Главная // Актуальные документы // ГОСТ Р (Государственный стандарт)СПРАВКА
Источник публикации
М.: Стандартинформ, 2018
Примечание к документу
Документ включен в Перечень международных и региональных (межгосударственных) стандартов (
п. п. 21,
36), а в случае их отсутствия - национальных (государственных) стандартов, содержащих правила и методы исследований (испытаний) и измерений, в том числе правила отбора образцов, необходимые для применения и исполнения требований технического
регламента Таможенного союза "О требованиях к автомобильному и авиационному бензину, дизельному и судовому топливу, топливу для реактивных двигателей и мазуту" (ТР ТС 013/2011) и осуществления оценки соответствия объектов технического регулирования (
Решение Коллегии Евразийской экономической комиссии от 15.08.2023 N 114).
Документ
введен в действие с 1 июля 2019 года.
Название документа
"ГОСТ Р 52714-2018. Национальный стандарт Российской Федерации. Бензины автомобильные. Определение индивидуального и группового углеводородного состава методом капиллярной газовой хроматографии"
(утв. и введен в действие Приказом Росстандарта от 17.05.2018 N 262-ст)
"ГОСТ Р 52714-2018. Национальный стандарт Российской Федерации. Бензины автомобильные. Определение индивидуального и группового углеводородного состава методом капиллярной газовой хроматографии"
(утв. и введен в действие Приказом Росстандарта от 17.05.2018 N 262-ст)
Утвержден и введен в действие
по техническому регулированию
и метрологии
от 17 мая 2018 г. N 262-ст
НАЦИОНАЛЬНЫЙ СТАНДАРТ РОССИЙСКОЙ ФЕДЕРАЦИИ
БЕНЗИНЫ АВТОМОБИЛЬНЫЕ
ОПРЕДЕЛЕНИЕ ИНДИВИДУАЛЬНОГО И ГРУППОВОГО УГЛЕВОДОРОДНОГО
СОСТАВА МЕТОДОМ КАПИЛЛЯРНОЙ ГАЗОВОЙ ХРОМАТОГРАФИИ
Motor gasolines. Determination of individual and group
hydrocarbon composition by capillary gas
chromatography method
ГОСТ Р 52714-2018
Дата введения
1 июля 2019 года
1 РАЗРАБОТАН Акционерным обществом "Всероссийский научно-исследовательский институт по переработке нефти" (АО "ВНИИ НП"), Публичным акционерным обществом "ЛУКОЙЛ" (ПАО "ЛУКОЙЛ")
2 ВНЕСЕН Техническим комитетом по стандартизации ТК 31 "Нефтяные топлива и смазочные материалы"
3 УТВЕРЖДЕН И ВВЕДЕН В ДЕЙСТВИЕ
Приказом Федерального агентства по техническому регулированию и метрологии от 17 мая 2018 г. N 262-ст
Правила применения настоящего стандарта установлены в
статье 26 Федерального закона от 29 июня 2015 г. N 162-ФЗ "О стандартизации в Российской Федерации". Информация об изменениях к настоящему стандарту публикуется в ежегодном (по состоянию на 1 января текущего года) информационном указателе "Национальные стандарты", а официальный текст изменений и поправок - в ежемесячном информационном указателе "Национальные стандарты". В случае пересмотра (замены) или отмены настоящего стандарта соответствующее уведомление будет опубликовано в ближайшем выпуске ежемесячного информационного указателя "Национальные стандарты". Соответствующая информация, уведомление и тексты размещаются также в информационной системе общего пользования - на официальном сайте Федерального агентства по техническому регулированию и метрологии в сети Интернет (www.gost.ru)
1.1 Настоящий стандарт устанавливает метод определения индивидуального и группового компонентного состава автомобильных бензинов с содержанием атомов углерода до C13+.
1.2 Настоящий стандарт распространяется на автомобильные бензины и бензины, используемые при компаундировании в качестве компонентов смешения (бензины прямой перегонки, риформинга, алкилирования, гидрокрекинга и гидроочистки, каталитического и термического крекинга), и предназначен для определения индивидуальных углеводородов (до C13 включительно) и групп н-парафиновых, изопарафиновых, ароматических, нафтеновых, олефиновых углеводородов (ПИАНО) и оксигенатов методом высокоэффективной капиллярной газовой хроматографии в диапазоне от 1,0% до 45,0% по массе или по объему.
1.3 Настоящий метод позволяет проводить определение индивидуального состава углеводородов при концентрации не менее 0,05% по массе или по объему. Углеводородные компоненты, элюирующиеся после C13+, определяются как одна группа.
В настоящем стандарте использованы нормативные ссылки на следующие стандарты:
ГОСТ 12.0.004 Система стандартов безопасности труда. Организация обучения безопасности труда. Общие положения
ГОСТ 2517 Нефть и нефтепродукты. Методы отбора проб
ГОСТ 31873 Нефть и нефтепродукты. Методы ручного отбора проб
ГОСТ 33902-2016 Нафта. Определение индивидуального и группового углеводородного состава методом капиллярной газовой хроматографии
