Главная // Актуальные документы // ГОСТ (Государственный стандарт)СПРАВКА
Источник публикации
М.: Стандартинформ, 2017
Примечание к документу
Документ
введен в действие с 1 июля 2018 года.
Название документа
"ГОСТ 33902-2016. Межгосударственный стандарт. Нафта. Определение индивидуального и группового углеводородного состава методом капиллярной газовой хроматографии"
(введен в действие Приказом Росстандарта от 04.04.2017 N 242-ст)
"ГОСТ 33902-2016. Межгосударственный стандарт. Нафта. Определение индивидуального и группового углеводородного состава методом капиллярной газовой хроматографии"
(введен в действие Приказом Росстандарта от 04.04.2017 N 242-ст)
по техническому регулированию
и метрологии
от 4 апреля 2017 г. N 242-ст
МЕЖГОСУДАРСТВЕННЫЙ СТАНДАРТ
НАФТА
ОПРЕДЕЛЕНИЕ ИНДИВИДУАЛЬНОГО И ГРУППОВОГО УГЛЕВОДОРОДНОГО
СОСТАВА МЕТОДОМ КАПИЛЛЯРНОЙ ГАЗОВОЙ ХРОМАТОГРАФИИ
Naphtha. Determination of individual and group hydrocarbon
composition by method of capillary gas chromatography
ГОСТ 33902-2016
Дата введения
1 июля 2018 года
Цели, основные принципы и основной порядок проведения работ по межгосударственной стандартизации установлены в
ГОСТ 1.0-2015 "Межгосударственная система стандартизации. Основные положения" и
ГОСТ 1.2-2015 "Межгосударственная система стандартизации. Стандарты межгосударственные, правила и рекомендации по межгосударственной стандартизации. Правила разработки, принятия, обновления и отмены"
1 ПОДГОТОВЛЕН Межгосударственным техническим комитетом по стандартизации МТК 31 "Нефтяные топлива и смазочные материалы", Открытым акционерным обществом "Всероссийский научно-исследовательский институт по переработке нефти" (ОАО "ВНИИ НП") на основе собственного перевода на русский язык англоязычной версии стандарта, указанного в
пункте 5
2 ВНЕСЕН Федеральным агентством по техническому регулированию и метрологии
3 ПРИНЯТ Межгосударственным советом по стандартизации, метрологии и сертификации (протокол от 22 ноября 2016 г. N 93-П)
За принятие проголосовали:
Краткое наименование страны по МК (ИСО 3166) 004-97 | Код страны по МК (ИСО 3166) 004-97 | Сокращенное наименование национального органа по стандартизации |
Армения | AM | Минэкономики Республики Армения |
Беларусь | BY | Госстандарт Республики Беларусь |
Грузия | GE | Грузстандарт |
Киргизия | KG | Кыргызстандарт |
Россия | RU | Росстандарт |
Таджикистан | TJ | Таджикстандарт |
Узбекистан | UZ | Узстандарт |
4
Приказом Федерального агентства по техническому регулированию и метрологии от 4 апреля 2017 г. N 242-ст межгосударственный стандарт ГОСТ 33902-2016 введен в действие в качестве национального стандарта Российской Федерации с 1 июля 2018 г.
5 Настоящий стандарт идентичен стандарту ASTM D 5134-13 "Стандартный метод детального анализа нафты до
н-нонана капиллярной газовой хроматографией" ("Standard test method for detailed analysis of petroleum naphthas through n-nonane by capillary gas chromatography", IDT).
Наименование настоящего стандарта изменено относительно наименования указанного стандарта для приведения в соответствие с ГОСТ 1.5
(подраздел 3.6).
Стандарт разработан подкомитетом D02.04.OL "Методы газовой хроматографии" технического комитета по стандартизации ASTM D02 "Нефтепродукты, жидкие топлива и смазочные материалы".
При применении настоящего стандарта рекомендуется использовать вместо ссылочных стандартов соответствующие им межгосударственные стандарты, сведения о которых приведены в дополнительном
приложении ДА
6 ВВЕДЕН ВПЕРВЫЕ
Информация об изменениях к настоящему стандарту публикуется в ежегодном информационном указателе "Национальные стандарты", а текст изменений и поправок - в ежемесячном информационном указателе "Национальные стандарты". В случае пересмотра (замены) или отмены настоящего стандарта соответствующее уведомление будет опубликовано в ежемесячном информационном указателе "Национальные стандарты". Соответствующая информация, уведомление и тексты размещаются также в информационной системе общего пользования - на официальном сайте Федерального агентства по техническому регулированию и метрологии в сети Интернет (www.gost.ru)
Несмотря на модернизацию приборов для капиллярной газовой хроматографии и достижение значительной разрешающей способности, сохраняются трудности при стандартизации метода испытаний такой сложной смеси, как нафта. В результате большого выбора приборов, использующих колонки разного внутреннего диаметра и разной длины, с множеством вариантов толщины фазы и рабочих параметров приборов, многие лаборатории используют подобные, но не идентичные методы капиллярной газовой хроматографии для анализа нафты. Даже незначительные различия в полярности колонки или температуре термостата могут изменить степень разделения или порядок элюирования компонентов и сделать необъективной идентификацию индивидуальных компонентов по стандартным временам удерживания. Для обеспечения постоянного порядка элюирования углеводородов, их разделения, а также воспроизводимости времени удерживания в настоящем методе установлены жесткие требования к колонке, температуре и расходам газов. Строгое соблюдение указанных условий имеет важное значение для успешного применения настоящего метода испытаний.
1.1 Настоящий стандарт устанавливает определение углеводородного состава нафты: парафинов, нафтенов и моноароматических соединений, приведенных в
таблице 1, методом газовой хроматографии. Компоненты, элюируемые после
н-нонана (температура кипения 150,8 °C), определяются как одна группа.
1.2 Настоящий метод можно использовать для анализа смесей жидких углеводородов, не содержащих олефинов (менее 2% олефинов от объема жидкости), включая прямогонную нафту, продукты риформинга и алкилирования. Содержание олефинов можно определить по ASTM D 1319 или ASTM D 6839. При проведении анализа по ASTM D 3710, ASTM D 7096 или эквивалентным методом 98% смеси углеводородов должны выкипать при температуре не выше 250 °C.
1.3 Настоящий метод позволяет определить компоненты, содержание которых - не менее 0,05% масс.
1.4 Настоящий метод может быть не совсем точным при определении более детального содержания углеводородов с числом атомов углерода более 7 (C7+); для проверки или дополнения результатов настоящего метода для углеродов C7+ можно использовать методы по ASTM D 5443 или ASTM D 6839.
1.5 Индивидуальный и групповой углеводородный состав образцов, содержащих олефины, можно определить по ASTM D 6729, ASTM D 6730 или ASTM D 6733.
