Главная // Актуальные документы // ГОСТ Р (Государственный стандарт)СПРАВКА
Источник публикации
М.: Стандартинформ, 2016
Примечание к документу
Документ
введен в действие с 1 мая 2016 года.
Название документа
"ГОСТ Р 8.908-2015. Национальный стандарт Российской Федерации. Государственная система обеспечения единства измерений. Средства измерений объемного расхода нефти и нефтепродуктов. Испытания, поверка и калибровка с применением трубопоршневых установок"
(утв. и введен в действие Приказом Росстандарта от 10.12.2015 N 2144-ст)
"ГОСТ Р 8.908-2015. Национальный стандарт Российской Федерации. Государственная система обеспечения единства измерений. Средства измерений объемного расхода нефти и нефтепродуктов. Испытания, поверка и калибровка с применением трубопоршневых установок"
(утв. и введен в действие Приказом Росстандарта от 10.12.2015 N 2144-ст)
Утвержден и введен в действие
агентства по техническому
регулированию и метрологии
от 10 декабря 2015 г. N 2144-ст
НАЦИОНАЛЬНЫЙ СТАНДАРТ РОССИЙСКОЙ ФЕДЕРАЦИИ
ГОСУДАРСТВЕННАЯ СИСТЕМА ОБЕСПЕЧЕНИЯ ЕДИНСТВА ИЗМЕРЕНИЙ
СРЕДСТВА ИЗМЕРЕНИЙ ОБЪЕМНОГО РАСХОДА НЕФТИ
И НЕФТЕПРОДУКТОВ
ИСПЫТАНИЯ, ПОВЕРКА И КАЛИБРОВКА С ПРИМЕНЕНИЕМ
ТРУБОПОРШНЕВЫХ УСТАНОВОК
State system for ensuring the uniformity of measurements.
Measuring instruments of volume flow of oil and oil
products. Tests, verification and calibration with provers
ГОСТ Р 8.908-2015
Дата введения
1 мая 2016 года
1 РАЗРАБОТАН Обществом с ограниченной ответственностью "Научно-исследовательский институт транспорта нефти и нефтепродуктов Транснефть" (ООО "НИИ Транснефть")
2 ВНЕСЕН Подкомитетом ПК 7 "Магистральный трубопроводный транспорт нефти и нефтепродуктов" Технического комитета по стандартизации ТК 23 "Нефтяная и газовая промышленность"
3 УТВЕРЖДЕН И ВВЕДЕН В ДЕЙСТВИЕ
Приказом Федерального агентства по техническому регулированию и метрологии от 10 декабря 2015 г. N 2144-ст
4 ВВЕДЕН ВПЕРВЫЕ
Правила применения настоящего стандарта установлены в ГОСТ Р 1.0-2012
(раздел 8). Информация об изменениях к настоящему стандарту публикуется в ежегодном (по состоянию на 1 января текущего года) информационном указателе "Национальные стандарты", а официальный текст изменений и поправок - в ежемесячном информационном указателе "Национальные стандарты". В случае пересмотра (замены) или отмены настоящего стандарта соответствующее уведомление будет опубликовано в ближайшем выпуске информационного указателя "Национальные стандарты". Соответствующая информация, уведомление и тексты размещаются также в информационной системе общего пользования - на официальном сайте Федерального агентства по техническому регулированию и метрологии в сети Интернет (www.gost.ru)
1.1 Настоящий стандарт устанавливает:
а) содержание программы проведения испытаний в целях утверждения типа средств измерений объемного расхода нефти/нефтепродуктов с применением трубопоршневых установок;
б) методику поверки средств измерений объемного расхода нефти/нефтепродуктов с применением трубопоршневых установок;
в) методику калибровки средств измерений объемного расхода нефти/нефтепродуктов с применением трубопоршневых установок.
1.2 Настоящий стандарт распространяется на средства измерений объемного расхода нефти/нефтепродуктов (турбинные, ультразвуковые, роторные, лопастные), в том числе применяемые в составе систем измерений количества и показателей качества нефти/нефтепродуктов.
1.3 Настоящий стандарт может быть применен при разработке документов на методики поверки/калибровки средств измерений объемного расхода нефти/нефтепродуктов (турбинные, ультразвуковые, роторные, лопастные), в том числе применяемых в составе систем измерений количества и показателей качества нефти/нефтепродуктов, а также документов на методики поверки систем измерений количества и показателей качества нефти/нефтепродуктов.
В настоящем стандарте использованы нормативные ссылки на следующие стандарты:
ГОСТ 2.105 Единая система конструкторской документации. Общие требования к текстовым документам
ГОСТ 8.510 Государственная система обеспечения единства измерений. Государственная поверочная схема для средств измерений объема и массы жидкости
ГОСТ 12.0.004 Система стандартов безопасности труда. Организация обучения безопасности труда. Общие положения
ГОСТ 12.1.030 Система стандартов безопасности труда. Электробезопасность. Защитное заземление. Зануление
ГОСТ 33 (ИСО 3104-94) Нефтепродукты. Прозрачные и непрозрачные жидкости. Определение кинематической вязкости и расчет динамической вязкости
ГОСТ 1756 (ИСО 3007-99) Нефтепродукты. Определение давления насыщенных паров
ГОСТ 2517 Нефть и нефтепродукты. Методы отбора проб
ГОСТ 3900 Нефть и нефтепродукты. Методы определения плотности
ГОСТ Р 8.736 Государственная система обеспечения единства измерений. Измерения прямые многократные. Методы обработки результатов измерений. Основные положения
ГОСТ Р 51069 Нефть и нефтепродукты. Метод определения плотности, относительной плотности и плотности в градусах API ареометром
ГОСТ Р 52050 Топливо авиационное для газотурбинных двигателей Джет А-1 (Jet A-1). Технические условия
ГОСТ Р 52340 Нефть. Определение давления паров методом расширения
Примечание - При пользовании настоящим стандартом целесообразно проверить действие ссылочных стандартов в информационной системе общего пользования - на официальном сайте Федерального агентства по техническому регулированию и метрологии в сети Интернет или по ежегодному информационному указателю "Национальные стандарты", который опубликован по состоянию на 1 января текущего года, и по выпускам ежемесячного информационного указателя "Национальные стандарты" за текущий год. Если заменен ссылочный стандарт, на который дана недатированная ссылка, то рекомендуется использовать действующую версию этого стандарта с учетом всех внесенных в данную версию изменений. Если заменен ссылочный стандарт, на который дана датированная ссылка, то рекомендуется использовать версию этого стандарта с указанным выше годом утверждения (принятия). Если после утверждения настоящего стандарта в ссылочный стандарт, на который дана датированная ссылка, внесено изменение, затрагивающее положение, на которое дана ссылка, то это положение рекомендуется применять без учета данного изменения. Если ссылочный стандарт отменен без замены, то положение, в котором дана ссылка на него, рекомендуется применять в части, не затрагивающей эту ссылку.
В настоящем стандарте применены следующие термины с соответствующими определениями:
3.1 испытания средств измерений в целях утверждения типа: Работы по определению метрологических и технических характеристик однотипных средств измерений.
3.2 контрольное средство измерений: Средство измерений, которое применяется для контроля метрологических характеристик рабочих средств измерений.
3.3 контрольно-резервное средство измерений: Средство измерений, которое применяется для контроля метрологических характеристик рабочих средств измерений и/или для временного измерения количества нефти/нефтепродуктов взамен рабочего средства измерений.
3.4 калибровка средств измерений: Совокупность операций, выполняемых с целью определения действительных значений метрологических характеристик средств измерений.
3.5 поверка средств измерений: Совокупность операций, выполняемых в целях подтверждения соответствия средств измерений метрологическим требованиям.
3.6 рабочий диапазон расходов: Интервал значений расхода рабочей среды, в котором эксплуатируются средства измерений и нормированы их метрологические характеристики.
3.7 рабочее средство измерений: Средство измерений, которое находится в работе при нормальном режиме эксплуатации.
3.8 резервное средство измерений: Средство измерений, которое находится в ненагруженном резерве и в любой момент времени может быть включено в работу.
3.9 свидетельство о поверке: Документ, удостоверяющий факт и результаты поверки средств измерений, который выдается организацией, осуществляющей поверку.
3.10 сертификат о калибровке: Документ, удостоверяющий факт и результаты калибровки средств измерений, который выдается организацией, осуществляющей калибровку.
3.11 стандартные условия: Условия, соответствующие температуре нефти/нефтепродуктов 15 °C или 20 °C и избыточному давлению, равному нулю.
3.12 утверждение типа средств измерений: Документально оформленное в установленном порядке решение о признании соответствия типа средств измерений метрологическим и техническим требованиям (характеристикам) на основании результатов испытаний средств измерений в целях утверждения типа.
3.13 эталонное средство измерений: Средство измерений, которое применяется для поверки, калибровки или контроля метрологических характеристик рабочих, резервных, контрольных средств измерений.
В настоящем стандарте применены следующие сокращения:
имп - импульс;
ПВ - преобразователь вязкости;
ПП - преобразователь плотности;
СИ - средство измерений;
СИКН - система измерений количества и показателей качества нефти/нефтепродуктов;
СКО - среднее квадратическое отклонение;
СОИ - система обработки информации;
ТПУ - трубопоршневая установка.
5.1 Тип СИ объемного расхода, применяемых в сфере государственного регулирования обеспечения единства измерений, подлежит обязательному утверждению.
5.2 СИ объемного расхода, применяемые в сфере государственного регулирования обеспечения единства измерений, подлежат первичной и периодической поверкам.
5.3 СИ объемного расхода утвержденного типа, не применяемые в сфере государственного регулирования обеспечения единства измерений, могут в добровольном порядке подвергаться поверке или калибровке.
Примечание - СИ объемного расхода, тип которых не утвержден, могут подвергаться только калибровке.
5.4 Интервал между поверками СИ объемного расхода должен устанавливаться при утверждении типа.
5.5 Интервал между калибровками СИ объемного расхода должен устанавливаться организацией, эксплуатирующей СИ объемного расхода.
6 Требования безопасности
6.1 При выполнении работ должны соблюдаться требования охраны труда, промышленной и пожарной безопасности.
6.2 Пожарная безопасность и взрывобезопасность должны обеспечиваться в соответствии с Федеральным
законом [1] и
правилами [2].
6.3 Применяемое электрооборудование должно быть надежно заземлено в соответствии с
ГОСТ 12.1.030.
6.4 Применяемое оборудование должно иметь сертификат соответствия (декларацию о соответствии) требованиям технических регламентов или заключение экспертизы промышленной безопасности.
6.5 СИ объемного расхода и оборудование должны использоваться в соответствии с руководствами (инструкциями) по эксплуатации.
6.6 Конструкция СИ объемного расхода и оборудования, применяемого при испытаниях, поверке и калибровке, должна обеспечивать возможность безопасного выполнения операций в том числе с применением средств индивидуальной защиты.
6.7 При возникновении неисправностей, аварийной разгерметизации оборудования работы должны быть прекращены. Возобновление работ допускается только после выявления и устранения причин их возникновения.
7 Испытания средств измерений объемного расхода с применением трубопоршневых установок в целях утверждения типа
7.1 Организация проведения испытаний
7.1.1 Перечень документов, порядок их оформления и представления для проведения испытаний в целях утверждения типа СИ объемного расхода - в соответствии с
[3].
7.1.2 Правила и порядок проведения испытаний в целях утверждения типа СИ объемного расхода - в соответствии с
[4],
[5], административным
регламентом [6].
7.2 Требования к программам испытаний
7.2.1 Испытания в целях утверждения типа СИ объемного расхода должны проводиться в соответствии с программой испытаний.
7.2.2 Программа испытаний должна разрабатываться юридическим лицом, проводящим испытания, и до утверждения согласовываться с заявителем испытаний. Согласованная программа испытаний утверждается руководителем (заместителем руководителя) юридического лица, проводящего испытания.
Примечание - По договоренности сторон заявитель испытаний предоставляет проект программы испытаний.
7.2.3 Программа испытаний должна разрабатываться с учетом положений действующих национальных стандартов Российской Федерации, устанавливающих общие требования к СИ объемного расхода, их разработке, испытаниям и применению (при наличии соответствующих национальных стандартов Российской Федерации), а также обязательных метрологических и технических требований к СИ объемного расхода, установленных действующим законодательством Российской Федерации.
7.2.4 Программа испытаний должна оформляться в соответствии с
ГОСТ 2.105 с учетом
[3]. Типовое содержание программы испытаний СИ объемного расхода в целях утверждения типа приведено в
приложении А.
7.3 Проведение испытаний и оформление результатов
7.3.1 Испытания в целях утверждения типа СИ объемного расхода должны проводиться в условиях и объеме, предусмотренном утвержденной программой испытаний.
7.3.2 Для проведения испытаний заявитель должен предоставить СИ объемного расхода в комплектности, предусмотренной программой испытаний, эксплуатационную документацию, а также материалы и оборудование, необходимые для его монтажа (демонтажа).
7.3.3 При проведении испытаний заявитель по запросу юридического лица, проводящего испытания, должен предоставлять дополнительные разъясняющие и справочные материалы, касающиеся работы, настройки и монтажа (демонтажа) СИ объемного расхода.
7.3.4 Замечания юридического лица, проводящего испытания, должны, по возможности, устраняться заявителем за время проведения испытаний.
7.3.5 При испытаниях должны применяться СИ (эталоны) по
8.2. Дополнительное оборудование - в соответствии с программой испытаний.
7.3.6 СИ (эталоны), применяемые при испытаниях, должны иметь действующие свидетельства о поверке и/или знак поверки.
7.3.7 Определение метрологических характеристик СИ объемного расхода, обработка результатов измерений при проведении испытаний должны проводиться по программе испытаний с учетом
8.6,
8.7.
7.3.8 При проведении испытаний должна быть проведена проверка метрологических характеристик СИ объемного расхода во всем диапазоне расходов и вязкости.
Примечание - Влияние вязкости учитывается при применении отношения частоты выходного сигнала к вязкости для построения градуировочной характеристики.
7.3.9 Результаты испытаний должны фиксироваться в протоколе испытаний. Протокол испытаний должен оформляться в соответствии с
[3]. По полученным результатам должен оформляться акт в соответствии с
[3].
8 Поверка средств измерений объемного расхода с применением трубопоршневых установок
8.1.1 При проведении поверки СИ объемного расхода должны выполняться следующие операции:
а) внешний осмотр в соответствии с
8.6.1;
б) опробование в соответствии с
8.6.2;
в) проведение измерений в соответствии с
8.6.3;
г) обработка результатов измерений в соответствии с
8.7:
1) определение коэффициентов преобразования,
2) вычисление СКО результатов определения коэффициентов преобразования,
3) вычисление неисключенной систематической составляющей относительной погрешности,
4) вычисление относительной погрешности и случайной составляющей относительной погрешности,
5) оценка результатов измерений;
д) оформление результатов поверки в соответствии с
8.8.
8.1.2 При наличии в технической документации на СИ объемного расхода заводского коэффициента преобразования KF, имп/м3, при проведении поверки СИ объемного расхода допускается определять и применять не коэффициенты преобразования K, имп/м3, а безразмерные коэффициенты коррекции MF заводского коэффициента преобразования KF, имп/м3.
8.2.1 СИ (эталоны), применяемые для поверки, должны иметь действующие свидетельства о поверке и/или знак поверки.
8.2.2 При проведении поверки должны применяться следующие СИ (эталоны):
а) ТПУ разряда 1 или 2 по
ГОСТ 8.510 с пределами допускаемой относительной погрешности от +/- 0,03% до +/- 0,05% и +/- 0,1% соответственно в зависимости от пределов допускаемой относительной погрешности поверяемых СИ объемного расхода, установленных в описании типа СИ;
Примечание - Допускается использовать компакт-пруверы разряда 1 по
ГОСТ 8.510 с пределами допускаемой относительной погрешности от +/- 0,03% до +/- 0,05%. Если нет дополнительных указаний, то установленные требования распространяются как на трубопоршневые установки, так и на компакт-пруверы.
б) преобразователи давления с пределами допускаемой приведенной погрешности +/- 0,5%;
Примечание - Допускается использовать манометры с классом точности не ниже 0,6.
в) преобразователи температуры с пределами допускаемой абсолютной погрешности +/- 0,3 °C;
Примечание - Допускается использовать термометры с пределами допускаемой абсолютной погрешности +/- 0,2 °C.
г) СОИ:
1) с пределами допускаемой относительной погрешности вычислений коэффициентов преобразования СИ объемного расхода +/- 0,025%;
2) с пределами допускаемой основной приведенной погрешности измерения напряжения +/- 0,005%;
3) с пределами допускаемой основной приведенной погрешности измерения силы постоянного тока +/- 0,04%;
д) поточные ПП с пределами допускаемой абсолютной погрешности +/- 0,36 кг/м3;
Примечание - Допускается использовать автоматические лабораторные СИ плотности с пределами допускаемой абсолютной погрешности +/- 0,36 кг/м
3 или СИ по
ГОСТ 3900 или по
ГОСТ Р 51069.
е) поточные ПВ с пределами допускаемой приведенной погрешности +/- 1%.
Примечание - Допускается использовать автоматические лабораторные СИ вязкости с пределами допускаемой приведенной погрешности +/- 1% или СИ по
ГОСТ 33.
8.2.3 При проведении поверки ультразвуковых СИ объемного расхода в соответствии с настоящим стандартом применяются только ТПУ. Применяемые ТПУ должны выбираться исходя из зависимости значения вместимости калиброванного участка от диаметра ультразвуковых СИ объемного расхода и количества проводимых измерений для каждой точки рабочего диапазона расходов. Значения вместимости калиброванного участка ТПУ приведены в таблице 8.1.
Таблица 8.1
Значения вместимости калиброванного участка ТПУ
Количество измерений, шт. | Значение вместимости калиброванного участка ТПУ, м3, в зависимости от диаметра ультразвукового СИ объемного расхода, мм, не менее |
100 | 150 | 200 | 250 | 300 | 350 | 400 |
5 | 5,28 | 11,68 | 20,8 | 32,48 | 46,88 | 63,84 | 83,36 |
8 | 2,4 | 5,44 | 9,6 | 15,04 | 21,6 | 29,44 | 38,56 |
10 | 1,6 | 3,52 | 6,4 | 9,92 | 14,24 | 19,36 | 25,28 |
8.3 Требования к квалификации поверителей
8.3.1 К поверке допускаются лица старше 18 лет, аттестованные в качестве поверителей, отвечающие установленным квалификационным требованиям, прошедшие обучение по промышленной и пожарной безопасности, с группой допуска до 1000 В, по безопасности труда в соответствии с
ГОСТ 12.0.004 и инструктаж по охране труда.
8.3.2 Лица, допущенные к поверке, должны знать свои обязанности, инструкции (руководства) по эксплуатации СИ и оборудования и уметь выполнять операции, предусмотренные настоящим стандартом.
8.4.1 Поверка СИ объемного расхода должна осуществляться в рабочем диапазоне расходов и вязкости на рабочей среде (нефть, нефтепродукты) в условиях эксплуатации, установленных в описании типа.
8.4.2 Наличие свободного газа в рабочей среде не допускается.
8.4.3 Значение избыточного давления в трубопроводе
Pизб, МПа, после СИ объемного расхода должно быть не менее значения, рассчитанного по формуле

