая информация, уведомление и тексты размещаются также в информационной системе общего пользования - на официальном сайте Федерального агентства по техническому регулированию и метрологии в сети Интернет (www.gost.ru)
Настоящий стандарт устанавливает методику проведения опроса пользователей услуг связи с целью сбора информации для определения показателей, характеризующих удовлетворенность пользователей потребительскими свойствами предоставленных услуг связи.
Настоящий стандарт предназначен для использования хозяйствующими субъектами, действующими в области оказания услуг связи, контролирующими их органами, включая органы по сертификации, и другими заинтересованными в сборе такой информации сторонами как при проведении внешних и внутренних аудитов качества услуг связи, так и при проведении любых исследований в области деятельности хозяйствующего субъекта.
На основе настоящего стандарта хозяйствующими субъектами, действующими в области оказания услуг связи, могут разрабатываться собственные (внутренние) документы, определяющие методику проведения опроса пользователей.
Структура методики в настоящем стандарте соответствует рекомендациям, приведенным в
[1].
В настоящем стандарте использованы нормативные ссылки на следующие стандарты:
ГОСТ Р 50779.11 Статистические методы. Статистическое управление качеством. Термины и определения <1>
--------------------------------
<1> Действует
ГОСТ Р ИСО 3534-2-2019 "Статистические методы. Словарь и условные обозначения. Часть 2. Прикладная статистика".
ГОСТ Р 53725 Качество услуги "Междугородная телефонная связь". Показатели качества
ГОСТ Р 53726 Качество услуги "Международная телефонная связь". Показатели качества
ГОСТ Р 53727 Качество услуги "Местная телефонная связь". Показатели качества
ГОСТ Р 53728 Качество услуги "Передача данных". Показатели качества
ГОСТ Р 53729 Качество услуги "Предоставление виртуальной частной сети (VPN)". Показатели качества
ГОСТ Р 53730 Качество услуги "Предоставление каналов связи в аренду". Показатели качества
ГОСТ Р 53732 Качество услуг сотовой связи. Показатели качества
ГОСТ Р 55387 Качество услуги "Доступ в Интернет". Показатели качества
ГОСТ Р 55540 Качество услуги "Услуга центра обработки вызовов". Показатели качества
Примечание - При пользовании настоящим стандартом целесообразно проверить действие ссылочных стандартов в информационной системе общего пользования - на официальном сайте Федерального агентства по техническому регулированию и метрологии в сети Интернет или по ежегодному информационному указателю "Национальные стандарты", который опубликован по состоянию на 1 января текущего года, и по выпускам ежемесячного информационного указателя "Национальные стандарты" за текущий год. Если заменен ссылочный стандарт, на который дана недатированная ссылка, то рекомендуется использовать действующую версию этого стандарта с учетом всех внесенных в данную версию изменений. Если заменен ссылочный стандарт, на который дана датированная ссылка, то рекомендуется использовать версию этого стандарта с указанным выше годом утверждения (принятия). Если после утверждения настоящего стандарта в ссылочный стандарт, на который дана датированная ссылка, внесено изменение, затрагивающее положение, на которое дана ссылка, то это положение рекомендуется применять без учета данного изменения. Если ссылочный стандарт отменен без замены, то положение, в котором дана ссылка на него, рекомендуется применять в части, не затрагивающей эту ссылку.
3.1 анкетирование: Опрос, при проведении которого в качестве средства для сбора сведений от респондента используется специально оформленный список вопросов - анкета.
3.2 выборочная совокупность: Часть объектов, отобранных из генеральной совокупности, предназначенных для получения информации о ней.
3.3 генеральная совокупность: Совокупность всех единиц или объектов, по отношению к которым планируется изучение определенной проблемы и принятие выводов.
3.4 доступность услуги: Свойство услуги быть предоставленной тогда, когда это необходимо пользователю.
3.5 интервьюирование: Опрос в форме целенаправленной беседы интервьюера и опрашиваемого, при этом интервьюер сам задает вопросы и фиксирует ответы.
3.6 непрерывность услуги: Свойство услуги, будучи предоставленной, продолжаться в течение требуемого времени.
3.7 опрос: Метод сбора информации об объекте исследования, заключающийся в обращении к опрашиваемым людям с определенными вопросами, отражающими проблему исследования.
3.8 пользовательское оборудование (оконечное оборудование): Технические средства для передачи и (или) приема сигналов электросвязи по линиям связи, подключенные к абонентским линиям и находящиеся в пользовании абонентов или предназначенные для таких целей.
3.9 потребительское свойство услуги: Полезность услуги, ее способность удовлетворять какую-либо потребность пользователя.
3.10 репрезентативная совокупность: Представительность (высокая степень сходства) отобранной части объектов из всей изучаемой генеральной совокупности в отношении изучаемых характеристик.