1.6 Значения, установленные в единицах СИ, считают стандартными. Никакие другие единицы измерения не включены в настоящий стандарт.
1.7 Настоящий стандарт предусматривает применение опасных веществ, процедур, оборудования. В настоящем стандарте не предусмотрено рассмотрение всех вопросов обеспечения техники безопасности, связанных с его применением. Пользователь настоящего стандарта несет ответственность за соблюдение правил техники безопасности и устанавливает обязательные ограничения до его применения. Специальные предупреждения приведены в
разделе 7.
Таблица 1
Типичные характеристики удерживания компонентов нафты
Наименование соединения | Время удерживания, мин | Приведенное время удерживания, мин | Индекс удерживания Ковача при 35 °C | Линейный индекс удерживания |
Метан | 3,57 | 0,00 | 100,0 | - |
Этан | 3,65 | 0,08 | 200,0 | - |
Пропан | 3,84 | 0,27 | 300,0 | - |
Изобутан | 4,14 | 0,57 | 367,3 | - |
н-Бутан | 4,39 | 0,82 | 400,0 | - |
2,2-Диметилпропан | 4,53 | 0,96 | 415,5 | - |
Изопентан | 5,33 | 1,76 | 475,0 | - |
н-Пентан | 5,84 | 2,27 | 500,0 | - |
2,2-Диметилбутан | 6,81 | 3,24 | 536,2 | - |
Циклопентан | 7,83 | 4,26 | 564,1 | - |
2,3-Диметилбутан | 7,89 | 4,32 | 565,5 | - |
2-Метилпентан | 8,06 | 4,49 | 569,5 | - |
3-Метилпентан | 8,72 | 5,15 | 583,4 | - |
н-Гексан | 9,63 | 6,06 | 600,0 | - |
2,2-Диметилпентан | 11,22 | 7,65 | 624,2 | - |
Метилциклопентан | 11,39 | 7,82 | 626,5 | - |
2,4-Диметилпентан | 11,68 | 8,11 | 630,3 | - |
2,2,3-Триметилбутан | 12,09 | 8,52 | 635,4 | - |
Бензол | 13,29 | 9,72 | 649,1 | - |
3,3-Диметилпентан | 13,84 | 10,27 | 654,8 | - |
Циклогексан | 14,19 | 10,62 | 658,3 | - |
2-Метилгексан | 15,20 | 11,63 | 667,8 | - |
2,3-Диметилпентан | 15,35 | 11,78 | 669,1 | - |
1,1-Диметилциклопентан | 15,61 | 12,04 | 671,4 | - |
3-Метилгексан | 16,18 | 12,61 | 676,2 | - |
цис-1,3-Диметилциклопентан | 16,88 | 13,31 | 681,8 | - |
транс-1,3-Диметилциклопентан | 17,22 | 13,65 | 684,4 | - |
3-Этилпентан | 17,44 | 13,87 | 686,1 | - |
транс-1,2-Диметилцикпопентан | 17,57 | 14,00 | 687,0 | - |
2,2,4-Триметилпентан | 17,80 | 14,23 | 688,7 | - |
н-Гептан | 19,43 | 15,86 | 700,0 | - |
Метилциклогексан + цис-1,2-диметилциклопентан | 22,53 | 18,96 | | - |
1,1,3-Триметилциклопентан + 2,2-диметилгексан | 23,05 | 19,48 | | - |
Этилциклопентан | 24,59 | 21,02 | | - |
2,5-Диметилгексан + 2,2,3-триметилпентан | 25,12 | 21,55 | | - |
2,4-Диметилгексан | 25,47 | 21,90 | | - |
1,2-транс,4-цис-Триметилциклопентан | 26,43 | 22,86 | | - |
3,3-Диметилгексан | 26,79 | 23,22 | | - |
1,2-транс,3-цис-Триметилциклопентан | 28,01 | 24,44 | | - |
2,3,4-Триметилпентан | 28,70 | 25,13 | | - |
Толуол + 2,3,3-триметилпентан | 29,49 | 25,92 | | |
1,1,2-Триметилциклопентан | 31,21 | 27,64 | - | |
2,3-Диметилгексан | 31,49 | 27,92 | - | |
2-Метил-3-этилпентан | 31,69 | 28,12 | - | |
2-Метилгептан | 33,06 | 29,49 | - | |
4-Метилпентан + 3-метил-3-этилпентан | 33,34 | 29,77 | - | |
3,4-Диметилгексан | 33,49 | 29,92 | - | |
1,2-цис,4-транс-Триметилциклопентан + 1,2-цис,4-цис-триметилциклопентан | 33,73 | 30,16 | - | |
1-цис,3-Диметилциклогексан | 34,45 | 30,88 | - | |
3-Метилгептан + 1,цис-2,транс-3-триметилциклопентан | 34,64 | 31,07 | - | |
3-Этилгексан + транс-1,4-диметилциклогексан | 34,83 | 31,26 | - | |
1,1-Диметилциклогексан | 35,81 | 32,24 | - | |
2,2,5-Триметилгексан + транс-1,3-этилметилциклопентан | 36,75 | 33,18 | - | |
цис-1,3-Этилметилциклопентан | 37,14 | 33,57 | - | |
транс-1,2-Этилметилциклопентан | 37,39 | 33,82 | - | |
2,2,4-Триметилгексан + 1,1-этилметилциклопентан | 37,68 | 34,11 | - | |
транс-1,2-Диметилциклогексан | 38,14 | 34,57 | - | |
1-цис,2-цис-3-Триметилциклопентан | 39,21 | 35,64 | - | |
транс-1,3-Диметилциклогексан + цис-1,4-диметилциклогексан | 39,54 | 35,97 | - | 797,5 |
н-Октан | 39,91 | 36,34 | - | 800,0 |
Изопропилциклопентан + 2,4,4-триметилгексан | 40,76 | 37,19 | - | 805,7 |
Неидентифицированный C9-нафтен | 40,88 | 37,31 | - | 806,5 |
Неидентифицированный C8-нафтен | 41,52 | 37,95 | - | 810,8 |
Неидентифицированный C9-нафтен | 41,88 | 38,31 | - | 813,2 |
цис-1,2-Этилметилциклопентан + 2,3,5-триметилгексан | 42,55 | 38,98 | - | 817,7 |
2,2-Диметилгептан | 43,20 | 39,63 | - | 822,0 |
цис-1,2-Диметилциклогексан | 43,43 | 39,86 | - | 823,6 |
2,2,3-Триметилгексан + 9N | 43,76 | 40,19 | - | 825,8 |
2,4-Диметилгептан | 43,88 | 40,31 | - | 826,6 |
4,4-Диметилгептан + 9N | 44,09 | 40,52 | - | 828,0 |
Этилциклогексан + н-пропилциклопентан | 44,36 | 40,79 | - | 829,8 |
2-Метил-4-этилгексан | 44,74 | 41,17 | - | 832,4 |
2,6-Диметилгептан + 9N | 44,95 | 41,38 | - | 833,8 |
1,1,3-Триметилциклогексан | 45,21 | 41,64 | - | 835,5 |
Неидентифицированный C9-нафтен | 45,56 | 41,99 | - | 837,8 |
2,5-Диметилгептан + 9N | 45,92 | 42,35 | - | 840,3 |
3,5-Диметилгептан + 3,3-диметилгептан + N | 46,09 | 42,52 | - | 841,4 |
Неидентифицированный C9-нафтен | 46,31 | 42,74 | - | 842,9 |
Неидентифицированный C9-нафтен | 46,55 | 42,98 | - | 844,5 |
Этилбензол | 47,15 | 43,58 | - | 848,5 |
Неидентифицированный C9-нафтен | 47,37 | 43,80 | - | 850,0 |
Неидентифицированный нафтен + 2,3,4-триметилгексан | 47,53 | 43,96 | - | 851,0 |
Неидентифицированные нафтены | 47,78 | 44,21 | - | 852,7 |
Неидентифицированный нафтен + парафин | 48,13 | 44,56 | - | 855,1 |
м-Ксилол | 48,49 | 44,92 | - | 857,5 |