(1)

- перепад давления на СИ объемного расхода, МПа (определяется по технической документации на СИ объемного расхода).
Примечание - При отличии формулы в технической документации на СИ объемного расхода для расчета значения избыточного давления в трубопроводе Pизб от приведенной следует проводить расчет по технической документации.
8.4.4 Изменение температуры рабочей среды в измерительной линии поверяемого СИ объемного расхода, на входе и выходе ТПУ за время движения поршня от одного детектора до другого (в двунаправленных ТПУ - в обоих направлениях) не должно превышать 0,3 °C.
8.4.5 Отклонение значения расхода рабочей среды от установленного в процессе поверки за время одного измерения при прохождении шарового поршня в ТПУ (однонаправленного, двунаправленного) от первого до второго детектора и за время измерений в каждой точке рабочего диапазона расходов должно составлять не более 2,5%.
8.5.1 При подготовке к поверке должны проверяться:
а) правильность монтажа и соединений СИ объемного расхода, ТПУ и средств поверки в соответствии с технической документацией;
б) отсутствие газовоздушной смеси в ТПУ и фильтре измерительной линии поверяемого СИ объемного расхода, а также в верхних точках трубопроводов, соединяющих СИ объемного расхода и ТПУ;
в) герметичность ТПУ, СИ объемного расхода, запорно-регулирующей арматуры и трубопроводов;
г) стабильность значений температуры рабочей среды, расхода рабочей среды.
8.5.2 Средства поверки и поверяемое СИ объемного расхода должны подготавливаться к работе согласно указаниям в технической документации на них.
| | ИС МЕГАНОРМ: примечание. В официальном тексте документа, видимо, допущена опечатка: пункт 8.5.7 отсутствует. | |
8.5.3 В память СОИ должны быть внесены исходные данные для поверки в соответствии с 8.5.7.
Примечание - Возможно внесение исходных данных в протокол поверки поверителем вручную (в случае отсутствия в СОИ возможности ввода исходных данных).
8.5.4 При отсутствии или отказе поточных ПП должна отбираться объединенная проба рабочей среды по
ГОСТ 2517 в ходе поверки, плотность должна измеряться автоматическими лабораторными СИ плотности или СИ по
ГОСТ 3900 или по
ГОСТ Р 51069,
[7]. Коэффициенты объемного расширения и сжимаемости рабочей среды должны определяться по
[8].
8.5.5 При отсутствии или отказе поточных ПВ должна отбираться точечная проба рабочей среды по
ГОСТ 2517 в начале и конце поверки, кинематическая вязкость должна измеряться автоматическими лабораторными СИ вязкости или СИ по
ГОСТ 33 при температуре рабочей среды в СИ объемного расхода.
8.5.6 В протокол поверки СИ объемного расхода, оформляемый в соответствии с
приложением Б, должны быть внесены исходные данные:
а) информация о месте проведения поверки, поверяемом СИ объемного расхода и ТПУ;
б) наименование рабочей среды;
в) кинематическая вязкость рабочей среды

, мм
2/с, при измерении автоматическими лабораторными СИ вязкости или СИ по
ГОСТ 33 при температуре рабочей среды в СИ объемного расхода в начале поверки и в конце поверки;
г) значения показателей качества рабочей среды и условий эксплуатации, влияющих на показания СИ объемного расхода (перечень показателей - по описанию типа СИ объемного расхода);
д) вместимость ТПУ при стандартных условиях V0, м3;
е) стандартная температура, при которой определена вместимость ТПУ TТПУ, °C (принимают равной 15 °C или 20 °C) (по свидетельству о поверке ТПУ);
ж) стандартная температура, при которой производится поверка СИ объемного расхода TСИ, °C (принимают равной 15 °C или 20 °C в зависимости от исходных данных);
и) внутренний диаметр калиброванного участка ТПУ D, мм (по технической документации на ТПУ);
к) толщина стенок калиброванного участка ТПУ S, мм (по технической документации на ТПУ);
л) модуль упругости материала стенок ТПУ
E, МПа, принимаемый по технической документации на ТПУ или
приложению В;
м) коэффициент линейного расширения материала стенок ТПУ