Примечание - При пользовании настоящим стандартом целесообразно проверить действие ссылочных стандартов в информационной системе общего пользования - на официальном сайте Федерального агентства по техническому регулированию и метрологии в сети Интернет или по ежегодному информационному указателю "Национальные стандарты", который опубликован по состоянию на 1 января текущего года, и по выпускам ежемесячного информационного указателя "Национальные стандарты" за текущий год. Если заменен ссылочный стандарт, на который дана недатированная ссылка, то рекомендуется использовать действующую версию этого стандарта с учетом всех внесенных в данную версию изменений. Если заменен ссылочный стандарт, на который дана датированная ссылка, то рекомендуется использовать версию этого стандарта с указанным выше годом утверждения (принятия). Если после утверждения настоящего стандарта в ссылочный стандарт, на который дана датированная ссылка, внесено изменение, затрагивающее положение, на которое дана ссылка, то это положение рекомендуется применять без учета данного изменения. Если ссылочный стандарт отменен без замены, то положение, в котором дана ссылка на него, применяется в части, не затрагивающей эту ссылку.
3.1 Сущность метода заключается в хроматографическом разделении бензина на капиллярной колонке с неполярной неподвижной фазой с последующей регистрацией углеводородов пламенно-ионизационным детектором и автоматизированной обработкой полученной информации с помощью программного обеспечения. Представительный образец бензина вводят в газовый хроматограф, оснащенный капиллярной колонкой, содержащей в качестве неподвижной жидкой фазы метилсилоксан, нанесенный на стенки кварцевой капиллярной колонки. Под действием газа-носителя - гелия - образец проходит через колонку, в которой его компоненты разделяются. Компоненты регистрирует пламенно-ионизационный детектор при их элюировании из колонки. Сигнал детектора обрабатывается системой электронного сбора данных или интегрирующим компьютером. Идентификацию пиков компонентов (углеводородов и оксигенатов) проводят с помощью соответствующего компьютерного программного обеспечения. Допускается ручная обработка полученных хроматограмм
(8.2).
3.2 Массовую концентрацию каждого углеводородного компонента определяют по нормализованной площади и коэффициентам чувствительности. Пики, проявляющиеся после C13+, определяют как одну группу.
Пробы отбирают по
ГОСТ 2517 или
ГОСТ 31873. Пробу бензина хранят в холодильнике не более 1 мес при температуре приблизительно 4 °C.
5 Аппаратура, реактивы и материалы
5.1 Аппаратура
5.1.1 Хроматограф
Для выполнения измерений применяют любые аналитические газовые хроматографы с пламенно-ионизационным детектором, блоком программирования температуры термостата колонок, а также электронные средства поддержания скорости или давления потока газа-носителя, водорода и воздуха, обеспечивающие стабильность получения характеристик удерживания анализируемых компонентов.
Краткая характеристика инжектора, детектора, блока управления расходом газа и системы ввода образца приведена в инструкции по эксплуатации прибора.
5.1.2 Колонка
Используют кварцевую капиллярную колонку длиной 100 м, внутренним диаметром 0,25 мм, покрытую пленкой привитого на ее поверхности метилсиликонового эластомера или диметилсилоксана толщиной 0,5 мкм (например, колонки таких марок, как "Супелко DH100"; "Вариан СП-Сил ПОНА СБ"; "Перкин Элмер-Элит-Пона"; "Аджилент НР-1ТР-1"). Более подробная характеристика приведена в паспорте колонки. Допускается применять идентичные по эффективности колонки.
5.1.3 Программное обеспечение для обработки хроматографических данных
Использованы системы "Хром Кард-Пиона", "Хроматек ДНА", "Аджилент ДНА", "Галакси ДНА", "Перкин-Элмер-ДНАХ", "НетХром" и др. Предусмотрена как полностью автоматизированная обработка хроматограмм, так и ручная. При ручной обработке хроматограмм время ведения анализа увеличивается примерно в четыре раза за счет более длительной процедуры идентификации пиков на хроматограмме.
5.1.4 Устройство сбора и накопления данных, используемое для количественной оценки результатов анализов, должно соответствовать приведенным ниже требованиям или превосходить следующие минимальные требования:
- емкость - не менее 250 пиков/анализ;
- расчет нормализованной площади пика по фактору отклика;
- идентификация индивидуальных компонентов по времени удерживания;
- способность устранения шума и всплеска (ложные пики);
- способность регистрировать быстрые (менее 1 с) пики;
- положительная и отрицательная корректировки наклонной базовой (нулевой) линии;
- изменения чувствительности регистрации узких и широких пиков;
- перпендикулярное понижение и тангенсное снятие верхнего слоя, при необходимости.
5.1.5 Микрошприц вместимостью 1 мм3 (1 мкл), 10 мм3 (10 мкл).
5.2 Реактивы и материалы
При работе с опасными и вредными веществами следует соблюдать правила и требования, установленные
ГОСТ 12.0.004.
5.2.1 Газы-носители:
а) водород, горючий газ чистотой 99,99%;
б) гелий или азот чистотой 99,99%.
5.2.2 Сжатый воздух, не содержащий воды и углеводородов.
5.2.3 н-Пентан, х.ч, с содержанием основного вещества не менее 99,6% по массе или по объему.
5.2.4 н-Гексан, х.ч, с содержанием основного вещества не менее 99,6% по массе или по объему.
5.2.5 н-Октан, х.ч, с содержанием основного вещества не менее 99,6% по массе или по объему.
5.2.6 Бензол, х.ч, с содержанием основного вещества не менее 99,6% по массе или по объему.
5.2.7 Циклогексан, х.ч, с содержанием основного вещества не менее 99,6% по массе или по объему.
5.2.8 Смесь нормальных парафиновых углеводородов C5 - C12.
6 Подготовка к проведению испытаний