п-Ксилол | 48,63 | 45,06 | - | 858,4 |
2,3-Диметилгептан | 48,93 | 45,36 | - | 860,4 |
3,4-Диметилгептан <C> + N | 49,10 | 45,53 | - | 861,6 |
| 49,29 | 45,72 | - | 862,8 |
Неидентифицированный нафтен | 49,41 | 45,84 | - | 863,6 |
4-Этилгептан + N | 49,65 | 46,08 | - | 865,2 |
4-Метилоктан | 50,10 | 46,53 | - | 868,3 |
2-Метилоктан | 50,26 | 46,69 | - | 869,3 |
Неидентифицированный нафтен | 50,41 | 46,84 | - | 870,3 |
Неидентифицированный нафтен | 50,73 | 47,16 | - | 872,5 |
3-Этилпентан + N | 50,96 | 47,39 | - | 874,0 |
3-Метилоктан | 51,15 | 47,58 | - | 875,3 |
Неидентифицированный нафтен | 51,35 | 47,78 | - | 876,6 |
о-Ксилол + 1,1,2-триметилциклогексан | 51,54 | 47,97 | - | 877,9 |
Неидентифицированный нафтен + 2,4,6-триметилгептан | 51,74 | 48,17 | - | 879,2 |
Неидентифицированный нафтен | 52,12 | 48,55 | - | 881,8 |
Неидентифицированный парафин | 52,24 | 48,67 | - | 882,6 |
Неидентифицированные нафтены | 52,56 | 48,99 | - | 884,7 |
Неидентифицированный нафтен | 52,85 | 49,28 | - | 886,7 |
Неидентифицированные нафтен + парафин | 53,06 | 49,49 | - | 888,1 |
Неидентифицированный нафтен | 53,26 | 49,69 | - | 889,4 |
Неидентифицированный нафтен | 53,46 | 49,89 | - | 890,8 |
Неидентифицированный нафтен | 54,02 | 50,45 | - | 894,5 |
Неидентифицированный нафтен | 54,40 | 50,83 | - | 897,1 |
н-Нонан | 54,84 | 51,27 | - | 900,0 |
Неидентифицированный нафтен | 54,98 | 51,41 | - | 900,9 |
< A> Экстраполировано по н-C 6 и н-C 7 (см. А1.1.3). < B> Экстраполировано по н-C 8 и н-C 9 (см. А1.2.3). |
В настоящем стандарте использованы нормативные ссылки на следующие стандарты:
2.1 Стандарты ASTM <1>:
--------------------------------
<1> Уточнить ссылки на стандарты ASTM можно на сайте ASTM www.astm.org или в службе поддержки клиентов ASTM service@astm.org. В информационном томе ежегодного сборника стандартов (Annual Book of ASTM Standards) следует обращаться к сводке стандартов ежегодного сборника стандартов на странице сайта.
ASTM D 1319, Test method for hydrocarbon types in liquid petroleum products by fluorescent indicator adsorption (Метод испытания для определения углеводородного состава жидких нефтепродуктов с помощью флуоресцентной индикаторной адсорбции)
ASTM D 3700, Practice for obtaining LPG samples using a floating piston cylinder (Практика отбора проб сжиженных углеводородных газов с использованием цилиндра с плавающим поршнем)
ASTM D 3710, Test method for boiling range distribution of gasoline and gasoline fractions by gas chromatography (Метод испытания для определения пределов выкипания бензина и бензиновых фракций газовой хроматографией)
ASTM D 4057, Practice for manual sampling of petroleum and petroleum products (Практика ручного отбора проб нефти и нефтепродуктов)
ASTM D 5443, Test method for paraffin, naphthene, and aromatic hydrocarbon type analysis in petroleum distillates through 200 °C by multi-dimensional gas chromatography (Метод испытания парафина, нафтена и ароматических углеводородов в нефтяных дистиллятах вплоть до 200 °C многомерной газовой хроматографией)
ASTM D 6839, Test method for hydrocarbon types, oxygenated compounds, and benzene in spark ignition engine fuels by gas chromatography (Метод испытания для определения типов углеводородов, кислородсодержащих соединений и бензола в топливах для двигателей внутреннего сгорания газовой хроматографией)
ASTM D 6729, Test method for determination of individual components in spark ignition engine fuels by 100 metre capillary high resolution gas chromatography (Метод испытания для определения индивидуальных компонентов в топливах для двигателей внутреннего сгорания газовой хроматографией высокого разрешения с использованием 100-метровой капиллярной колонки)
ASTM D 6730, Test method for determination of individual components in spark ignition engine fuels by 100-metre capillary (with precolumn) high-resolution gas chromatography [Метод испытания для определения индивидуальных компонентов в топливах для двигателей внутреннего сгорания газовой хроматографией высокого разрешения на 100-метровой капиллярной колонке (с предколонкой)]
ASTM D 6733, Test method for determination of individual components in spark ignition engine fuels by 50-metre capillary high resolution gas chromatography (Метод испытания для определения индивидуальных компонентов в топливах для двигателей внутреннего сгорания газовой хроматографией высокого разрешения на капиллярной колонке длиной 50 м)
ASTM D 7096, Test method for determination of the boiling range distribution of gasoline by wide-bore capillary gas chromatography (Метод испытания для определения распределения интервалов температур кипения бензина газовой хроматографией на капиллярной колонке большого диаметра)
3.1 Представительный образец нафты вводят в газовый хроматограф, оснащенный капиллярной колонкой из плавленого кварца с привитой метилсиликоновой фазой. Газ-носитель гелий переносит испаренный образец через колонку, в которой разделяются его компоненты. Компоненты регистрируются пламенно-ионизационным детектором по мере их элюирования из колонки. Сигнал детектора обрабатывается электронной системой сбора данных или интегрируется компьютером. Каждый элюирующий пик идентифицируют путем сравнения его индекса удерживания с индексом удерживания по
таблице 1 и визуальным сравнением со стандартными хроматограммами (см.