, °C
-1, принимаемый по технической документации на ТПУ или
приложению В, или коэффициент объемного расширения материала стенок ТПУ

, °C
-1, принимаемый по технической документации на ТПУ;
н) коэффициент линейного расширения материала стенок измерительного цилиндра

, °C
-1, если применяются компакт-пруверы, принимаемый по технической документации на компакт-пруверы или
приложению В, или коэффициент объемного расширения материала стенок измерительного цилиндра

, °C
-1, принимаемый по технической документации на компакт-пруверы;
п) коэффициент линейного расширения материала планки с детекторами

, °C
-1, если применяются компакт-пруверы, принимаемый по технической документации на компакт-пруверы;
р) пределы допускаемой относительной погрешности ТПУ

, % (по описанию типа или свидетельству о поверке ТПУ);
с) пределы допускаемой относительной погрешности определений коэффициентов преобразования в СОИ

, % (по описанию типа или свидетельству о поверке СОИ);
т) пределы допускаемой абсолютной погрешности преобразователей температуры в измерительной линии СИ объемного расхода

, °C, и ТПУ

, °C (по свидетельству о поверке преобразователей температуры);
у) плотность рабочей среды

, кг/м
3, при измерении автоматическими лабораторными СИ плотности или СИ по
ГОСТ 3900 или по
ГОСТ Р 51069;
ф) температура рабочей среды

, °C, при которой измерялась плотность;
х) заводской коэффициент преобразования СИ объемного расхода KF, имп/м3 (при наличии, определяется по технической документации на СИ объемного расхода).
При внешнем осмотре устанавливают соответствие поверяемого СИ объемного расхода следующим требованиям:
а) комплектность должна соответствовать указанной в эксплуатационной документации;
б) СИ объемного расхода и датчик съема сигнала не должны иметь механических повреждений и дефектов покрытий, препятствующих применению;
в) надписи и обозначения на СИ объемного расхода должны быть четкими и соответствовать требованиям эксплуатационной документации.
8.6.2.1 При опробовании должно проводиться одно измерение при любом значении расхода в пределах рабочего диапазона расходов.
8.6.2.2 При опробовании необходимо:
а) запустить поршень ТПУ;
б) при прохождении поршня через первый детектор проконтролировать начало отсчета импульсов, а при прохождении второго детектора - окончание отсчета импульсов;
в) проверить отсутствие газовоздушных пробок в линии поверяемого СИ объемного расхода, в верхних точках линий, соединяющих СИ объемного расхода и ТПУ, в камерах приема и пуска поршня ТПУ путем открытия кранов (вентилей). При наличии газовоздушных пробок повторить пуск поршня ТПУ.
8.6.2.3 Для двунаправленных ТПУ должны проводиться операции при прямом и обратном направлении движения поршня.
8.6.2.4 Результаты измерений количества импульсов должны выводиться на дисплее СОИ.
8.6.3 Проведение измерений
8.6.3.1 Метрологические характеристики рабочих и резервных СИ объемного расхода должны определяться:
а) в крайних точках рабочего диапазона расходов (с отклонением не более 5%, если иное не установлено эксплуатационной документацией), если градуировочная характеристика реализована в виде постоянного значения коэффициента преобразования в рабочем диапазоне расходов;
Примечание - Допускается метрологические характеристики рабочих СИ объемного расхода дополнительно определять внутри рабочего диапазона расходов, если градуировочная характеристика реализована в виде постоянного значения коэффициента преобразования в рабочем диапазоне расходов.
б) в точках рабочего диапазона расходов, расположенных с интервалом не более 20% от верхнего предела измерений СИ объемного расхода, если градуировочная характеристика реализована в виде постоянных коэффициентов преобразования в поддиапазонах, полинома в рабочем диапазоне расходов, полинома в поддиапазонах расходов.
8.6.3.2 Метрологические характеристики контрольных СИ объемного расхода должны определяться:
а) в крайних точках рабочего диапазона расходов (с отклонением не более 5%), в котором проведена поверка рабочих и резервных СИ объемного расхода, если их градуировочная характеристика реализована в виде постоянного значения коэффициента преобразования в рабочем диапазоне расходов;
б) в точках рабочего диапазона расходов (с отклонением не более 5%), в которых проведена поверка рабочих и резервных СИ объемного расхода, если градуировочная характеристика реализована в виде постоянных значений коэффициентов преобразования в поддиапазонах, в виде полинома в рабочем диапазоне расходов, в виде полинома в поддиапазонах расходов;
в) в средних точках поддиапазонов, в которых проведена поверка рабочих и резервных СИ объемного расхода, если градуировочная характеристика реализована в виде постоянных значений коэффициентов преобразования в поддиапазонах, в виде полинома в рабочем диапазоне расходов, в виде полинома в поддиапазонах расходов.
8.6.3.3 Метрологические характеристики эталонных СИ объемного расхода должны определяться:
а) в крайних точках рабочего диапазона расходов (с отклонением не более 5%), в которых будет проводиться поверка рабочих СИ объемного расхода, если их градуировочная характеристика реализована в виде постоянного значения коэффициента преобразования в рабочем диапазоне расходов;
б) в точках рабочего диапазона расходов (с отклонением не более 5%), в которых будет проводиться поверка рабочих СИ объемного расхода, если их градуировочная характеристика реализована в виде постоянных значений коэффициентов преобразования в поддиапазонах рабочего диапазона расходов, полинома в рабочем диапазоне расходов, полинома в поддиапазонах расходов.
8.6.3.4 Разбиение рабочего диапазона расходов СИ объемного расхода на поддиапазоны должно проводиться в зависимости от:
а) крутизны градуировочной характеристики;
б) рабочего диапазона расходов;
в) реализации градуировочной характеристики в виде:
1) постоянного значения коэффициента преобразования в рабочем диапазоне расходов;
2) постоянных значений коэффициента преобразования в поддиапазонах рабочего диапазона расходов;
3) полинома в рабочем диапазоне расходов;
4) полинома в поддиапазонах рабочего диапазона расходов.
Примечание - Количество точек рабочего диапазона расходов выбирается исходя из возможностей СОИ.
8.6.3.5 Для определения метрологических характеристик СИ объемного расхода должны выполняться следующие операции:
а) проведение предварительных измерений для установления выбранного значения расхода;
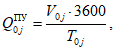
б) запуск поршня ТПУ с последующей регистрацией времени прохождения поршня от одного детектора до другого и регистрацией расхода

, м
3/ч, измеренного с применением ТПУ за это время и вычисляемого по формуле

(2)
где
V0j - значение объема рабочей среды, прошедшее через СИ объемного расхода при
i-м измерении в
j-й точке рабочего диапазона расходов, по результатам измерений ТПУ, м
3, вычисляемое по
формуле (4) после подстановки вместо величин с индексом "
ij" величин с индексом "0
j";
T0j - время прохождения поршня от одного детектора до другого при предварительном измерении в j-й точке рабочего диапазона расходов (j = 1, 2, ..., m, где m - количество точек в рабочем диапазоне расходов);
в) регулировка (корректировка) значения расхода регулятором(ами) расхода. Установка и контроль значения расхода осуществляются в соответствии с
приложением Г;
г) после стабилизации температуры и расхода (отклонение температуры и расхода - в соответствии с
8.4.4 и
8.4.5) проведение измерений:
1) расхода рабочей среды за i-е измерение в j-й точке рабочего диапазона расходов с применением ТПУ, Qij, м3/ч;
2) времени движения поршня ТПУ, Tij, с;
3) частоты выходного сигнала СИ объемного расхода за i-е измерение в j-й точке рабочего диапазона расходов, fij, Гц;
4) количества импульсов, полученного от СИ объемного расхода за i-е измерение в j-й точке рабочего диапазона расходов Nij, имп;
5) температуры tПРij, °C, и давления PПРij, МПа, рабочей среды в измерительной линии СИ объемного расхода при i-м измерении в j-й точке рабочего диапазона расходов;
| | ИС МЕГАНОРМ: примечание. Обозначения даны в соответствии с официальным текстом документа. | |
6) температуры tПУij1, tПУij2, °C, и давления PПУij1, tПУij2, МПа, рабочей среды на входе и выходе ТПУ соответственно при i-м измерении в j-й точке рабочего диапазона расходов (если применяются компакт-пруверы, то температура и давление принимаются по показаниям преобразователей температуры и давления компакт-пруверов);
7) температура материала стержня, на котором располагаются детекторы,

, °C, при применении компакт-пруверов (в случае отсутствия встроенных СИ температуры принимается равной температуре окружающей среды возле блока детекторов);
8) плотности рабочей среды

, кг/м
3, температуры рабочей среды при измерении плотности

, °C, и давления рабочей среды при измерении плотности

, МПа;
9) вязкости рабочей среды

, мм
2/с, с применением поточных ПВ;
д) регистрация СОИ результатов каждого измерения в протоколе поверки СИ объемного расхода в соответствии с
приложением Б:
1) номера точки рабочего диапазона расходов j;
2) номера измерения i;
3) расхода рабочей среды за i-е измерение в j-й точке рабочего диапазона расходов, измеренного с применением ТПУ, Qij, м3/ч;
4) времени движения поршня ТПУ, Tij, с;
5) частоты выходного сигнала СИ объемного расхода за i-е измерение в j-й точке рабочего диапазона расходов, fij, Гц;
6) количество импульсов, полученное от СИ объемного расхода за i-е измерение в j-й точке рабочего диапазона расходов Nij, имп;
7) температуры tПРij, °C, и давления PПРij, МПа, рабочей среды в измерительной линии СИ объемного расхода при i-м измерении в j-й точке рабочего диапазона расходов;
8) температура материала стержня, на котором располагаются детекторы,

, °C, при применении компакт-пруверов (в случае отсутствия встроенных СИ температуры принимается равной температуре окружающей среды возле блока детекторов);
9) плотности рабочей среды

, кг/м
3, и температуры рабочей среды при измерении плотности

, °C, и давления рабочей среды при измерении плотности

, МПа;
10) вязкости рабочей среды

, мм
2/с, при измерении поточными ПВ;
11) максимального расхода в поддиапазонах Qmaxk, м3/ч, и минимального расхода в поддиапазонах Qmink, м3/ч;
Примечание - Возможна регистрация результатов каждого измерения в протоколе поверки СИ поверителем.
8.6.3.6 Для каждой точки рабочего диапазона при поверке рабочих и резервных СИ объемного расхода должно проводиться не менее пяти измерений, а контрольных и эталонных СИ объемного расхода - не менее семи измерений.
8.6.3.7 Операции, приведенные в
8.6.3.5, проводят во всех точках рабочего диапазона расходов.
8.7 Обработка результатов измерений
8.7.1 Общие требования к обработке результатов измерений
8.7.1.1 Обработка результатов измерений должна проводиться в СОИ.
Примечание - Возможна обработка результатов измерений поверителем вручную.
8.7.1.2 При обработке результатов измерений должны определяться (вычисляться):
а) коэффициенты преобразования;
б) СКО результатов определения коэффициентов преобразования;
в) неисключенная систематическая составляющая относительной погрешности;
г) случайная составляющая относительной погрешности;
д) относительная погрешность.
8.7.1.3 По результатам вычислений в соответствии с
8.7.2 -
8.7.6 в протокол поверки СИ объемного расхода, оформленный в соответствии с
приложением Б, должны быть внесены следующие значения (данные):
а) номер точки рабочего диапазона расходов j;
б) объема рабочей среды, прошедшее через СИ объемного расхода при i-м измерении в j-й точке рабочего диапазона расходов, по результатам измерений ТПУ, приведенное к условиям поверки СИ объемного расхода Vij, м3;
в) средних арифметических значений температур tПУij, °C, и давления PПУij, МПа, рабочей среды на входе и выходе ТПУ (если применяются компакт-пруверы, то температура и давление принимаются по показаниям преобразователей температуры и давления компакт-пруверов);
г) коэффициента преобразования при i-м измерении в j-й точке рабочего диапазона расходов Kij, имп/м3;
д) коэффициентов преобразования в каждом поддиапазоне при реализации градуировочной характеристики в виде постоянных значений коэффициентов преобразования в поддиапазонах Kk, имп/м3;
е) коэффициента преобразования в рабочем диапазоне расходов при реализации градуировочной характеристики в виде постоянного значения KД, имп/м3;
ж) среднего значения коэффициента преобразования в
j-й точке рабочего диапазона расходов