6.1 При проведении испытаний следует поддерживать следующие условия:
- температура окружающего воздуха, °C: 10 - 30;
- относительная влажность воздуха, % отн.: 30 - 80;
- атмосферное давление, кПа: 84 - 107;
- напряжение переменного тока, В: 180 - 242;
- частота переменного тока, Гц: 49 - 51.
6.2 Подготовка хроматографа
Включение хроматографа, проверку его на герметичность, управление измерительными блоками и компьютером осуществляют согласно инструкции по эксплуатации прибора.
6.3 Подготовка хроматографической колонки
Присоединяют кварцевую капиллярную колонку к испарителю и термостатируют в потоке газа-носителя при температуре от 35 °C до 250 °C при программировании температуры со скоростью 2 °C/мин. Выдерживают при максимальной температуре 2 ч. Затем охлаждают термостат, соединяют колонку с детектором и проверяют герметичность газовой системы. Процесс кондиционирования указан в паспорте колонки.
6.4 Выводят хроматограф на режим, приведенный в таблице 1.
Таблица 1
Режим работы хроматографов
Показатель | Значение |
Инжектор |
Температура, °C | 250 |
Деление потока | От 175:1 до 275:1 |
Лайнер (вкладыш) | Дезактивированное стекло |
Объем пробы, мкл | 0,2 - 1,0 |
Детектор |
Температура, °C | 250 - 300 |
Скорость потока газов: | |
- водорода, см3/мин | 30 - 40 |
- воздуха, см3/мин | 300 - 400 |
Термостат колонки |
Начальная температура термостата колонок, °C | 35 |
Время первой изотермы, мин | 13 |
Скорость программирования термостата колонок, °C/мин | 10 |
Температура второй изотермы, °C | 45 |
Время второй изотермы, мин | 15 |
Скорость программирования термостата колонок, °C/мин | 1 |
Температура третьей изотермы, °C | 60 |
Время третьей изотермы, мин | 15 |
Скорость программирования термостата колонок, °C/мин | 2 |
Температура конечной изотермы, °C | 200 |
Время конечной изотермы, мин | От 20 и выше |
Давление на входе в колонку, кПа | 300 - 350 |
Колонка |
Длина, м | 100 |
Внутренний диаметр, мм | 0,25 |
Толщина пленки, мкм | 0,5 |
Жидкая фаза | 100%-ный полиметилсилоксан или диметилполисилоксан |
Объемная скорость потока, см3/мин | 2,5 - 2,9 |
Частота сбора информации, отчетов в секунду | 10 - 20 |
Общее время анализа, мин | 120 - 150 |
Анализ автомобильных бензинов, содержащих оксигенаты, проводят в том же режиме работы хроматографа, который приведен в
таблице 1, за исключением условий термостатирования. Применение низкотемпературного термостатирования позволяет осуществлять определение индивидуального и группового состава автомобильных бензинов, содержащих оксигенаты.
Режим низкотемпературного термостатирования хроматографической колонки, позволяющий раздельно определять присутствующие в автомобильных бензинах оксигенаты, приведен в таблице 2.
Таблица 2
Режим термостатирования хроматографической колонки
при анализе автомобильных бензинов, содержащих оксигенаты
Показатель | Значение |
Начальная температура термостатирования колонок, °C | 0 |
Время изотермы, мин | 15 |
Первая скорость программирования температуры, °C/мин | 1 |
Время первой ступени программирования, мин | 50 |
Вторая скорость программирования температуры, °C/мин | 2 |
Время второй ступени программирования, мин | 40 |
Третья скорость программирования температуры, °C/мин | 4 |
Время третьей ступени программирования, мин | 35 |
Конечная температура анализа, °C | 270 |
Давление на входе в колонку, кПа | 300 - 350 |
Режим работы одинаков для аналитических газовых хроматографов с пламенно-ионизационным детектором всех марок.
6.5 Проводят анализ смеси н-парафиновых углеводородов C5 - C12, составленной из индивидуальных углеводородов (в равных долях), и определяют их время удерживания (таблица 3).
Таблица 3
Парафиновые углеводороды нормального строения
и ориентировочное время их удерживания
Парафиновые углеводороды нормального строения | Время удерживания, мин | Допускаемое отклонение, % отн. |
при температуре начала анализа 35 °C | при температуре начала анализа 0 °C |
C1 | 7,0000 | - | 0,90 |
C2 | 7,1500 | 6,5580 | 0,80 |
C3 | 7,3633 | 7,1420 | 0,80 |
C4 | 8,1633 | 9,3200 | 0,60 |
C5 | 10,1733 | 16,6420 | 0,60 |
C6 | 15,1300 | 33,7500 | 0,60 |
C7 | 25,5100 | 55,5330 | 0,70 |
C8 | 44,2033 | 75,7250 | 0,50 |
C9 | 69,1766 | 89,7420 | 0,40 |
C10 | 85,8633 | 100,7750 | 0,30 |
C11 | 97,6966 | 109,8830 | 0,25 |
C12 | 107,4300 | 122,3000 | 0,25 |
В случае несовпадения времени удерживания с данными таблицы 3 необходимо проводить редактирование времени удерживания парафинов нормального строения с помощью используемой компьютерной программы.
6.6 Используют колонку, имеющую следующие параметры:
- относительное время удерживания t, равное 1,1 - 1,3 (бензол/н-гексан);
- эффективность колонки рассчитывают по количеству теоретических тарелок n, которых для данного метода должно быть не менее 6000 теоретических тарелок/м:
n = 5,545(tR/Wh)2, (1)
где n - количество теоретических тарелок (по всей длине колонки для расчета количества теоретических тарелок/м следует разделить на 100);
tR - время удерживания н-октана, мин;
Wh - ширина пика н-октана на половине высоты (в тех же единицах, что и время удерживания);
- разрешение R (бензол/циклогексан), которое вычисляют по формуле