рисунки 1 -
3). Таблица индексов удерживания была получена на основании анализа эталонных соединений в идентичных условиях и/или газовой хромато-масс-спектрометрией (GC/MS) эталонных образцов в тех же условиях.
1 - изобутан; 2 - н-бутан; 3 - изопентан; 4 - н-пентан;
5 - 2,3-диметилбутан; 6 - 2-метилпентан; 7 - 3-метилпентан;
8 - 2,4-диметилпентан; 9 - 2,2,3-триметилбутан;
10 - 2,3-диметилпентан; 11 - 3-метилпентан;
12 - 2,2,4-триметилпентан; 13 - 2,5-диметилпентан
и 2,2,3-триметилпентан; 14 - 2,4-диметилпентан;
15 - 2,3,4-триметилпентан; 16 - 2,3,3-триметилпентан;
17 - 2,3-метилгексан; 18 - 2-метилгептан; 19 - 4-метилгептан
и 3,4-диметилгексан; 20 - 2,4-диметилгексан
(и стереоизомеры); 21 - 3-метилгептан;
22 - 2,2,5-триметилпентан; 23 - 2,2,4-триметилпентан;
24 - 2,4,4-триметилпентан; 25 - 2,3,5-триметилпентан;
26 - 2,4-диметилгептан; 27 - 2,5-диметилгептан;
28 - 2,3,4-триметилгексан; 29 - 2,3-диметилгептан;
30 - не идентифицирован; 31 - 2,4,5-триметилгептан;
32 - неидентифицированные триметилгептаны
Рисунок 1 - Хроматограмма стандартного алкилата
1 - пропан; 2 - изобутан; 3 - н-бутан; 4 - изопентан;
5 - н-пентан; 6 - 2,2-диметилбутан; 7 - циклопентан +
2,3-диметилбутан; 8 - 2-метилпентан; 9 - 3-метилпентан;
10 - н-гексан; 11 - 2,2-диметилпентан;
12 - метилциклопентан; 13 - 2,4-диметилпентан;
14 - 2,2,3-триметилбутан; 15 - бензол;
16 - 3,3-диметилпентан; 17 - циклопентан;
18 - 2-метилгексан; 19 - 2,3-метилпентан;
20 - 1,1-диметилциклопентан; 21 - 3-метилгексан;
22 - цис-1,3-диметилциклопентан;
23 - транс-1,3-диметилциклопентан; 24 - 3-этилпентан;
25 - транс-1,2-диметилциклопентан;
26 - 2,2,4-триметилпентан; 27 - н-гептан;
28 - метилциклогексан + цис-1,2-метилциклопентан;
29 - 1,1,3-триметилциклопентан + 2,2-диметилпентан;
30 - этилциклопентан; 31 - 2,5-диметилгексан +
2,2,3-триметилпентан; 32 - 2,4-диметилгексан;
33 - 1,транс-2,цис-4-трициклопентан; 34 - 3,3-диметилгексан;
35 - 1,транс-2,цис-3-триметилциклопентан;
36 - 2,3,4-триметилпентан; 37 - толуол +
2,2,3-триметилпентан; 38 - 1,1,2-триметилциклопентан;
39 - 2,3-диметилгексан; 40 - 2-метил-3-этилпентан;
41 - 2-метилгептан; 42 - 4-метилгептан +
2-метил-3-этилпентан; 43 - 3,4-диметилгексан;
44 - цис-1,3-диметилциклогексан; 45 - 3-метилгептан +
1,цис-2,транс-3-триметилциклопентан; 46 - 3-этилпентан + +
транс-1,4-диметилциклогексан; 47 - 1,1-диметилгексан;
48 - транс-1,3-этилметилциклопентан + 2,2,5-триметилгексан;
49 - цис-1,3-этилметилциклопентан;
50 - транс-1,2-этилметилциклопентан;
51 - 1,1-этилметилциклопентан + 2,2,4-триметилгексан;
52 - транс-1,2-диметилциклогексан; 53 - транс-1,2 +
цис-1,4-диметилциклогексан; 54 - н-октан;
55 - 1-пропилциклопентан + 2,4,4-триметилгексан;
56 - C9-нафтен; 57 - цис-1,2-этилметилциклопентан +
2,3,5-триметилгексан; 58 - 2,2-диметилгептан;
59 - цис-1,2-диметилциклогексан; 60 - 2,4-диметилгептан;
61 - 4,4-диметилгептан + нафтены; 62 - этилциклогексан +
пропилциклопентан; 63 - 2-метил-4-этилгексан;
64 - 2,3-диметилгептан + C9-нафтены;
65 - 1,1,3-триметилциклогексан; 66 - 2,5-диметилгептан;
67 - 1,5-диметилгептан + 2,3-диметилгептан + нафтены;
68 - этилбензол; 69 - C9-нафтен + C9-парафин; 70 - о-ксилол;
71 - п-ксилол; 72 - 2,3-диметилгептан;
73 - 2,4-диметилгептан + нафтены; 74 - 3,4-диметилгептан;
75 - о-ксилол + нафтены; 76 - неидентифицированный
3-метилгексан; 77 - нафтены и парафины; 78 - н-нонан;
79 - н-декан; 80 - н-ундекан; 81 - н-додекан
Рисунок 2 - Хроматограмма стандартного образца нафты
1 - пропан; 2 - изобутан; 3 - н-бутан; 4 - изопентан;
5 - н-пентан; 6 - 2,2-диметилбутан; 7 - циклопентан;
8 - 2,3-диметилбутан; 9 - 2-метилпентан; 10 - 3-метилбутан;
11 - н-гексан; 12 - 2,2-диметилпентан;
13 - метилциклопентан; 14 - 2,4-диметилгексан;
15 - 2,2,3-триметилбутан; 16 - бензол;
17 - 3,3-диметилпентан; 18 - циклогексан;
19 - 2-метилгексан; 20 - 2,3-диметилгексан;
21 - 1,1-диметилциклопентан; 22 - 3-метилгексан;
23 - цис-1,3-диметилциклопентан;
24 - транс-1,3-диметилциклопентан; 25 - 3-этилпентан;
26 - транс-1,2-диметилциклопентан; 27 - н-гептан;
28 - 2,2-диметилпентан; 29 - этилциклопентан;
30 - 2,5-диметилгексан + 2,2,3-триметилгексан;
31 - 2,4-диметилгексан; 32 - 2,3-диметилгексан; 33 - толуол;
34 - 2,3-диметилгексан; 35 - 3-метил-2-этилгексан;
36 - 3-метилгептан; 37 - 4-метилгептан +
3-метил-3-этилпентан; 38 - 3,4-диметилгексан;
39 - 3-метилгептан; 40 - 3-этилгексан;
41 - транс-1,3-этилметилциклопентан + 2,2,5-триметилгексан;
42 - цис-1,3-этилметилциклопентан;
43 - транс-1,2-этилциклопентан; 44 - н-октан;
45 - цис-1,2-этилметилциклопентан + 2,3,5-триметилгексан;
46 - 2,2-диметилгептан; 47 - 2,4-диметилгептан;
48 - 2-метил-4-этилпентан; 49 - 2,6-диметилгептан;
50 - 2,6-диметилгептан; 51 - 3,5-диметилгептан +
2,3-диметилгептан; 52 - этилбензол; 53 - м-ксилол;
54 - п-ксилол; 55 - 2,3-диметилгептан;
56 - 3,4-диметилгептан; 57 - 4-этилгептан;
58 - 4-метилоктан; 59 - 2-метилоктан; 60 - 2-этилгептан;
61 - 3-метилоктан; 62 - о-ксилол; 63 - н-нонан
Рисунок 3 - Хроматограмма стандартного образца бензина
риформинга
3.2 Массовую концентрацию каждого компонента определяют по нормализованной площади и коэффициентам чувствительности. Пики, проявляющиеся после н-нонана, суммируют и записывают как C10+.