, имп/м
3;
и) среднего значения в
j-й точке рабочего диапазона расходов частоты выходного сигнала СИ объемного расхода

, Гц;
к) среднего значения в
j-й точке рабочего диапазона расходов расхода рабочей среды

, м
3/ч;
л) СКО результатов определений коэффициентов преобразования Sj, %;
м) суммарной неисключенной систематической составляющей относительной погрешности:
1) рабочих и резервных СИ объемного расхода:
-

, % (при реализации градуировочной характеристики в СОИ в виде постоянного значения коэффициента преобразования в рабочем диапазоне расходов, полинома в рабочем диапазоне расходов);
-

, % (при реализации градуировочной характеристики в СОИ в виде постоянных значений коэффициента преобразования в поддиапазонах расходов, полинома в поддиапазонах расходов);
2) контрольных СИ объемного расхода:
-

, % (при реализации градуировочной характеристики в СОИ в виде постоянного значения коэффициента преобразования в рабочем диапазоне расходов, полинома в рабочем диапазоне расходов);
-

, % (при реализации градуировочной характеристики в СОИ в виде постоянных значений коэффициента преобразования в поддиапазонах расходов, полинома в поддиапазонах расходов);
-

, %;
3) эталонных СИ объемного расхода

, %;
н) составляющей неисключенной систематической погрешности, обусловленной погрешностью аппроксимации градуировочной характеристики для рабочего диапазона расходов

, %;
п) составляющей неисключенной систематической погрешности, обусловленной погрешностью аппроксимации градуировочной характеристики для поддиапазона расходов

, %;
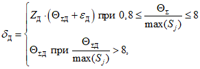
р) относительной погрешности СИ объемного расхода в рабочем диапазоне расходов

, %;
с) относительной погрешности СИ объемного расхода в
k-ом поддиапазоне расходов

, %;
т) относительной погрешности СИ объемного расхода в
j-й точке рабочего диапазона расходов

, %;
у) случайной составляющей относительной погрешности определения коэффициента преобразования в рабочем диапазоне расходов

, %;
ф) случайной составляющей относительной погрешности определения коэффициента преобразования в
k-ом поддиапазоне рабочего диапазона расходов

, %;
х) случайной составляющей относительной погрешности определения коэффициента преобразования в
j-ой точке рабочего диапазона расходов

, %.
8.7.2 Определение коэффициентов преобразования средств измерений объемного расхода
8.7.2.1 Коэффициент преобразования при i-м измерении в j-й точке рабочего диапазона расходов Kij, имп/м3, вычисляют по формуле

(3)
где Nij - количество импульсов, полученное от СИ объемного расхода за i-е измерение в j-й точке рабочего диапазона расходов, имп;
Vij - значение объема рабочей среды, прошедшее через СИ объемного расхода при i-м измерении в j-й точке рабочего диапазона расходов, по результатам измерений ТПУ, м3, приведенное к условиям поверки СИ объемного расхода и вычисляемое (в зависимости от исходных данных, приведенных в технической документации):
а) для ТПУ по формуле

(4)
б) для компакт-пруверов и ТПУ по формуле

(5)
где V0 - вместимость ТПУ при стандартных условиях, м3;
D - внутренний диаметр калиброванного участка ТПУ, мм (по технической документации на ТПУ);
S - толщина стенок калиброванного участка ТПУ, мм (по технической документации на ТПУ);
E - модуль упругости материала стенок ТПУ, МПа (по технической документации на ТПУ или
приложению В);
PПУij - среднее арифметическое значение давления рабочей среды на входе и выходе ТПУ при i-м измерении в j-й точке рабочего диапазона расходов (если применяются компакт-пруверы, то температура и давление принимаются по показаниям преобразователей температуры и давления компакт-пруверов), МПа;

- коэффициент, учитывающий влияние температуры стенок ТПУ на вместимость ТПУ при
i-м измерении в
j-й точке рабочего диапазона расходов, вычисляемый одним из следующих способов (в зависимости от исходных данных, приведенных в технической документации):
а) по формуле (для ТПУ)

(6)
где

- коэффициент линейного расширения материала стенок ТПУ, °C
-1 (по технической документации на ТПУ или
приложению В);
tПУij - среднее арифметическое значение температуры рабочей среды на входе и выходе ТПУ при i-м измерении в j-й точке рабочего диапазона расходов (если применяются компакт-пруверы, то температура принимается по показаниям преобразователей температуры компакт-пруверов), °C;
Tt - коэффициент, учитывающий стандартные условия по температуре, равный 15 °C или 20 °C в зависимости от исходных данных;
б) по формуле (для ТПУ)

(7)
где

- коэффициент объемного расширения материала стенок ТПУ, °C
-1 (по технической документации на ТПУ);
в) по формуле (для компакт-пруверов)

(8)
где

- коэффициент линейного расширения материала стенок измерительного цилиндра, °C
-1 (по технической документации на компакт-пруверы или
приложению В);

- коэффициент линейного расширения материала стержня, на котором располагаются детекторы, °C
-1 (по технической документации на компакт-пруверы);

- температура материала стержня, на котором располагаются детекторы, °C (в случае отсутствия встроенных СИ температуры принимается равной температуре окружающей среды возле блока детекторов);
г) по формуле (для компакт-пруверов)

(9)
где

- коэффициент объемного расширения материала стенок измерительного цилиндра, °C
-1 (по технической документации на компакт-пруверы);
д) по формуле (для компакт-пруверов)
| | ИС МЕГАНОРМ: примечание. Формула дана в соответствии с официальным текстом документа. | |

(10)

- коэффициент, вычисляемый одним из следующих способов (в зависимости от исходных данных):
а) по формуле
| | ИС МЕГАНОРМ: примечание. Формула дана в соответствии с официальным текстом документа. | |

(11)
где

- коэффициент объемного расширения рабочей среды, °C
-1, определяемый по
[8];
tij - значение температуры рабочей среды в СИ объемного расхода при i-м измерении в j-й точке рабочего диапазона расходов, °C;

- коэффициент сжимаемости рабочей среды, МПа
-1, определяемый по
[8];
PПРij - давление рабочей среды в измерительной линии СИ объемного расхода при i-м измерении в j-й точке рабочего диапазона расходов, МПа;
б) по формуле

(12)
где

,

- поправочные коэффициенты, учитывающие влияние температуры рабочей среды на ее объемы, прошедшие через ТПУ и СИ объемного расхода соответственно за
i-е измерение в
j-й точке расхода, определяемые аналогично коэффициенту
CTL в соответствии с
приложением Д;

,

- поправочные коэффициенты, учитывающие влияние давления рабочей среды на ее объемы, прошедшие через ТПУ и СИ объемного расхода соответственно за
i-е измерение в
j-й точке расхода, определяемые аналогично коэффициенту
CPL в соответствии с
приложением Д.
8.7.2.2 Коэффициент коррекции MF вычисляют по формуле (при наличии в технической документации на СИ объемного расхода заводского коэффициента преобразования KF, имп/м3)

(13)
Примечание - При наличии в технической документации на СИ объемного расхода заводского коэффициента преобразования KF при расчетах (в формулах) вместо коэффициента преобразования K применять коэффициент коррекции MF.
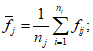
8.7.2.3 Среднее значение коэффициента преобразования в
j-й точке рабочего диапазона расходов

, имп/м
3, вычисляют по формуле

(14)
где nj - количество измерений в j-й точке рабочего диапазона расходов.
8.7.2.4 При реализации градуировочной характеристики в виде постоянного значения коэффициента преобразования в рабочем диапазоне расходов коэффициент преобразования KД, имп/м3, вычисляют по формуле

(15)
где m - количество точек разбиения рабочего диапазона расходов.
8.7.2.5 При реализации градуировочной характеристики в виде постоянных значений коэффициента преобразования в поддиапазонах расходов рабочий диапазон разбивают на поддиапазоны. Границами поддиапазонов являются точки рабочего диапазона расходов, в которых проведена поверка. Количество поддиапазонов - на единицу меньше количества точек рабочего диапазона расходов.
8.7.2.6 При реализации градуировочной характеристики в виде постоянных значений коэффициентов преобразования в поддиапазонах коэффициенты преобразования в каждом поддиапазоне Kk, имп/м3, вычисляют по формуле

(16)
где

,

- средние значения коэффициентов преобразования, вычисленные в граничных точках поддиапазона расходов, имп/м
3, аналогично среднему значению коэффициента преобразования в
j-й точке рабочего диапазона расходов

, имп/м
3, по
формуле (14).
8.7.2.7 При реализации градуировочной характеристики в виде полинома в рабочем диапазоне расходов в память СОИ должны вводиться вычисленные по
формуле (14) средние значения коэффициентов преобразования и соответствующие значения расхода в точках рабочего диапазона расходов. СОИ должна автоматически вычислять параметры полиномиальной зависимости по значениям коэффициентов преобразования в точках рабочего диапазона расходов.
8.7.2.8 При реализации градуировочной характеристики в виде полинома в поддиапазонах рабочий диапазон расходов должен разбиваться на поддиапазоны, включающие не менее двух точек. Выбор границ разделения проводят индивидуально для каждого рабочего СИ объемного расхода с учетом крутизны градуировочной характеристики. В память СОИ вводят границы разделения на поддиапазоны.
8.7.2.9 Коэффициент преобразования при реализации градуировочной характеристики в виде полинома в поддиапазонах рабочего диапазона расходов вычисляют:
а) по формуле (в случае, если полином представляет собой кусочно-параболическую аппроксимацию зависимости коэффициента преобразования в каждом поддиапазоне
Kk, имп/м
3, от отношения частоты выходного сигнала СИ объемного расхода за
i-е измерение в
j-й точке рабочего диапазона расходов
fij, Гц, к кинематической вязкости рабочей среды

, мм
2/с)

(17)
где A, B, C - коэффициенты параболы;
б) по формуле (в случае, если полином представляет собой кусочно-линейную аппроксимацию зависимости коэффициента преобразования в каждом поддиапазоне Kk, имп/м3, от отношения частоты выходного сигнала СИ объемного расхода за i-е измерение в j-й точке рабочего диапазона расходов fij)

(18)
где

,

- средние значения частоты выходного сигнала СИ объемного расхода, Гц, в граничных точках поддиапазонов расходов, вычисляемые аналогично среднему значению в
j-й точке рабочего диапазона расходов частоты выходного сигнала СИ объемного расхода, по формуле

(19)
в) по формуле (в случае, если полином представляет собой кусочно-линейную аппроксимацию зависимости коэффициента преобразования в каждом поддиапазоне
Kk, имп/м
3, от отношения частоты выходного сигнала СИ объемного расхода за
i-е измерение в
j-й точке рабочего диапазона расходов
fij, Гц, к кинематической вязкости рабочей среды