3.11 типическая группа: Совокупность однородных единиц генеральной совокупности, объединенных определенным группировочным признаком.
3.12 удовлетворенность пользователя: Восприятие пользователем степени выполнения его требований.
3.13 целостность услуги: Свойство услуги, будучи предоставленной, обеспечиваться без чрезмерного ухудшения.
4 Методика проведения опроса пользователей
4.1 Объект и предмет исследования при проведении опроса
4.1.1 Объектом исследования являются виды услуг связи, оказываемых оператором связи.
4.1.2 Предметом исследования являются мнения пользователей в отношении восприятия ими потребительских свойств исследуемых видов услуг связи.
4.1.3 Для проведения опроса по каждому виду услуг формируется репрезентативная совокупность пользователей. В зависимости от объема генеральной совокупности в группу опрашиваемых может быть включена либо выборочная совокупность, либо вся генеральная совокупность пользователей по каждому виду услуг.
4.1.4 В ходе проведения опроса и последующей обработки результатов для пользователей, включенных в группы опрашиваемых, используются зарегистрированные в учетных документах имя (для физических лиц) или наименование организации.
4.2 Определяемые характеристики
4.2.1 При опросе пользователей услуг связи по каждому виду услуг выявляют мнение пользователей в виде:
- первичной оценки удовлетворенности отдельными потребительскими свойствами предоставленных услуг;
- первичной оценки удовлетворенности качеством в целом предоставленных услуг;
- балльной оценки отдельных потребительских свойств предоставленных услуг;
- балльной оценки качества предоставленных услуг в целом.
4.2.2 Первичную оценку каждым опрашиваемым пользователем осуществляют по принципу "да - нет". В результате обработки первичных оценок опроса определяют групповую оценку удовлетворенности в виде процента удовлетворенных пользователей.
4.2.3 Балльную оценку проводят по четырехбалльной шкале
[2]:
- "отлично" - 5;
- "хорошо" - 4;
- "удовлетворительно" - 3;
- "плохо" - 2.
В результате обработки данных опроса определяют групповую балльную оценку.
4.2.4 Состав показателей качества услуг связи, определяемых по результатам опроса и характеризующих удовлетворенность пользователей потребительскими свойствами услуг, приведен в таблице 1.
Таблица 1
Показатели качества услуг связи,
определяемые по результатам опроса пользователей
Потребительское свойство услуги | Наименование показателя качества услуг связи |
Доступность услуги | Процент пользователей, удовлетворенных доступностью услуги. Балльная оценка доступности услуги |
Непрерывность услуги | Процент пользователей, удовлетворенных непрерывностью услуг. Балльная оценка непрерывности услуги |
Целостность услуги | Процент пользователей, удовлетворенных целостностью услуги. Балльная оценка целостности услуги |
Качество передачи | Процент пользователей, удовлетворенных качеством передачи. Балльная оценка качества передачи |
Качество обслуживания | Процент пользователей, удовлетворенных качеством обслуживания. Процент пользователей, удовлетворенных качеством и сроками устранения неисправностей. Балльная оценка качества обслуживания |
Качество услуги в целом | Процент пользователей, удовлетворенных качеством услуги в целом. Балльная оценка качества услуги в целом |
Примечание - Состав потребительских свойств и показателей качества услуг связи в таблице представлен с учетом международной практики и рекомендаций МСЭ-Т [ 2, 3, 4] и может быть дополнен и/или изменен показателями удовлетворенности пользователей, представленными в ГОСТ Р 53725, ГОСТ Р 53726, ГОСТ Р 53727, ГОСТ Р 53728, ГОСТ Р 53729, ГОСТ Р 53730, ГОСТ Р 53732, ГОСТ Р 55387, ГОСТ Р 55540. |
4.3 Методы и средства проведения опроса
4.3.1 Выбранный метод проведения опроса должен предусматривать форму и способ его проведения.
4.3.2 Опрос пользователей услуг связи осуществляется в устной или письменной форме в зависимости от целей, задач и условий проводимого обследования.
4.3.3 Основными способами проведения опроса являются анкетирование и интервьюирование, проводимое по определенной программе.
4.3.4 Анкета, используемая при проведении опроса, должна содержать ясные, однозначно понимаемые, требующие простого ответа ("да/нет" или балльную оценку) вопросы.
4.3.5 Программа интервью, используемая при проведении опроса, должна обеспечить ведение беседы в произвольной форме, но в рамках установленных для обсуждения вопросов и соответствующего времени.
Вопросы программы должны быть ясно, четко сформулированы, однозначно понимаемы; должно быть точно установлено время на их обсуждение.
4.3.6 Технические средства, необходимые для проведения опросов, должны соответствовать установленным для них требованиям и техническим условиям.
4.3.7 С учетом возможностей взаимодействия с пользователями услуг связи разных видов услуг связи (в зависимости от объемов клиентских баз по видам услуг, используемых технических средств и т.д.) применяют разные методы проведения опроса, приведенные в таблице 2.
Таблица 2
Методы и средства проведения
опроса пользователей услуг связи