4 Назначение и применение
4.1 Сведения об углеводородных компонентах, содержащихся в нафте, продуктах риформинга или алкилирования, используют при оценке нефти, управлении технологическими процессами алкилирования и риформинга, оценке качества продукции, а также для регулирования состава. Подробный углеводородный состав также используют в качестве входных данных при математическом моделировании процессов нефтепереработки.
4.2 Разделение компонентов нафты по процедуре, изложенной в настоящем методе, может привести к получению нескольких пиков, представляющих собой совместно элюирующиеся соединения. Настоящий метод не позволяет определить относительные концентрации таких соединений. Не рекомендуется при отсутствии дополнительной информации использовать результаты настоящего метода для целей, требующих такой оценки.
5.1 Некоторые олефины будут совместно элюироваться с насыщенными или ароматическими углеводородами, что приводит к получению ошибочно высокого содержания таких компонентов. Некоторые парафины, нафтены и моноароматические углеводородные компоненты C7+ могут элюироваться совместно, и результаты могут быть не абсолютно точными. Для проверки результатов настоящего метода по распределению компонентов по числу атомов углерода выше C7+ можно использовать метод по ASTM D 5443.
5.2 Спирты, эфиры и другие органические соединения с аналогичной летучестью также могут элюироваться совместно с насыщенными или ароматическими соединениями, что будет приводить к завышенным значениям содержаний таких компонентов.
6.1 Газовый хроматограф с программированием температуры термостата колонки от 35 °C до 200 °C, со скоростью нагревания 1 °C/мин. Для правильного ввода образца требуется обогреваемый инжектор, обеспечивающий мгновенное испарение образца для линейного ввода образца с соотношением деления потока (например, 200:1). Для поддержания аналитической надежности хроматографа точность средств управления потоком газа-носителя должна быть достаточной для обеспечения воспроизводимости потока в колонке и соотношения деления потока. Для обеспечения оптимального отклика при использовании капиллярных колонок (с электроникой и требуемым регулированием расхода газа) водородный пламенно-ионизационный детектор должен соответствовать приведенным ниже требованиям или превышать их:
- рабочая температура - 100 °C - 300 °C;
- чувствительность - не менее 0,015 углерод/г;
- способность детектирования - не более 5 x 10-12 г углерода/с;
- линейность - не менее 107.
6.2 Система ввода образца
Можно использовать ручной или автоматический ввод образца жидкости шприцем в инжектор с делением потока. Пригодны устройства, обеспечивающие ввод от 0,2 до 1,0 мкл образца. Следует отметить, что несоответствующая конструкция делителя потока и/или плохая техника ввода образца могут привести к разделению образца на фракции. Рабочие условия, исключающие фракционирование, следует определять по
разделу 11.
6.3 Электронная система сбора данных
Любое устройство сбора и накопления данных, используемое для количественной оценки результатов анализов, должно соответствовать приведенным ниже требованиям или превышать их.
6.3.1 Емкость - не менее 250 пиков/анализ.
6.3.2 Вычисление нормализованной площади в процентах по коэффициенту отклика.
6.3.3 Идентификация индивидуальных компонентов по времени удерживания.
6.3.4 Способность устранения шума и всплеска (ложные пики).
6.3.5 Способность регистрировать быстрые (менее 1 с) пики.
6.3.6 Положительная и отрицательная корректировки наклонной базовой (нулевой) линии;
6.3.7 Чувствительность детектирования для узких и широких пиков;
6.3.8 Построение перпендикуляра и касательной при необходимости.
6.4 Капиллярная колонка
В настоящем методе используют кварцевую капиллярную колонку длиной 50 м, внутренним диаметром 0,2 мм с привитой (поперечно-сшитой) метилсиликоновой фазой, толщина пленки
df которой составляет 0,5 мкм. Можно применять другие колонки с указанными номинальными размерами. Используемые колонки должны соответствовать требованиям, приведенным в
разделе 10, по эффективности, разрешающей способности и полярности.
7.1 Газ-носитель - гелий с содержанием основного вещества не менее 99,99% мол. (Предупреждение - Сжатый газ под высоким давлением).
7.2 Газ, используемый в качестве топлива (топливный газ) - водород с содержанием основного вещества не менее 99,9% мол. (Предупреждение - Легковоспламеняющийся газ под давлением).
7.3 Вспомогательный газ - гелий или азот с содержанием основного вещества не менее 99,99% (Предупреждение - Сжатый газ под высоким давлением).
7.4 н-Гептан с содержанием основного вещества не менее 99% мол. (Предупреждение - Легковоспламеняющийся. Вреден при вдыхании).
7.5 Метан (Предупреждение - Легковоспламеняющийся газ).
7.6 2-Метилгептан с содержанием основного вещества не менее 99% мол. (Предупреждение - Легковоспламеняющийся. Вреден при вдыхании).
7.7 4-Метилгептан с содержанием основного вещества не менее 99% мол. (Предупреждение - Легковоспламеняющийся. Вреден при вдыхании).
7.8 2-Метилпентан с содержанием основного вещества не менее 99% мол. (Предупреждение - Легковоспламеняющийся. Вреден при вдыхании).
7.9 н-Октан с содержанием основного вещества не менее 99% мол. (Предупреждение - Легковоспламеняющийся. Вреден при вдыхании).
7.10 Толуол с содержанием основного вещества не менее 99% мол. (Предупреждение - Легковоспламеняющийся. Пары вредны).