, мм
2/с)

(20)
Примечание - Допускается для вычисления коэффициента преобразования при реализации градуировочной характеристики в виде полинома в поддиапазонах рабочего диапазона расходов применять другие формулы в зависимости от возможностей СОИ.
8.7.2.10 Среднее значение в
j-й точке рабочего диапазона расходов расхода рабочей среды

, м
3/ч, вычисляют по формуле

(21)
где Qij - расход рабочей среды за i-е измерение в j-й точке рабочего диапазона расходов, измеренный с применением ТПУ, м3/ч.
8.7.3 Вычисление среднего квадратического отклонения результатов определения коэффициентов преобразования
8.7.3.1 СКО результатов определения коэффициентов преобразования СИ объемного расхода в точках рабочего диапазона расходов
Sj, %, вычисляют по формуле

(22)
8.7.3.2 Должно выполняться условие
Sj <= 0,02. (23)
Примечание - Рассчитанное значение СКО допускается сравнивать с приведенным в описании типа СИ (при указании в описании типа СИ).
8.7.3.3 Если
условие (26) не выполнено, должны быть проанализированы причины и выявлены промахи. Порядок анализа результатов измерений приведен в
приложении Е.
8.7.3.4 Допускается не более одного промаха из четырех - семи измерений и не более двух промахов из восьми - одиннадцати измерений. В противном случае поверку прекращают.
8.7.3.5 После исключения промахов, при необходимости, количество измерений доводят до значений, указанных в
8.6.3.6.
8.7.3.6 Проводят повторное оценивание СКО по
8.7.3.1.
8.7.3.7 При повторном невыполнении
условия (26) поверка должна быть прекращена.
8.7.3.8 При соблюдении
условия (26) проводят дальнейшую обработку результатов измерений.
8.7.4 Вычисление неисключенной систематической составляющей относительной погрешности
8.7.4.1 Суммарную неисключенную систематическую составляющую относительной погрешности для рабочих и резервных СИ объемного расхода (при реализации градуировочной характеристики в СОИ в виде постоянного значения коэффициента преобразования в рабочем диапазоне расходов, полинома в рабочем диапазоне расходов),

, %, вычисляют по формуле

(24)
где

- пределы допускаемой относительной погрешности ТПУ (по описанию типа или свидетельству о поверке ТПУ), %;

- составляющая неисключенной систематической погрешности, обусловленная погрешностью измерений температуры, %, вычисляемая по формуле

(25)
где

- значение, соответствующее максимальной температуре, выбранное из ряда коэффициентов объемного расширения рабочей среды, °C
-1;

,

- пределы допускаемой абсолютной погрешности преобразователей температуры в измерительной линии СИ объемного расхода и ТПУ соответственно (по свидетельству о поверке преобразователей температуры), °C;

,

- пределы допускаемой абсолютной погрешности компонентов измерительных каналов температуры в измерительной линии СИ объемного расхода и ТПУ соответственно (по свидетельству о поверке), °C;

- пределы допускаемой относительной погрешности определений коэффициентов преобразования в СОИ, % (по описанию типа или свидетельству о поверке СОИ);

- составляющая неисключенной систематической погрешности, обусловленная погрешностью аппроксимации градуировочной характеристики для рабочего диапазона расходов, %, вычисляемая по формуле

(26)
8.7.4.2 Суммарную неисключенную систематическую составляющую относительной погрешности для рабочих и резервных СИ объемного расхода (при реализации градуировочной характеристики в СОИ в виде постоянных значений коэффициента преобразования в поддиапазонах расходов, полинома в поддиапазонах расходов),

, %, вычисляют по формуле

(27)
где

- составляющая неисключенной систематической погрешности, обусловленная погрешностью аппроксимации градуировочной характеристики для поддиапазона расходов, %, вычисляемая:
а) при реализации градуировочной характеристики СИ объемного расхода в виде постоянных значений коэффициента преобразования в поддиапазонах рабочего диапазона расходов по формуле

(28)
б) при реализации градуировочной характеристики СИ объемного расхода в виде полинома в поддиапазонах рабочего диапазона расходов по формуле

(29)
в) при реализации градуировочной характеристики СИ объемного расхода в виде постоянного значения коэффициента преобразования в рабочем диапазоне расходов по формуле

(30)
где

,

- средние значения коэффициентов преобразования, вычисленные в крайних точках рабочего диапазона расходов, имп/м
3, аналогично среднему значению коэффициента преобразования в
j-й точке рабочего диапазона расходов

, имп/м
3, по
формуле (14);
г) при реализации градуировочной характеристики СИ объемного расхода в виде полинома в рабочем диапазоне расходов по формуле

(31)
8.7.4.3 Суммарную неисключенную систематическую составляющую относительной погрешности

, %, контрольных СИ объемного расхода вычисляют:
а) по формуле

(32)
б) аналогично суммарной неисключенной систематической составляющей относительной погрешности для рабочих и резервных СИ объемного расхода (при реализации градуировочной характеристики в СОИ в виде постоянного значения коэффициента преобразования в рабочем диапазоне расходов, полинома в рабочем диапазоне расходов)

, %, по
формуле (24) при реализации градуировочной характеристики в СОИ в виде постоянного значения коэффициента преобразования в рабочем диапазоне расходов, полинома в рабочем диапазоне расходов;
в) аналогично суммарной неисключенной систематической составляющей относительной погрешности для рабочих и резервных СИ объемного расхода (при реализации градуировочной характеристики в СОИ в виде постоянных значений коэффициента преобразования в поддиапазонах расходов, полинома в поддиапазонах расходов)

, %, по
формуле (27) при реализации градуировочной характеристики в СОИ в виде постоянных значений коэффициента преобразования в поддиапазонах расходов, полинома в поддиапазонах расходов.
8.7.4.4 Суммарную неисключенную систематическую составляющую относительной погрешности эталонных СИ объемного расхода

, %, вычисляют по формуле

(33)
8.7.4.5 При наличии дополнительных составляющих неисключенной систематической составляющей относительной погрешности (общее число составляющих - 4 и более) неисключенную систематическую составляющую относительной погрешности эталонных СИ объемного расхода

, %, вычисляют по формуле

(34)
где

- дополнительная составляющая неисключенной систематической относительной погрешности, %.
8.7.5 Вычисление случайной составляющей относительной погрешности
8.7.5.1 Случайную составляющую относительной погрешности определения коэффициента преобразования в рабочем диапазоне расходов

, %, вычисляют по формуле

(35)
где
t(P,n) - квантиль распределения Стьюдента, принимаемый в соответствии с
приложением Е.
8.7.5.2 Случайную составляющую относительной погрешности определения коэффициента преобразования в
k-ом поддиапазоне рабочего диапазона расходов

, %, вычисляют по формуле

(36)
8.7.5.3 Случайную составляющую относительной погрешности определения коэффициента преобразования в
j-ой точке рабочего диапазона расходов

, %, вычисляют по формуле

(37)
8.7.6 Вычисление относительной погрешности
8.7.6.1 Относительную погрешность рабочих и резервных СИ объемного расхода (при реализации градуировочной характеристики в СОИ в виде постоянного значения коэффициента преобразования в рабочем диапазоне расходов)

, %, вычисляют по формуле

(38)
где
ZД - коэффициент, определяемый в соответствии с
приложением Е.
8.7.6.2 Относительную погрешность рабочих и резервных СИ объемного расхода по формуле (при реализации градуировочной характеристики в СОИ в виде постоянных коэффициентов преобразования в поддиапазонах расходов, полинома в рабочем диапазоне расходов, полинома в поддиапазонах расходов)

, %, вычисляют по формуле

(39)
где
Zk - коэффициент, принимаемый в соответствии с
приложением Е.
8.7.6.3 Относительную погрешность контрольных и эталонных СИ объемного расхода

, %, вычисляют:
а) по формуле

(40)
где
Zj - коэффициент, принимаемый в соответствии с
приложением Е;
б) аналогично относительной погрешности рабочих и резервных СИ объемного расхода (при реализации градуировочной характеристики в СОИ в виде постоянного значения коэффициента преобразования в рабочем диапазоне расходов)

, %, по
формуле (38) при реализации градуировочной характеристики в СОИ в виде постоянного значения коэффициента преобразования в рабочем диапазоне расходов;
в) аналогично относительной погрешности рабочих и резервных СИ объемного расхода (при реализации градуировочной характеристики в СОИ в виде постоянных коэффициентов преобразования в поддиапазонах расходов, полинома в рабочем диапазоне расходов, полинома в поддиапазонах расходов)