Метод проведения опроса | Форма опроса пользователей | Способ опроса пользователей | Используемые средства |
Телефонный опрос | Устная | Анкетирование | Пользовательское оборудование (оконечное оборудование). Анкета. Пользовательское оборудование (оконечное оборудование). |
Интервьюирование | Программа интервьюирования |
Почтовая рассылка | Письменная | Анкетирование | Анкета. Средства для отправки почтовой корреспонденции (конверты, марки, адресные каталоги и пр.) |
Рассылка по e-mail и факсу | Письменная | Анкетирование | Персональный компьютер, подключенный к сети Интернет. Факс. Анкета |
Интерактивный опрос на сайте оператора связи | Письменная | Анкетирование | Веб-ресурсы организатора опроса. Программные средства управления проектом проведения опросов. Анкета |
Использование для опроса "личного кабинета" пользователя на веб-ресурсе оператора | Письменная | Анкетирование | Web-ресурсы организатора опроса. Программные средства управления проектом проведения опросов. Анкета |
Опрос в местах обслуживания пользователей (в клиентских залах, расчетных кассах, пунктах продажи сервисных карт и пр.) | Устная | Анкетирование. Интервьюирование | Анкета. Программа интервьюирования |
Письменная | Анкетирование. Интервьюирование | Анкета. Программа интервьюирования |
4.4 Условия проведения опроса
4.4.1 Проведение опросов организаций - пользователей исследуемых видов услуг связи осуществляют в рабочее время этих организаций.
4.4.2 Проведение опроса физических лиц - пользователей исследуемых видов услуг связи осуществляют в любое время, кроме ночного.
4.4.3 В качестве контактного лица при опросе организации должно выступать лицо, ответственное за обеспечение услугами связи в данной организации.
4.4.4 Каждое взаимодействие с опрашиваемым лицом при опросе должно начинаться с информирования его о назначении проводимого опроса, кем и в связи с чем проводится опрос, а также о сроках представления ответов, если опрос проводится в письменной форме.
4.4.5 При проведении опроса в устной форме ведущий опрос должен четко и ясно произносить задаваемый вопрос, при необходимости давать пояснения по сути вопроса, не вступать в обсуждение по заданному вопросу, четко фиксировать ответ.
4.5 Порядок проведения опроса
4.5.1 Основные этапы проведения опроса:
- подготовительный этап;
- опрос.
4.5.2 Подготовительный этап включает выполнение следующих действий.
4.5.2.1 Разработка программы проведения работ, включая:
- постановку целей и задач проведения исследования;
- определение состава исследуемых видов услуг;
- выбор метода проведения опроса по каждому виду услуг с определением формы и способа проведения опроса;
- разработку анкет проведения опроса и программ интервьюирования;
- определение состава опрашиваемых пользователей услуг;
- разработку графика проведения работ по опросу пользователей и обработке результатов опроса.
4.5.2.2 Определение существующего состава пользователей по каждому виду обследуемых услуг
Для каждого вида услуг на основе учетной, юридической и другой документации необходимо установить:
- общее число пользователей i-м видом услуг - объем генеральной совокупности по i-му виду услуг (Ni);
- типические группы пользователей i-м видом услуг;
- общее количество пользователей в каждой j-й типической группе пользователей i-м видом услуг (mij);
- удельный вес каждой j-й типической группы в генеральной совокупности пользователей i-м видом услуг (qij), используемый далее для разделения выборочной совокупности по типическим группам пользователей.
При этом qij = mij/Ni.
4.5.2.3 При малом объеме генеральной совокупности пользователей i-м видом услуг (до 20 человек) в состав опрашиваемых включают всех пользователей, при большем количестве - формируют выборочную совокупность пользователей по каждому виду услуг.
4.5.2.4 Формирование выборочных совокупностей пользователей
Выборочная совокупность пользователей должна отражать существующий состав пользователей по типическим группам соответствующего вида исследуемых услуг (например, физические лица, юридические лица, операторы связи и пр.).
Для формирования типических групп в выборочной совокупности применяют индивидуальный, бесповторный способ отбора, при котором отдельные представители типических групп пользователей включаются в состав опрашиваемой группы однократно.
Отбор пользователей в каждую типическую группу осуществляется способом случайной или механической выборки.
Случайность отбора может быть обеспечена применением жеребьевки или таблицы случайных чисел.
Механическую выборку проводят в определенном порядке: например, каждая пятая единица или каждая десятая единица и т.д.
Способ отбора в типические группы выбирает руководитель группы, проводящей опрос.
4.5.2.5 Определение объема выборочной совокупности пользователей по каждому виду обследуемых услуг для проведения опроса
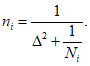
При вышепредставленном характере формирования выборочных совокупностей применяют следующую формулу для расчета объема выборочной совокупности пользователей по i-му виду услуг:

, (1)
где Ni - объем генеральной совокупности пользователей по i-му виду услуг;

- значение допустимой ошибки при определении показателей, представленных в
таблице 1. Значение

может быть принято равным 0,03 - 0,05, исходя из традиционно допустимой погрешности в социологических исследованиях на уровне 3% - 5%. Решение о выборе конкретного значения

принимает экспертная группа, проводящая опрос, исходя из условий опроса, технических и экономических возможностей его проведения;
t - коэффициент доверия, зависящий от вероятности, с которой гарантируется, что фактическая ошибка не выйдет за пределы допустимой. Наиболее часто принимаемое при социологических исследованиях значение доверительной вероятности P = 0,954, при этом t = 2;

- среднее квадратическое отклонение значений оцениваемых показателей, определяемое либо на основе пробной выборки, либо ориентировочно принимаемое 0,5 в условиях полного отсутствия исходных данных для расчета.
Если принимаются вышеприведенные значения
t и

, то для расчета
ni используют более упрощенную формулу

(2)
В случае больших объемов генеральной совокупности пользователей
i-м видом услуг (более 200 человек) допускается при определении объема выборочной совокупности для экономии времени и других ресурсов устанавливать значение допустимой ошибки

, а также использовать более простой прием для расчета объема выборочной совокупности: устанавливать объем выборочной совокупности в размере 10% - 15% объема генеральной совокупности.
4.5.2.6 Определение объемов типических групп в выборочных совокупностях
Число опрашиваемых пользователей, представляющих каждую типическую группу в выборочной совокупности, должно быть пропорционально общей численности типической группы в генеральной совокупности пользователей по каждому виду услуг:
nij = qij/ni, (3)
где nij - объем j-й типической группы в выборочной совокупности пользователей по i-му виду обследуемых услуг;
ni - общий объем выборочной совокупности пользователей по i-му виду обследуемых услуг;
4.5.3 Этап опроса включает выполнение следующих действий.
4.5.3.1 Составление руководителем группы, проводящей опрос, графика проведения работ с учетом состава группы, сформированных для опроса выборочных совокупностей пользователей, а также с учетом форм и способов опроса.
4.5.3.2 Проведение руководителем группы инструктажа членов группы.
4.5.3.3 Ответственные в группе за соответствующие формы и способы проведения опроса организуют размещение и рассылку анкет в электронной среде и по почте, снабжение членов группы анкетами и программами интервьюирования.
4.5.3.4 Члены группы проводят опрос в соответствии с графиком проведения работ, выбранными формами, способами и инструкцией по проведению опроса.
4.5.3.5 На каждой заполняемой анкете указывают следующую информацию (помимо ответов на вопросы):
- дату заполнения;
- наименование опрашиваемого пользователя и номер телефона;
- типическую группу;
- фамилию и подпись эксперта, проводившего опрос.
Заполненные анкеты передают руководителю группы экспертов.
4.6 Обработка данных и оформление результатов опроса
4.6.1 После завершения сбора анкет проводят проверку правильности их заполнения. Неправильно заполненные анкеты должны быть либо исключены из общего полученного массива, либо проведено уточнение информации и дополнение анкеты.
4.6.2 Обработка данных опроса пользователей, включенных в выборочные совокупности, сводится к определению в соответствии с теорией статистики выборочных значений показателей по каждому виду услуг, приведенных в
таблице 1.
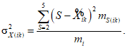
4.6.3 Выборочное среднее значение балльной оценки
k-го потребительского свойства для
i-го вида услуги