7.11 2,3,3-Триметилпентан с содержанием основного вещества не менее 99% мол. (Предупреждение - Легковоспламеняющийся. Пары вредны).
7.12 Смесь для оценки колонки
Синтетическая смесь чистых жидких углеводородов приблизительно следующего состава: 0,5% толуола; 1% гептана; 1% 2,3,3-триметилпентана; 1% 2-метилгептана; 1% 4-метилгептана; 1% н-октана в 2-метилгептане, используемом в качестве растворителя.
7.13 Стандартный образец алкилата
Продукт алкилирования, полученный с нефтеперерабатывающего завода и используемый для идентификации соединений, представленных на
рисунке 1 (
Предупреждение - Легковоспламеняющийся. Вреден при вдыхании).
7.14 Стандартный образец нафты
Продукт, полученный с нефтеперерабатывающего завода и используемый для идентификации соединений, представленных на
рисунке 2 (
Предупреждение - Легковоспламеняющийся. Вреден при вдыхании).
7.15 Стандартный образец бензина риформинга
Продукт, полученный с установки риформинга нефтеперерабатывающего завода (риформат), используемый для идентификации соединений, представленных на
рисунке 3 (
Предупреждение - Легковоспламеняющийся. Вреден при вдыхании).
Примечание 1 - Стандартные образцы алкилата, нафты и продуктов риформинга с нефтеперерабатывающего завода могут быть получены от нескольких изготовителей; в качестве альтернативного варианта можно использовать материалы внутреннего производства или эквивалентные, которые полностью соответствуют компонентному составу на хроматограммах (см.
рисунки 1 -
3).
8.1 Жидкие углеводороды (включая нафту) с давлением паров по Рейду не более 110 кПа (16 psi) можно отбирать в цилиндр с плавающим поршнем или в открытый контейнер. Образцы, отобранные в цилиндр с плавающим поршнем, можно перенести в газохроматографическую виалу или аналогичную емкость, если при охлаждении и переносе не произойдет значительных потерь легких компонентов.
Примечание 2 - Несмотря на возможность ввода образцов под давлением, что требует крана-дозатора для ввода жидкости под высоким давлением в настоящем методе, эту возможность не использовали.
8.1.1 Отбор проб в цилиндр
Процедура переноса представительного образца углеводородной жидкости из источника отбора в цилиндр с плавающим поршнем приведена в ASTM D 3700. Для достижения давления на 350 кПа (45 psi) выше давления паров образца в балластную часть цилиндра с плавающим поршнем вводят инертный газ.
8.1.2 Отбор проб в открытый контейнер
Процедура ручного отбора проб из резервуара в открытый контейнер - по ASTM D 4057. Сразу после отбора пробы контейнер закупоривают.
8.2 Пробу охлаждают до температуры приблизительно 4 °C и хранят при этой температуре до анализа.
8.3 Переносят аликвоту охлажденного образца в предварительно охлажденную виалу, оснащенную крышкой с прокладкой (септой), и герметизируют. Образец для анализа получают непосредственно из герметично закрытой виалы с септой или вводят шприцем вручную или автоматически.
9.1 Устанавливают и кондиционируют колонку в соответствии с инструкциями изготовителя или поставщика. После кондиционирования колонку соединяют с пламенно-ионизационным детектором и проверяют герметичность системы. При обнаружении утечки до проведения испытаний подтягивают или заменяют фитинги.
9.2 Температурные датчики термостата газохроматографической колонки калибруют с помощью независимого электронного устройства для измерения температуры, такого как термопара или датчик платинового термометра сопротивления.
9.2.1 Независимый температурный датчик помещают в термостат рядом с колонкой. При этом датчик не должен касаться стенок термостата.
9.2.2 Устанавливают температуру термостата 35 °C и выдерживают в течение 15 мин, затем регистрируют показание датчика.
9.2.3 Если показание независимого датчика температуры отличается от 35 °C более чем на 0,5 °C, регулируют температуру термостата газового хроматографа в соответствии с инструкцией изготовителя.
Примечание 3 - Расхождение значений температуры всего на 1 °C может заметно изменить разрешение двух близко элюирующихся пиков (разных типов углеводородов), что повлияет на интегрирование и количественное определение, а расхождение в 2 °C - 3 °C может привести к тому, что те же самые пики не будут разделены или изменится порядок их элюирования.
9.3 Регулируют рабочие условия газового хроматографа в соответствии с
таблицей 2. Включают детектор, зажигают пламя и позволяют системе достичь равновесия.
Таблица 2
Рабочие условия газового хроматографа
Параметр | Значение |
Программа температуры колонки |
Начальная температура, °C | 35 +/- 0,5 |
Время установления равновесия перед вводом образца, мин | 5 |
Время выдерживания при начальной температуре, мин | 30 |
Скорость программирования, °C/мин | 2 |
Конечная температура, °C | 200 |
Время выдерживания при конечной температуре, мин | 10 |
Инжектор |
Температура, °C | 200 |
Соотношение деления потока | 200:1 |
Объем образца, мкл | 0,2 - 1,0 |
Детектор |
Тип | Пламенно-ионизационный |
Температура, °C | 250 |
Топливный газ (водород) | Приблизительно 30 см3/мин |
Окисляющий газ (воздух) | Приблизительно 250 см3/мин |
Вспомогательный газ (азот) | Приблизительно 30 см3/мин |
Газ-носитель |
Газ-носитель | Гелий |
Средняя линейная скорость при 35 °C | Приблизительно 23 см/с (см. 9.4) |
9.4 Устанавливают скорость потока газа-носителя таким образом, чтобы время удерживания толуола при 35 °C составляло (29,6 +/- 0,2) мин.
9.4.1 На практике легче сначала установить приблизительно правильную скорость потока с помощью ввода газообразного метана. Для этого регулируют скорость потока газа-носителя (или давление на входе в колонку) таким образом, чтобы получить время удерживания метана на колонке длиной 50 м, равное 3,6 мин.
9.4.2 Проводят окончательную регулировку скорости потока таким образом, чтобы толуол удерживался в течение установленных (29,6 +/- 0,2) мин. Поскольку это требование является определяющим для достижения воспроизводимости времени удерживания между разными лабораториями, следует следить за тем, чтобы толуол не перегружал колонку и не приводил к появлению размытых пиков со сдвигом положения вершины пика. Введение 1%-ного раствора толуола устраняет подобные явления.
10 Оценка качества колонки
10.1 Для обеспечения требуемого разделения колонка должна соответствовать установленным требованиям по эффективности, разрешению и полярности. Для новых колонок определяют приведенные ниже характеристики. Периодически проверяют используемые колонки, чтобы убедиться в том, что не произошло ухудшение ее характеристик. Колонку, не соответствующую установленным требованиям, не следует использовать.