, (2)
где tR(B) - время удерживания циклогексана, мин;
tR(A) - время удерживания бензола, мин;
Wh(A) - ширина пика на половине высоты бензола, мин;
Wh(B) - ширина пика на половине высоты циклогексана, мин.
Примечания
1 Разрешение должно быть не менее 7 при программировании температуры с 35 °C и не менее 10 - при работе с охлаждением.
2 В условиях, регламентированных
таблицей 1, характеристики колонки целесообразно рассчитывать, используя аттестованные смеси или реальные пробы автомобильного бензина с содержанием
н-гексана,
н-октана, бензола и циклогексана по 0,5% - 1,5% (по массе или по объему).
7.1 Вводят пробы в испаритель хроматографа с помощью автосэмплера. В случае ручного ввода микрошприц вместимостью 1 мкл (10 мкл) предварительно охлаждают в морозильной камере холодильника до температуры минус 18 °C в течение 30 мин.
7.2 Затраты времени на получение одного результата составляют приблизительно 2 ч.
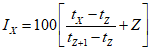
8.1 Идентификацию хроматографических пиков проводят по линейным индексам удерживания углеводородов.
8.1.1 Рассчитывают линейный индекс удерживания определяемого углеводорода IX по формуле

, (3)
где tX - время удерживания определяемого углеводорода, мин;
tZ - время удерживания нормального парафина с числом углеродных атомов Z в молекуле, элюирующегося до идентифицируемого углеводорода;
tZ+1 - время удерживания нормальных парафиновых углеводородов с числом углеродных атомов в молекуле Z + 1, элюирующихся после идентифицируемого углеводорода;
Z - число углеродных атомов Z в молекуле, элюирующегося до идентифицируемого углеводорода.
8.1.2 При компьютерной обработке по
формуле (3) происходит автоматический расчет индексов удерживания, по которым осуществлена идентификация компонентов бензина путем их сравнения с индексами удерживания, приведенными в базе данных программного обеспечения.
В результате компьютерной обработки хроматографических данных получают:
- концентрацию индивидуальных углеводородов (в массовых, мольных или объемных процентах);
- концентрацию н-парафиновых, изопарафиновых, ароматических, нафтеновых и олефиновых углеводородов (суммарный массовый, мольный или объемный процент);
- концентрацию компонентов с одинаковым количеством атомов углерода и усредненной молекулярной массой (суммарный массовый, мольный или объемный процент);
- распределение компонентов по группам и по числу атомов углерода.
Заносят результаты испытания в таблицу протокола. Проверяют таблицу протокола испытания, чтобы удостовериться в правильности идентификации пиков.
8.2 При обработке данных вручную вычисляют относительные коэффициенты чувствительности каждого определяемого углеводорода по формуле