определяют по формуле

, (4)
где S - оценка в баллах, выставляемая респондентом по четырехбалльной шкале (S = 2; 3; 4; 5);
mS(ik) - число респондентов, давших оценку S баллов k-му потребительскому свойству услуг i-го вида.
4.6.4 Выборочное значение доли (или %) пользователей, удовлетворенных
k-м потребительским свойством услуг
i-го вида

, определяют по формуле

, (5)
где mik - число респондентов, удовлетворенных k-м потребительским свойством предоставленных им услуг i-го вида;
mi - общее количество респондентов, анкеты которых участвуют в обработке результатов опроса по i-му виду услуг.
К удовлетворенным потребителям относят респондентов, оценивших потребительские свойства услуги на "4" или "5".
4.6.5 Расхождения между выборочными значениями показателей и показателями генеральных совокупностей оцениваются доверительными пределами для рассчитанных по результатам опроса показателей, которые позволяют корректно представить результаты проведенного опроса.
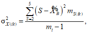
4.6.6 Доверительные пределы генеральной средней балльной оценки
k-го потребительского свойства для
i-го вида услуг

определяют по формуле

, (6)

. (7)
При этом:

, (8)

(9)
В случае малой выборки (при
mi < 20)

рассчитывают по формуле

(10)
где

- предельная ошибка выборочного наблюдения по балльной оценке
k-го потребительского свойства
i-го вида услуг;

- дисперсия балльной оценки
k-го потребительского свойства для выборочной совокупности пользователей по
i-му виду услуг.
Для доверительной вероятности P = 0,954, принимаемой обычно при социологических исследованиях, значение t = 2.
4.6.7 Доверительные пределы генеральной доли (или %) пользователей, удовлетворенных k-м потребительским свойством для i-го вида услуг (Pik), определяют по формуле

, (11)

. (12)
При этом:

, (13)

, (14)
где

- предельная ошибка выборочного наблюдения по показателю "Процент (или доля) пользователей, удовлетворенных
k-м потребительским свойством услуг
i-го вида";

- дисперсия этого показателя.
При доверительной вероятности P = 0,954 значение t = 2.
4.6.8 Результаты проведенного опроса оформляют документально (в виде протокола, акта и пр.).
4.6.9 В итоговый документ должна быть включена следующая информация:
- цель, задачи и область проведения исследования;
- состав исследуемых услуг связи;
- состав группы, проводившей опрос;
- период проведения опроса;
- состав опрашиваемых пользователей услуг;
- используемые формы и способы опроса;
- определяемые показатели;
- результаты опроса в виде объемов и состава полученной информации;
- результаты опроса в виде оценок показателей исследуемых услуг связи, которые могут быть представлены в виде таблиц и/или графиков;
- выводы;
- приложения.
4.6.10 Оценки показателей исследуемых услуг связи, представленные в итоговом документе, должны быть использованы для анализа степени удовлетворенности пользователей этих услуг, развития и совершенствования деятельности по предоставлению услуг связи.
| Рекомендации ВНИИС Р-50-601-42-94 | Разработка и аттестация методик испытаний для целей сертификации |
| Рекомендация МСЭ-Т Е.432 | Качество связи |
| Рекомендация МСЭ-Т Е.800 | Определение терминов, относящихся к качеству обслуживания |
| Рекомендация МСЭ-Т Е.802 | Качество услуг электросвязи: концепции, модели, цели и планирование надежности работы. Термины и определения, связанные с качеством услуг электросвязи |
УДК 006.1:654.01:658.64:006.354 | |
Ключевые слова: опрос, методика проведения опроса, пользователь, услуги связи, потребительское свойство услуги |