10.2 Устанавливают изотермический режим работы термостата. В изотермических условиях при 35 °C вводят 25 мкл метана и регистрируют время удерживания. При этом же значении температуры (35 °C) анализируют смесь для оценки колонки, указанную в
7.12. Регистрируют время удерживания и ширину пиков каждого компонента на половине высоты.
10.2.1 Эффективность колонки вычисляют по
формуле (1). Число теоретических тарелок
n, которое должно быть не менее 225000, вычисляют по формуле
где tR - время удерживания н-октана, мин;
Wh - ширина пика н-октана на половине высоты (в единицах измерения времени удерживания).
10.2.2 Вычисляют разрешение R между пиками 2-метилгептана и 4-метилгептана), которое должно быть не менее 1,35, по формуле

, (2)
где tR(A) - время удерживания 4-метилгептана, мин;
tR(B) - время удерживания 2-метилгептана, мин;
Wh(A) - ширина пика 4-метилгептана на половине высоты, мин;
Wh(B) - ширина пика 2-метилгептана на половине высоты, мин.
10.2.3 Относительную полярность колонки определяют по разности индексов удерживания Ковача [см.
формулу (А.1), приложение А] толуола и 2,3,3-триметилпентана. Относительная полярность колонки
I2,3,3-ТМП -
Iтолуол при 35 °C должна быть (0,4 +/- 0,4).
Примечание 4 - Настоящее требование является определяющим. Незначительные на первый взгляд расхождения в полярности колонки оказывают существенное влияние на относительный порядок выхода компонентов, затрудняя идентификацию пиков.
10.2.3.1 Индекс удерживания Ковача IA компонента A, выходящего между н-C7 и н-C8, определяют по формуле

, (3)
где t'R(A) - скорректированное время удерживания компонента, мин;
t'R(C7) - скорректированное время удерживания н-гептана, мин;
t'R(C8) - скорректированное время удерживания н-октана, мин.
10.2.3.2 Скорректированное время удерживания компонента определяют вычитанием времени удерживания пика несорбирующегося вещества (метана) из времени удерживания пика компонента.
10.2.3.3 Если не разделяются 2,3,3-триметилпентан и толуол, проводят анализ отдельных смесей, каждая из которых содержит только одно из этих соединений в растворителе 2-метилпентане наряду с н-C7 и н-C8.
11 Линейность ввода пробы с делением потока
11.1 Выбор соотношения деления потока зависит от характеристик линейности разделения конкретного инжектора и емкости колонки. Перегрузки колонки может привести к потере разрешающей способности для некоторых компонентов и изменению времени удерживания, поскольку перегруженные пики искажаются (становятся несимметричными). Это может привести к ошибочной идентификации компонентов. При оценке колонки и исследовании линейности разделения следует обращать внимание на несимметричные пики, которые могут указывать на перегрузку колонки. Фиксируют количество компонента и при анализе, по возможности, избегают условий, приводящих к этой проблеме.
11.2 Для определения правильных количественных параметров и пределов должен быть установлен диапазон линейности делителя потока. Используют стандартную смесь чистых (не менее 99% мол.) углеводородов с известным содержанием от 10% масс. до 20% масс., охватывающую диапазон кипения для настоящего метода. Для предотвращения потерь из-за летучести компонентов не следует использовать соединения легче н-пентана.
11.3 Вводят и интегрируют стандартную смесь в рабочих условиях, приведенных в
таблице 2. Соотношение деления потока можно определить непосредственным измерением потока или с помощью вычисления, приведенного в
приложении А2. Можно использовать более быстрое программирование температуры при условии, что компоненты элюируются в виде отдельных пиков.
Температура блока ввода пробы 200 °C:
- соотношение деления - 100:1; объем образца: 0,2; 0,5; 1,0 мкл;
- соотношение деления - 200:1; объем образца: 0,2; 0,5; 1,0 мкл.
Температура блока ввода пробы 250 °C:
- соотношение деления - 100:1; объем образца: 0,2; 0,5; 1,0 мкл;
- соотношение деления - 200:1; объем образца: 0,2; 0,5; 1,0 мкл.
11.4 Вычисляют содержание каждого соединения, присутствующего в смеси, методом нормализации площадей с использованием коэффициента отклика. Используют коэффициент отклика, равный 1,00, для всех соединений, кроме бензола (0,90) и толуола (0,95). Определяют относительную погрешность ОП, %, вычисленных содержаний в зависимости от введенных содержаний по формуле

, (4)
где РК - вычисленное содержание, % масс.;
ВК - введенное содержание, % масс.
11.5 Используют только те комбинации условий по
11.3, для которых относительная погрешность - не более 3%. Это является линейным диапазоном делителя потока.
12.1 Устанавливают рабочие параметры прибора в пределах значений, приведенных в
таблице 2. При необходимости изменяют соотношение деления потока, объем образца и/или температуру блока ввода пробы для обеспечения линейности делителя потока, как установлено в
разделе 11.
12.2 Проверяют, чтобы время удерживания толуола в изотермических условиях (при 35 °C) составляло (29,6 +/- 0,2) мин (см.
9.4).
12.3 Устанавливают самописец и/или интегратор для обеспечения точного представления данных. Настраивают чувствительность прибора таким образом, чтобы любой компонент с содержанием не менее 0,05% масс. был обнаружен, интегрирован и был записан результат.
12.4 Вводят в устройство для ввода от 0,2 до 1,0 мкл образца и начинают анализ. Объем образца должен быть согласован с линейным диапазоном делителя потока, как определено в
разделе 11. Получают хроматограмму и результат интеграции пиков.
Примечание 5 - Пробы перед открытием для отбора аликвоты или перед вводом (см.
раздел 8) должны быть охлаждены в оригинальном контейнере до температуры 4 °C.
13.1 Идентифицируют каждый пик, визуально сравнивая его с аналогичным пиком на соответствующей стандартной хроматограмме (см.
рисунки 1 -
3). Учитывают разницу относительных размеров пика для разных образцов. Углеводородные компоненты, пики которых элюируются после
н-нонана, индивидуально не определяют.
Примечание 6 - Чтобы помочь аналитику качественно выполнить настоящий метод и идентифицировать пики на хроматограммах, имеются качественные стандартные образцы продуктов алкилирования, риформинга и нафты, которые были использованы для получения хроматограмм (см.
рисунки 1 -
3). Можно проанализировать каждый образец и сравнить его хроматограмму непосредственно с полученной хроматограммой стандартного образца, что помогает в идентификации пиков.
13.2 Каждый пик можно также идентифицировать, сравнивая его индекс удерживания с индексом удерживания тех же соединений, приведенных в
таблице 1. Формула для вычисления индексов удерживания приведена в
приложении А1.