, (4)
где B
i - относительный коэффициент чувствительности
i-го компонента по отношению к метану

;
MWi - молекулярная масса i-го компонента;
Zi - число атомов углерода в молекуле i-го компонента;

- молекулярная масса метана (16,04276).
8.2.1 Вычисляют полученные площади в скорректированные площади по формуле
Aci = AiBi, (5)
где Aci - скорректированная площадь пика i-го компонента;
Ai - определенная площадь для i-го компонента.
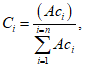
8.2.2 Вычисляют содержание каждого компонента Ci, % масс., по формуле

(6)
где

- сумма скорректированных площадей пиков всех анализируемых компонентов.
При необходимости вычисляют содержание каждого компонента Coi, % об., по формуле

, (7)
где mi - масса i-го компонента, г;

- плотность
i-го компонента, г/см
3;

- сумма объемов всех компонентов, см
3.
8.2.3 Нижний индекс i указывает, что процедуры выполняют для каждого индивидуального компонента в смеси. В случае неидентифицированных компонентов используют относительный коэффициент чувствительности 0,8 (относительно метана).
Прецизионность метода определена статистической обработкой результатов межлабораторных испытаний для группового компонентного состава.
9.1 Повторяемость r
Расхождение между результатами двух последовательных определений, полученными одним и тем же оператором на одной и той же аппаратуре при постоянно действующих условиях на идентичном исследуемом материале при нормальном и правильном выполнении метода испытания, может превышать значения повторяемости, приведенные в
таблице 4, только в одном случае из двадцати.
9.2 Воспроизводимость R
Расхождение между результатами двух единичных и независимых испытаний, полученными разными операторами, работающими в разных лабораториях на идентичном исследуемом материале при нормальном и правильном выполнении метода испытания, может превышать значения, приведенные в таблице 4, только в одном случае из двадцати.
9.3 Смещение (отклонение)
Смещение (отклонение) при измерениях по данному методу испытания определить невозможно, так как отсутствует подходящий стандартный образец для определения смещения (отклонения).
Таблица 4
Диапазон измеряемой величины компонентов, % по массе или по объему | Предел повторяемости r, % по массе или по объему | Предел воспроизводимости R, % по массе или по объему |
До 1,0 включ. | | |
Св. 1,0 до 10,0 | 0,4 | 0,8 |
От 10,0 до 45,0 | 1,2 | 1,6 |
|
9.4 Определяют прецизионность метода при анализе индивидуальных углеводородных компонентов в соответствии с
разделом 15 ГОСТ 33902-2016.