, %, по
формуле (39) при реализации градуировочной характеристики в СОИ в виде постоянных коэффициентов преобразования в поддиапазонах расходов, полинома в рабочем диапазоне расходов, полинома в поддиапазонах расходов.
8.7.7 Оценка результатов измерений
8.7.7.1 Полученные по
8.7.6 результаты сравниваются с требованиями 8.7.7.2 и 8.7.7.3.
8.7.7.2 Для СИ, применяемых самостоятельно, полученные по
8.7.6 результаты сравниваются с данными, приведенными в описании типа.
8.7.7.3 Пределы допускаемой относительной погрешности СИ объемного расхода, применяемых в составе СИКН:
а) для рабочих и резервных СИ объемного расхода: +/- 0,15% (в рабочем диапазоне расходов или в каждом поддиапазоне расходов в зависимости от способа реализации градуировочной характеристики в СОИ);
Примечание - Возможно применение рабочих СИ объемного расхода с пределами допускаемой относительной погрешности +/- 0,10% (в рабочем диапазоне расходов или в каждом поддиапазоне расходов в зависимости от способа реализации градуировочной характеристики в СОИ).
б) для контрольных СИ объемного расхода:
1) +/- 0,15% (в рабочем диапазоне расходов или в каждом поддиапазоне расходов в зависимости от способа реализации градуировочной характеристики в СОИ);
Примечание - Возможно применение контрольных СИ объемного расхода с пределами допускаемой относительной погрешности +/- 0,10% (в рабочем диапазоне расходов или в каждом поддиапазоне расходов в зависимости от способа реализации градуировочной характеристики в СОИ).
2) +/- 0,15% (в точках рабочего диапазона расходов, средних точках поддиапазонов расходов);
в) для эталонных СИ объемного расхода: +/- 0,10% (в выбранных точках рабочего диапазона расходов).
8.7.7.4 Поверка должна прекращаться при невыполнении требований
8.7.7.2 и
8.7.7.3 для рабочих и резервных СИ объемного расхода:
а) при реализации градуировочной характеристики в СОИ в виде:
1) постоянных значений коэффициента преобразования в поддиапазонах расходов,
2) полинома в поддиапазонах расходов;
б) при реализации градуировочной характеристики в СОИ в виде:
1) постоянного значения коэффициента преобразования в рабочем диапазоне расходов,
2) полинома в рабочем диапазоне расходов.
8.7.7.5 Поверка должна прекращаться при невыполнении требований
8.7.7.3 для контрольных и эталонных СИ объемного расхода в любой точке рабочего диапазона расходов.
8.7.7.6 При невыполнении в нескольких поддиапазонах расходов требования
8.7.7.2 или
8.7.7.3 для рабочих и резервных СИ объемного расхода должны выполняться следующие требования:
а) поддиапазоны расходов, в которых не выполнены требования
8.7.7.2 или
8.7.7.3, делятся на два поддиапазона;
б) проводятся операции по
8.6.3.5 и
8.7.1 -
8.7.6 в дополнительных точках рабочего диапазона расходов и новых поддиапазонах расходов.
Примечание - При возможности в СОИ увеличения количества точек рабочего диапазона расходов.
8.7.7.7 При невыполнении только в одном поддиапазоне расходов требований
8.7.7.2 или
8.7.7.3 для рабочих и резервных СИ объемного расхода должны выполняться следующие требования:
а) поддиапазон расходов, где не выполнены требования
8.7.7.2 или
8.7.7.3, сужают посредством ввода новых точек разбиения при сохранении заданного общего количества точек;
б) проводят операции по
8.6.3.5 и
8.7.1 -
8.7.6 в дополнительных точках рабочего диапазона расходов и новых поддиапазонах расходов.
Примечание - При отсутствии возможности в СОИ увеличения количества точек рабочего диапазона расходов.
8.7.7.8 При повторном невыполнении требований
8.7.7.2 или
8.7.7.3 поверка должна быть прекращена.
8.7.7.9 По окончании поверки в соответствии с руководством (инструкцией) по эксплуатации в СОИ должны устанавливаться:
а) значения коэффициента(ов) преобразования СИ объемного расхода - для контрольных и эталонных СИ;
б) параметры градуировочной характеристики - для рабочих и резервных СИ объемного расхода, вычисленные в зависимости от вида реализации градуировочной характеристики в СОИ.
8.8 Оформление результатов поверки
8.8.1 Если СИ объемного расхода по результатам поверки признано пригодным к применению, то результаты поверки удостоверяются:
а) свидетельством о поверке в соответствии с
порядком [9];
б) протоколом поверки СИ объемного расхода в соответствии с
приложением Б;
в) знаком поверки на пломбах, установленных на контровочных проволоках СИ объемного расхода.
8.8.2 При заполнении протокола поверки СИ объемного расхода полученные результаты измерений и вычислений округляют в соответствии с таблицей 8.2.
Таблица 8.2
Требования к представлению результатов
измерений и вычислений
Физическая величина (параметр) | Единица измерения величины | Количество цифр после запятой | Количество значащих цифр, не менее |
Объем нефти | м3 | - | 5 |
Объем нефтепродуктов | м3 | 3 | 5 |
Температура | °C | 1 | - |
Давление | МПа | 2 | - |
Плотность | кг/м3 | 1 | - |
Вязкость | мм2/с | 1 | - |
Количество импульсов | имп | - | 5 |
Интервал времени | с | 2 | - |
Относительная погрешность, СКО | % | 3 | - |
Коэффициент преобразования | имп/м3 | - | 5 |
Коэффициент объемного расширения рабочей среды | °C-1 | 6 | - |
Примечание - Если количество значащих цифр в целой части числа больше приведенного, то число округляют до целого. |
8.8.3 Если СИ объемного расхода по результатам поверки признано непригодным к применению, то результаты должны оформляться:
а) извещением о непригодности в соответствии с
порядком [9];
б) протоколом поверки СИ объемного расхода в соответствии с
приложением Б;
в) аннулированием свидетельства о поверке;
г) гашением знака поверки;
д) внесением записи в эксплуатационную документацию.
8.8.4 На оборотной стороне свидетельства о поверке в зависимости от вида реализации градуировочной характеристики для рабочих и резервных (по
8.6.3.1), контрольных (по
8.6.3.2) и эталонных (по
8.6.3.3) СИ объемного расхода должны указываться:
а) рабочий диапазон расходов и вязкости рабочей среды, в котором поверено СИ объемного расхода;
б) относительная погрешность;
в) значение коэффициента преобразования СИ объемного расхода.
Примечание - Возможно указание дополнительных данных - значений показателей качества рабочей среды и условий эксплуатации, влияющих на показания СИ объемного расхода (перечень показателей - по описанию типа СИ объемного расхода).
9 Калибровка средств измерений объемного расхода с применением трубопоршневых установок
9.1 Требования к средствам калибровки и вспомогательному оборудованию
9.1.1 СИ (эталоны), применяемые для калибровки, должны иметь действующие свидетельства о поверке и/или оттиск поверительного клейма, протокол поверки.
9.1.2 При проведении калибровки должны применяться СИ (эталоны) по
8.2.2.
9.2 Требования к условиям проведения калибровки
9.2.1 Калибровка СИ объемного расхода должна осуществляться в рабочем диапазоне расходов и вязкости на рабочей среде (нефть, нефтепродукты) в условиях эксплуатации, установленных в инструкции (руководстве) по эксплуатации или описании типа.
| | ИС МЕГАНОРМ: примечание. В официальном тексте документа, видимо, допущена опечатка: пункт 8.4.6 отсутствует. | |
9.2.2 При калибровке должны выполняться требования
8.4.3 - 8.4.6.
9.3 Требования к квалификации калибровщиков
9.3.1 К калибровке допускаются лица старше 18 лет, отвечающие установленным квалификационным требованиям, прошедшие обучение по промышленной и пожарной безопасности, с группой допуска до 1000 В, по безопасности труда в соответствии с
ГОСТ 12.0.004 и инструктаж по охране труда.
9.3.2 Лица, допущенные к калибровке, должны знать свои обязанности, инструкции (руководства) по эксплуатации СИ и оборудования и уметь выполнять операции, предусмотренные настоящим стандартом.
9.4 Подготовка к процедуре калибровки
9.4.1 При подготовке к калибровке должны проверяться:
а) правильность монтажа и соединений СИ объемного расхода, ТПУ и средств калибровки в соответствии с технической документацией и документами на калибровку;
б) отсутствие газовоздушной смеси в ТПУ и фильтре измерительной линии калибруемого СИ объемного расхода, а также в верхних точках трубопроводов, соединяющих СИ объемного расхода и ТПУ;
в) герметичность ТПУ, СИ объемного расхода, запорно-регулирующей арматуры и трубопроводов;
г) стабильность значений показателей качества рабочей среды, их соответствие значениям, приведенным в инструкции (руководстве) по эксплуатации или установленным при утверждении типа СИ объемного расхода.
9.4.2 Средства калибровки и калибруемое СИ объемного расхода должны подготавливаться к работе согласно указаниям в технической документации на них.
| | ИС МЕГАНОРМ: примечание. В официальном тексте документа, видимо, допущена опечатка: пункт 8.5.7 отсутствует. | |
9.4.3 В память СОИ должны вводиться необходимые для калибровки данные в соответствии с 8.5.7.
Примечание - Возможно внесение исходных данных в протокол калибровки калибровщиком вручную (в случае отсутствия в СОИ возможности ввода исходных данных).
9.4.4 При отсутствии или отказе поточных ПП плотность рабочей среды, отобранной по
ГОСТ 2517 в начале калибровки, должна измеряться автоматическими лабораторными СИ плотности или СИ по
ГОСТ 3900 или по
ГОСТ Р 51069,
[7]. Коэффициенты объемного расширения и сжимаемости рабочей среды должны определяться по
[8].
9.4.5 При отсутствии или отказе поточных ПВ должна отбираться точечная проба рабочей среды по
ГОСТ 2517 в начале и конце калибровки, кинематическая вязкость должна измеряться автоматическими лабораторными СИ вязкости или СИ по
ГОСТ 33 при температуре рабочей среды в СИ объемного расхода.
9.5 Проведение калибровки
При проведении измерений выполняются следующие операции:
а) внешний осмотр в соответствии с
8.6.1;
б) опробование в соответствии с
8.6.2;
в) проведение измерений в соответствии с
8.6.3;
г) обработка результатов измерений в соответствии с 9.6;
д) оформление результатов калибровки в соответствии с
9.7.
9.6 Обработка результатов измерений
9.6.1 Обработка результатов измерений должна проводиться в СОИ.
Примечание - Возможна обработка результатов измерений калибровщиком вручную.
9.6.2 При обработке результатов измерений в соответствии с
8.7 должны определяться:
а) коэффициенты преобразования;
б) СКО результатов определения коэффициентов преобразования;
в) неисключенная систематическая составляющая относительной погрешности;
г) случайная составляющая относительной погрешности;
д) относительная погрешность.
9.6.3 При наличии в технической документации на СИ объемного расхода заводского коэффициента преобразования KF, имп/м3, при проведении поверки СИ объемного расхода допускается определять и применять не коэффициенты преобразования K, имп/м3, а безразмерные коэффициенты коррекции MF заводского коэффициента преобразования KF, имп/м3.
9.7 Оформление результатов калибровки
Результаты калибровки должны оформляться протоколом калибровки СИ объемного расхода в соответствии с
приложением Ж и одним (или несколькими) из следующих способов:
а) сертификатом о калибровке в соответствии с
[10];
б) нанесением оттиска калибровочного клейма в эксплуатационную документацию;
в) внесением записи в эксплуатационную документацию.
(рекомендуемое)
ТИПОВОЕ СОДЕРЖАНИЕ ПРОГРАММЫ ИСПЫТАНИЙ СРЕДСТВ ИЗМЕРЕНИЙ
ОБЪЕМНОГО РАСХОДА В ЦЕЛЯХ УТВЕРЖДЕНИЯ ТИПА
Программа испытаний должна содержать:
а) объект испытаний:
1) описание СИ объемного расхода и краткая характеристика производства;
2) перечень эксплуатационной документации на СИ объемного расхода;
б) содержание и объем испытаний:
1) проверка и оценка комплектности СИ объемного расхода;
2) проверка и оценка эксплуатационной документации;
3) оценка полноты и правильности выражения метрологических и технических характеристик СИ объемного расхода;
4) проверка дополнительных материалов, представленных заявителем;
5) проверка работоспособности СИ объемного расхода;
6) определение метрологических и технических характеристик СИ объемного расхода;
7) опробование методики поверки (при применении методики, отличной от приведенной в
разделе 8);
8) определение интервала между поверками;
9) сведения об эталонах, испытательном и вспомогательном оборудовании для проведения испытаний.
Примечание - Допускается вносить изменения в данный раздел;
в) условия проведения испытаний:
1) климатические условия;
2) требования безопасности;
3) требования к персоналу;
г) методы (методики) испытаний.
Примечание - Допускается данный раздел оформлять в виде отдельного документа;
д) идентификация программного обеспечения и оценка влияния на метрологические характеристики СИ объемного расхода;
е) определение интервала между поверками;
ж) анализ конструкции СИ;
и) отчетность.
(обязательное)
ФОРМА ПРОТОКОЛА ПОВЕРКИ СРЕДСТВ ИЗМЕРЕНИЙ
ОБЪЕМНОГО РАСХОДА <1>
--------------------------------
<1> Поскольку на основании настоящей формы протокола поверки СИ объемного расхода оформляют конкретный протокол поверки СИ объемного расхода, то в ней использована нумерация отдельного документа, а не приложения к настоящему стандарту.
ПРОТОКОЛ N __________
поверки СИ объемного расхода
Место проведения поверки __________________________________________________
Тип СИ объемного расхода __________________________________________________
Заводской номер СИ объемного расхода ______________________________________
Владелец __________________________________________________________________
Тип поверочной установки __________________________________________________
Заводской номер поверочной установки ______________________________________
Рабочая среда _____________________________________________________________
Вязкость ________________________ мм2/с; ________________________ мм2/с
в начале поверки в конце поверки
Значения показателей качества рабочей среды и условий эксплуатации,
влияющих на показания СИ объемного расхода (перечень показателей - по
описанию типа СИ объемного расхода):
___________________________________________________________________________
Таблица 1
Исходные данные
Детекторы ТПУ | V0, м3 | TТПУ, °C | TСИ, °C | D, мм | S, мм | E, МПа | или  , °C -1 |  , °C -1 |  , % |  , % |  , °C |  , °C |  , кг/м 3 |  , °C | KF, имп/м3 |
| | 3 | 4 | 5 | 6 | 7 | | | | | 12 | 13 | | | |
| | | | | | | | | | | | | | | |
Таблица 2
Результаты измерений и вычислений
Номер измерения/номер точки i/j | Qij, м3/ч | Tij, с | fij, Гц | Nij, имп | Kij (MFij), имп/м3 | tПРij, °C | PПРij, МПа | tПУij, °C | PПУij, МПа |  , °C |  , кг/м 3 |  , °C |  , МПа |  , мм 2/с | Vij, м3 |
1 | 2 | 3 | 4 | 5 | 6 | 7 | 8 | 9 | 10 | | | | 14 | | 16 |
1/1 | | | | | | | | | | | | | | | |
1/n1 | | | | | | | | | | | | | | | |
m/1 | | | | | | | | | | | | | | | |
m/nm | | | | | | | | | | | | | | | |
Таблица 3
Результаты поверки в точках рабочего диапазона расходов
Номер точки j |  , м 3/ч |  , Гц |  ( MFj), имп/м 3 | Sj, % |  , % |  , % |  , % |
1 | | 3 | | | 6 | 7 | |
1 | | | | | | | |
m | | | | | | | |
Таблица 4
Результаты поверки в поддиапазонах расходов
Номер поддиапазона, k | Qmink, м3/ч | Qmaxk, м3/ч |  , % |  , % |  , % |  , % | Kk (MFk), имп/м3 |
1 | | 3 | 4 | 5 | 6 | | |
1 | | | | | | | |
m-1 | | | | | | | |
Таблица 5
Результаты поверки в рабочем диапазоне расходов
 , % |  , % |  , % |  , % | KД (MFД), имп/м3 |
| 2 | 3 | | |
| | | | |
Заключение:
СИ объемного расхода к дальнейшей эксплуатации ________________________
пригодно/непригодно
Поверку провел ___________________ Инициалы, фамилия
подпись
Дата поверки "____" _____________ 20___ г.
Указания по заполнению протокола:
а) в
графе 1 таблицы 1 указывают детекторы калиброванного участка ТПУ. Если в свидетельстве о поверке ТПУ указаны несколько значений объемов, то указывают расположение детекторов для этих значений объемов в несколько строк;
б)
графы 2,
10,
11 таблицы 1 заполняют в одну строку, если используют ТПУ с одним значением вместимости, если используют ТПУ с несколькими значениями вместимости - в несколько строк;
е)
графу 16 таблицы 1 используют (заполняют) при наличии в технической документации на СИ объемного расхода заводского коэффициента преобразования
KF, имп/м
3;
ж)
графу 11 таблицы 2 используют (заполняют) при применении компакт-пруверов при измерении температуры материала стержня, на котором располагаются детекторы, с применением СИ температуры;
л)
графы 2 -
4 таблицы 3 используют (заполняют) при поверке рабочих и резервных СИ объемного расхода при реализации их градуировочной характеристики в виде полинома в рабочем диапазоне расходов;
м)
графы 5 -
8 таблицы 3 используют (заполняют) при поверке контрольных и эталонных СИ объемного расхода при реализации их градуировочной характеристики в виде полинома в рабочем диапазоне расходов;
н)
графы 2 -
7 таблицы 4 используют (заполняют) при поверке рабочих, резервных, контрольных и эталонных СИ объемного расхода при реализации их градуировочной характеристики в виде полинома в поддиапазонах рабочего диапазона расходов;
п)
графы 2 -
8 таблицы 4 используют (заполняют) при поверке рабочих, резервных, контрольных и эталонных СИ объемного расхода при реализации их градуировочной характеристики в виде постоянных значений коэффициента преобразования в поддиапазонах рабочего диапазона расходов;
р)
графы 1 -
4 таблицы 5 используют (заполняют) при поверке рабочих, резервных, контрольных и эталонных СИ объемного расхода при реализации их градуировочной характеристики в виде полинома в поддиапазонах рабочего диапазона расходов;
с)
графы 1 -
5 таблицы 5 используют (заполняют) при поверке рабочих, резервных, контрольных и эталонных СИ объемного расхода при реализации их градуировочной характеристики в виде постоянного значения коэффициента преобразования в рабочем диапазоне расходов.
(обязательное)
МОДУЛИ УПРУГОСТИ, КОЭФФИЦИЕНТЫ РАСШИРЕНИЯ МАТЕРИАЛОВ
СТЕНОК ТРУБОПОРШНЕВЫХ УСТАНОВОК И ИЗМЕРИТЕЛЬНОГО
ЦИЛИНДРА КОМПАКТ-ПРУВЕРОВ
Модули упругости, коэффициенты линейного расширения материалов стенок ТПУ и коэффициенты объемного расширения материалов стенок измерительного цилиндра компакт-пруверов приведены в таблице В.1
Таблица В.1
Модули упругости, коэффициенты линейного расширения
материалов стенок ТПУ и коэффициенты объемного расширения
материалов стенок измерительного цилиндра компакт-пруверов
Материал | E, МПа |  , °C -1 |  , °C -1 |
1 | 2 | 3 | 4 |
Сталь углеродистая | 2,10 x 105 2,07 x 105 | 1,12 x 10-5 | 2,23 x 10-5 |
Сталь нержавеющая 304 | 1,93 x 105 | 1,73 x 10-5 | 3,46 x 10-5 |
Сталь нержавеющая 316 | 1,93 x 105 | 1,59 x 10-5 | 3,18 x 10-5 |
Сталь нержавеющая 17-4 | 1,97 x 105 | 1,08 x 10-5 | 2,16 x 10-5 |
Примечание - При указании в паспорте значений коэффициентов  и E используют паспортные значения. |
(обязательное)
УСТАНОВКА И КОНТРОЛЬ ЗНАЧЕНИЯ РАСХОДА
Г.1 Коэффициент коррекции расхода

для установления и контроля значения расхода в
j-й точке рабочего диапазона расходов должен вычисляться по формуле

(Г.1)
где Qj0 - значение расхода рабочей среды, измеренного СИ объемного расхода, за время предварительного измерения при установлении расхода в j-й точке, м3/ч;

- значение расхода рабочей среды, измеренного с применением ТПУ и вычисленного по
формуле (2), за время предварительного измерения при установлении расхода в
j-й точке, м
3/ч.
Г.2 В измерительной линии поверяемого СИ объемного расхода должно устанавливаться значение расхода

, м
3/ч, контролируя его по расходу, измеряемому с применением поверяемого СИ объемного расхода, с учетом коэффициента коррекции расхода по формуле

(Г.2)
где Qij - значение расхода при i-м измерении в j-й точке рабочего диапазона расходов, м3/ч.
(обязательное)
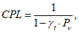
ОПРЕДЕЛЕНИЯ КОЭФФИЦИЕНТОВ CTL И CPL
Д.1 Порядок определения коэффициента CTL
Коэффициент
CTL вычисляют для ТПУ (

для каждого
i-го измерения в
j-й точке расхода) и СИ объемного расхода (

для каждого
i-го измерения в
j-й точке расхода) по формуле

(Д.1)
где Tt - коэффициент, учитывающий стандартные условия по температуре, равный 15 °C или 20 °C в зависимости от исходных данных;

- коэффициент объемного расширения рабочей среды, °C
-1, вычисляемый:
а) при температуре 15 °C по формуле

(Д.2)
где
K0,
K1,
K2 - коэффициенты, значения которых приведены в
таблице Д.1;

- плотность рабочей среды при температуре 15 °C и избыточном давлении, равном 0 Па, кг/м
2, определяемая по
Д.3;

- температура рабочей среды в ТПУ (при определении

) или в СИ объемного расхода (при определении

) при измерении ее объема, °C;
б) при температуре 20 °C по формуле

(Д.3)
где

- плотность рабочей среды при температуре 20 °C и избыточном давлении, равном 0 Па, кг/м
2, определяемая по
Д.3.
Таблица Д.1
Значения коэффициентов
K0,
K1,
K2
Рабочая среда |  , кг/м 3 | K0 | K1 | K2 |
Нефть | От 611,2 до 1163,8 | 613,97226 | 0,00000 | 0,0000000 |
Бензины | От 611,2 до 770,9 | 346,42278 | 0,43884 | 0,0000000 |
Топлива, занимающие по плотности промежуточное место между бензинами и керосинами | От 770,9 до 788,0 | 2690,74400 | 0,00000 | -0,0033762 |
Топлива и керосины для реактивных двигателей, авиационное реактивное топливо ДЖЕТ А-1 по ГОСТ Р 52050 | От 788,0 до 838,7 | 594,54180 | 0,00000 | 0,0000000 |
Дизельные топлива, мазуты, печные топлива | От 838,7 до 1163,8 | 186,96960 | 0,48618 | 0,0000000 |
Примечания 1 Нефтепродукты разделены на группы, имеющие внутри подгруппы, в указанном в таблице диапазоне плотности, аналогичные характеристики зависимости между коэффициентом объемного расширения  и плотностью нефтепродукта  . Наименование групп носит условный характер. 2 Рекомендуется при расчетах плотности нефтепродуктов, выпускаемых отечественными производителями, применять значения коэффициентов K0, K1, K2, уточненные по результатам экспериментальных и теоретических работ и утвержденные в установленном порядке. 3 Если значение плотности нефтепродукта  попадает в диапазон плотности, соответствующей другой группе нефтепродуктов, то при расчете плотности конкретного нефтепродукта, в связи с условным наименованием групп, следует применять значения коэффициентов K0, K1, K2 той подгруппы нефтепродуктов, которой соответствует его плотность  . Так, например бензин с плотностью  более 770,9 кг/м 3 следует относить к подгруппе "топлива, занимающие по плотности промежуточное место между бензинами и керосинами" и расчет плотности проводить по коэффициентам, соответствующим данной подгруппе. |
Д.2 Порядок определения коэффициента CPL
Коэффициент
CPL вычисляют для ТПУ (

для каждого
i-го измерения в
j-й точке расхода) и СИ объемного расхода (

для каждого
i-го измерения в
j-й точке расхода) по формуле

(Д.4)
где

- давление рабочей среды в ТПУ (при определении

) или в СИ объемного расхода (при определении

) при измерении ее объема, МПа;

- коэффициент сжимаемости рабочей среды при температуре измерения ее объема, МПа
-1, вычисляемый по формуле

(Д.5)
Д.3 Порядок определения плотности рабочей среды

и

Д.3.1 Плотность рабочей среды

, кг/м
3, вычисляют по формуле

(Д.6)
где

- текущая плотность, измеренная поточными ПП, кг/м
2;
CTL',
CPL' - коэффициенты, вычисляемые аналогично коэффициентам
CTL,
CPL по
формулам (Д.1) и
(Д.4) для температуры рабочей среды в поточных ПП
tПП, °C, и давления рабочей среды в поточных ПП
PПП, МПа, соответственно.
Д.3.2 Значения коэффициентов
CTL',
CPL' и плотности

вычисляют методом последовательных приближений для каждого измерения следующим образом:
а) вычисляют значение коэффициента объемного расширения рабочей среды при температуре 15 °C

, °C
-1, аналогично значению коэффициента объемного расширения рабочей среды при температуре 15 °C

, °C
-1, по
формуле (Д.2), принимая плотность рабочей среды

, кг/м
3, равной плотности, измеренной поточными ПП

, кг/м
3;
б) вычисляют значение коэффициента сжимаемости рабочей среды при температуре измерения ее объема

, МПа
-1, аналогично значению коэффициента сжимаемости рабочей среды при температуре измерения ее объема

, МПа
-1, по
формуле (Д.5), принимая плотность рабочей среды

, кг/м
3, равной плотности, измеренной поточными ПП

, кг/м
3, температуру рабочей среды при измерении ее объема

, °C, равной температуре рабочей среды при измерении плотности поточными ПП
tПП, °C;
в) вычисляют значение коэффициента
CTL'1 аналогично значению коэффициента
CTL по
формуле (Д.1), принимая температуру рабочей среды при измерении ее объема

, °C, равной температуре рабочей среды при измерении плотности поточными ПП
tПП, °C, коэффициент объемного расширения рабочей среды при температуре 15 °C

, °C
-1, равным коэффициенту объемного расширения рабочей среды при температуре 15 °C

, °C
-1;
г) вычисляют значение коэффициента
CPL'1 аналогично значению коэффициента
CPL по
формуле (Д.4), принимая давление рабочей среды при измерении ее объема

, МПа, равным давлению при измерении плотности поточными ПП
PПП, МПа, коэффициент сжимаемости рабочей среды при температуре измерения ее объема

, МПа
-1, равным коэффициенту сжимаемости рабочей среды при температуре измерения ее объема

, МПа
-1;
д) вычисляют значение плотности

аналогично значению плотности

по
формуле (Д.6), принимая коэффициент
CTL' равным коэффициенту
CTL'1, коэффициент
CPL' равным коэффициенту
CPL'1;
ж) проверяют выполнение условия

(Д.7)
где
k и (
k-1) - порядковые номера вычислений значений плотности

;
и) вычисления прекращают при выполнении условия (Д.7).
Д.3.3 Плотность

, кг/м
3, вычисляют по формуле

(Д.8)
(справочное)
АНАЛИЗА РЕЗУЛЬТАТОВ ИЗМЕРЕНИЙ
Для выявления промахов должны выполняться следующие операции:
а) вычисляют СКО результатов вычислений коэффициентов преобразования в каждой точке рабочего диапазона расходов SKj, %, по формуле

(Е.1)
где nj - количество измерений в j-й точке рабочего диапазона расходов;
Kij - коэффициент преобразования СИ объемного расхода за i-e измерение в j-й точке рабочего диапазона расходов;

- среднее значение коэффициентов преобразования, имп/м
3;
б) вычисляют соотношение Uнаиб и Uнаим для наибольшего значения коэффициента преобразования СИ объемного расхода Kнаиб и для наименьшего значения коэффициента преобразования СИ объемного расхода Kнаим по формулам

(Е.2)

(Е.3)
в) сравнивают полученные значения Uнаиб и Uнаим с величиной критерия Граббса H, приведенной в таблице Е.1 для объема выборки nj.
Таблица Е.1
Критические значения для критерия Граббса H
Число измерений nj | Значение критерия Граббса H |
3 | 1,155 |
4 | 1,481 |
5 | 1,715 |
6 | 1,887 |
7 | 2,020 |
8 | 2,126 |
9 | 2,215 |
10 | 2,290 |
11 | 2,355 |
Если U >= H, то подозреваемый результат исключают из выборки как промах, в противном случае результат не исключают.
Значения коэффициентов Стьюдента
t0,95 и
t0,99 и коэффициента
Z приведены в таблицах Е.2 и
Е.3 соответственно.
Таблица Е.2
Значения коэффициентов Стьюдента t0,95 и t0,99
Число измерений nj - 1 | Значения коэффициента Стьюдента t0,95 | Значения коэффициента Стьюдента t0,99 |
3 | 3,182 | 5,841 |
4 | 2,776 | 4,604 |
5 | 2,571 | 4,032 |
6 | 2,447 | 3,707 |
7 | 2,365 | 2,998 |
8 | 2,306 | 3,355 |
9 | 2,262 | 3,250 |
10 | 2,228 | 3,169 |
12 | 2,179 | 3,055 |
Примечания 1 Для контрольных, рабочих и резервных СИ объемного расхода используется t0,95. 2 Для контрольных и эталонных СИ объемного расхода используется t0,99. |
Таблица Е.3
Значения коэффициента
Z в зависимости от отношения

при доверительной вероятности
P = 0,95 и P = 0,99
| Z (при P = 0,95) | Z (при P = 0,99) |
0,5 | 0,81 | 0,87 |
0,75 | 0,77 | 0,85 |
1 | 0,74 | 0,82 |
2 | 0,71 | 0,80 |
3 | 0,73 | 0,81 |
4 | 0,76 | 0,82 |
5 | 0,78 | 0,83 |
6 | 0,79 | 0,83 |
7 | 0,80 | 0,84 |
8 | 0,81 | 0,85 |
Примечания 1 Для контрольных, рабочих и резервных СИ объемного расхода Z определяется для P = 0,95. 2 Для контрольных и эталонных СИ объемного расхода Z определяется для P = 0,99. |
(обязательное)
ФОРМА ПРОТОКОЛА КАЛИБРОВКИ СРЕДСТВ ИЗМЕРЕНИЙ
ОБЪЕМНОГО РАСХОДА <1>
--------------------------------
<1> Поскольку на основании настоящей формы протокола калибровки СИ объемного расхода оформляют конкретный протокол калибровки СИ объемного расхода, то в ней использована нумерация отдельного документа, а не приложения к настоящему стандарту.
ПРОТОКОЛ N __________
калибровки СИ объемного расхода
Место проведения калибровки _______________________________________________
Тип СИ объемного расхода __________________________________________________
Заводской номер СИ объемного расхода ______________________________________
Владелец __________________________________________________________________
Тип поверочной установки __________________________________________________
Заводской номер поверочной установки ______________________________________
Рабочая среда _____________________________________________________________
Вязкость ________________________ мм2/с; ________________________ мм2/с
в начале поверки в конце поверки
Значения показателей качества рабочей среды и условий эксплуатации,
влияющих на показания СИ объемного расхода (перечень показателей - по
описанию типа СИ объемного расхода или эксплуатационной документации):
___________________________________________________________________________
Таблица 1
Исходные данные
Детекторы ТПУ | V0, м3 | TТПУ, °C | TСИ, °C | D, мм | S, мм | E, МПа | или  , °C -1 |  , °C -1 |  , % |  , % |  , °C |  , °C |  , кг/м 3 |  , °C | KF, имп/м3 |
| | 3 | 4 | 5 | 6 | 7 | | | | | 12 | 13 | | | |
| | | | | | | | | | | | | | | |
Таблица 2
Результаты измерений и вычислений
Номер измерения/номер точки i/j | Qij, м3/ч | Tij, с | fij, Гц | Nij, имп | Kij (MFij), имп/м3 | tПРij, °C | PПРij, МПа | tПУij, °C | PПУij, МПа |  , °C |  , кг/м 3 |  , °C |  , МПа |  , мм 2/с | Vij, м3 |
1 | 2 | 3 | 4 | 5 | 6 | 7 | 8 | 9 | 10 | | | | 14 | | 16 |
1/1 | | | | | | | | | | | | | | | |
1/n1 | | | | | | | | | | | | | | | |
m/1 | | | | | | | | | | | | | | | |
m/nm | | | | | | | | | | | | | | | |
Таблица 3
Результаты калибровки в точках рабочего диапазона расходов
Номер точки j |  , м 3/ч |  , Гц |  ( MFj), имп/м 3 | Sj, % |  , % |  , % |  , % |
1 | | 3 | | | 6 | 7 | |
1 | | | | | | | |
m | | | | | | | |
Таблица 4
Результаты калибровки в поддиапазонах расходов
Номер поддиапазона, k | Qmink, м3/ч | Qmaxk, м3/ч |  , % |  , % |  , % |  , % | Kk (MFk), имп/м3 |
1 | | 3 | 4 | 5 | 6 | | |
1 | | | | | | | |
m-1 | | | | | | | |
Таблица 5
Результаты калибровки в рабочем диапазоне расходов
 , % |  , % |  , % |  , % | KД (MFД), имп/м3 |
| 2 | 3 | | |
| | | | |
Калибровку провел ___________________ Инициалы, фамилия
подпись
Дата калибровки "____" ______________ 20___ г.
Указания по заполнению протокола:
а) в
графе 1 таблицы 1 указывают детекторы калиброванного участка ТПУ. Если в свидетельстве о поверке ТПУ указаны несколько значений объемов, то указывают расположение детекторов для этих значений объемов в несколько строк;
б)
графы 2,
10,
11 таблицы 1 заполняют в одну строку, если используют ТПУ с одним значением вместимости. Если используют ТПУ с несколькими значениями вместимости, то заполняют эти колонки в несколько строк;
е)
графу 16 таблицы 1 используют (заполняют) при наличии в технической документации на СИ объемного расхода заводского коэффициента преобразования
KF, имп/м
3;
ж)
графу 11 таблицы 2 используют (заполняют) при применении компакт-пруверов при измерении температуры материала стержня, на котором располагаются детекторы с применением СИ температуры;
л)
графы 2 -
4 таблицы 3 используют (заполняют) при калибровке рабочих и резервных СИ объемного расхода при реализации их градуировочной характеристики в виде полинома в рабочем диапазоне расходов;
м)
графы 5 -
8 таблицы 3 используют (заполняют) при калибровке контрольных и эталонных СИ объемного расхода при реализации их градуировочной характеристики в виде полинома в рабочем диапазоне расходов;
н)
графы 2 -
7 таблицы 4 используют (заполняют) при калибровке рабочих, резервных, контрольных и эталонных СИ объемного расхода при реализации их градуировочной характеристики в виде полинома в поддиапазонах рабочего диапазона расходов;
п)
графы 2 -
8 таблицы 4 используют (заполняют) при калибровке рабочих, резервных, контрольных и эталонных СИ объемного расхода при реализации их градуировочной характеристики в виде постоянных значений коэффициента преобразования в поддиапазонах рабочего диапазона расходов;
р)
графы 1 -
4 таблицы 5 используют (заполняют) при калибровке рабочих, резервных, контрольных и эталонных СИ объемного расхода при реализации их градуировочной характеристики в виде полинома в поддиапазонах рабочего диапазона расходов;
с)
графы 1 -
5 таблицы 5 используют (заполняют) при калибровке рабочих, резервных, контрольных и эталонных СИ объемного расхода при реализации их градуировочной характеристики в виде постоянного значения коэффициента преобразования в рабочем диапазоне расходов.
| Федеральный закон от 22 июля 2008 г. N 123-ФЗ "Технический регламент о требованиях пожарной безопасности" |
| Правила противопожарного режима в Российской Федерации. Утверждены постановлением Правительства Российской Федерации от 25 апреля 2012 г. N 390 "О противопожарном режиме" |
| | Государственная система обеспечения единства измерений. Рекомендация по подготовке, оформлению и рассмотрению материалов испытаний средств измерений в целях утверждения типа |
| | Государственная система обеспечения единства измерений. Порядок проведения испытаний стандартных образцов или средств измерений в целях утверждения типа |
| | Государственная система обеспечения единства измерений. Требования к знакам утверждения типа стандартных образцов или типа средств измерений и порядок их нанесения |
| Административный регламент по предоставлению Федеральным агентством по техническому регулированию и метрологии государственной услуги по утверждению типа стандартных образцов или типа средств измерений (утвержден приказом Минпромторга России от 25 июня 2013 г. N 970) |
| | Государственная система обеспечения единства измерений. Нефть и нефтепродукты. Лабораторные методы измерения плотности, относительной плотности и плотности в градусах API |
| | Государственная система обеспечения единства измерений. Плотность нефти и нефтепродуктов. Методы расчета. Программа и таблицы приведения |
| | ИС МЕГАНОРМ: примечание. В официальном тексте документа, видимо, допущена опечатка: приказ Минпромторга России N 1815 имеет дату 02.07.2015, а не 02.06.2015. | |
|
| Порядок проведения поверки средств измерений, требования к знаку поверки и содержанию свидетельства о поверке (утвержден приказом Минпромторга России от 2 июня 2015 г. N 1815) |
| | Российская система калибровки. Основные требования к методикам калибровки, применяемые в Российской системе калибровки |