Индексы удерживания соединений, элюирующихся в течение начальной изотермической стадии анализа, можно вычислить по уравнению Ковача. Индексы удерживания для всех других компонентов вычисляют по формуле для линейных индексов. В связи с незначительными различиями колонок, температуры и расходов газов могут возникнуть отклонения значений индекса удерживания от значений, приведенных в
таблице 1. Как отмечено в
11.1, время удерживания и, следовательно, индексы удерживания также изменяются при перегрузке колонки.
13.3 При использовании вычислительного интегратора для автоматической идентификации пиков проверяют отчет для обеспечения надлежащей идентификации пиков.
Примечание 7 - Чрезвычайно важна тщательная проверка идентификации пиков. Невыполнение этого требования может привести к серьезным ошибкам.
13.4 Суммируют площади пиков всех углеводородных компонентов, элюируемых после н-нонана. Эту группу обрабатывают как единый углеводородный компонент C10+.
13.5 Вычисляют содержание каждого компонента
Ci, % масс., (включая C
10+) по формуле

, (5)
где Ai - площадь пика i-го компонента;
Bi - относительный массовый коэффициент отклика для i-го компонента. Используют коэффициент отклика, равный 1,00, для всех компонентов, кроме бензола (0,90) и толуола (0,95).
Примечание 8 - Относительные массовые коэффициенты отклика, определенные с помощью количественных калибровочных стандартов, можно заменить коэффициентами отклика, установленными в
13.5. Воспроизводимость метода (см.
таблицу 3) установлена на основании результатов, вычисленных с использованием установленных (указанных выше) коэффициентов отклика. Расхождение результатов межлабораторных исследований, полученных для одного и того же образца, могут превышать установленные значения воспроизводимости при использовании экспериментально определенных коэффициентов отклика.
Таблица 3
Повторяемость и воспроизводимость для выбранных
компонентов нафты
Наименование компонента | Повторяемость | Воспроизводимость |
Изобутан | 0,071X0,85 | 0,13X0,85 |
н-Бутан | 0,091X0,85 | 0,17X0,85 |
Изопентан | 0,072X0,67 | 0,17X0,67 |
н-Пентан | 0,051X0,67 | 0,14X0,67 |
| 0,026X0,50 | 0,087X0,50 |
| 0,0027X0,67 | 0,12X0,67 |
3-Метилпентан | 0,015X | 0,034X |
Метилциклопентан | 0,016X | 0,038X |
Бензол | 0,037X0,67 | 0,092X0,67 |
| 0,014X | 0,051X |
| 0,019X | 0,094X |
н-Гептан | 0,012X0,50 | 0,030X0,50 |
транс-1,2-Диметилциклопентан <A> | 0,016X | 0,053X |
Метилциклогексан | 0,065X0,50 | 0,16X0,50 |
Толуол | 0,015X | 0,031X |
2,5-Диметилгексан | 0,012X | 0,030X |
2-Метилгептан | 0,037X0,50 | 0,094X0,50 |
н-Октан | 0,010X | 0,070X |
транс-1,2-Диметилциклогексан | 0,010X | 0,024X |
1,1-Диметилциклогексан | 0,0095% | 0,023% |
| 0,018X | 0,15X |
2,2-Диметилгептан | 0,0050% | 0,0099% |
| 0,029X0,50 | 0,073X0,50 |
| 0,017X | 0,050X |
< A> Компонент, пик которого не полностью разрешен. Примечание - X - содержание компонента, % масс. |
14.1 Идентифицируют и записывают содержание каждого компонента, включая н-нонан, с точностью до 0,01% масс.
14.2 Записывают содержание C10+ с точностью до 0,01% масс.
14.3 Записывают массовую концентрацию всех неидентифицированных компонентов до н-нонана.
15 Прецизионность и смещение <2>
--------------------------------
<2> Подтверждающие данные можно получить в ASTM International Headquarters при запросе исследовательского отчета RR:D02-1265.
15.1 Прецизионность
Прецизионность отдельного измерения, полученного при использовании настоящего метода, зависит от нескольких факторов, включая летучесть компонента, его содержание и степень его разрешения от других близко элюирующихся компонентов. Поскольку практически невозможно определить точность измерения каждого компонента (или группы компонентов), разделенных настоящим методом, в
таблице 3 приведены значения повторяемости и воспроизводимости для выбранных представительных компонентов.
15.1.1 Повторяемость (сходимость) r
Расхождение результатов последовательных определений, полученных одним и тем же оператором на одной и той же аппаратуре при постоянных рабочих условиях на идентичном испытуемом материале в течение длительного времени при нормальном и правильном выполнении метода, может превышать значения, приведенные в
таблице 3, только в одном случае из 20.
15.1.2 Воспроизводимость R
Расхождение результатов двух единичных и независимых испытаний, полученных разными операторами, работающими в разных лабораториях, на идентичном испытуемом материале в течение длительного времени при нормальном и правильном выполнении метода, может превышать значения, приведенные в
таблице 3, только в одном случае из 20.
15.2 Смещение
Смещение измерений по настоящему методу невозможно определить, т.к. отсутствует подходящий стандартный образец.
(обязательное)
ИНДЕКСЫ УДЕРЖИВАНИЯ КОВАЧА И ЛИНЕЙНЫЕ ИНДЕКСЫ УДЕРЖИВАНИЯ
А1.1 Логарифмический индекс удерживания Ковача <3> является газохроматографическим параметром, характеризующим относительное удерживание растворенного вещества на установленной жидкой фазе при определенной температуре (в изотермических условиях). Он является важным инструментом в качественной идентификации хроматографических пиков.
--------------------------------
<3> Kovats, E., Advances in chromatography, Vol 1, 1964.
А1.1.1 Индекс удерживания Ковача, основанный на результатах наблюдений, которые показывают, что в изотермических условиях скорректированное время удерживания членов гомологического ряда увеличивается логарифмически с увеличением числа атомов углерода, является числом, показывающим (на логарифмической шкале) удерживание соединения относительно ряда н-парафиновых углеводородов. Скорректированное время удерживания является разностью между фактическим временем удерживания и временем удерживания несорбирующегося компонента, такого как метан.
А1.1.2 Индекс удерживания Ковача
Iiso для соединения
A вычисляют по формуле

, (А1.1)
где t'R(A) - скорректированное время удерживания соединения A;
t'R(N) и t'R(N+1) - скорректированное время удерживания н-алканов с числом атомов углерода N и (N + 1), которые соответственно меньше и больше числа атомов углерода, чем в соединении A.
А1.1.3 В ограниченном диапазоне с некоторой потерей точности индексы удерживания Ковача можно вычислить экстраполяцией, а не интерполяцией. В таком случае
N и (
N + 1) будут обозначать число атомов углерода следующих друг за другом
н-алканов, элюирующихся непосредственно перед (или после) соединения
A. Во всех других отношениях уравнение остается неизменным.
А1.1.4 По определению индексы удерживания Ковача для н-парафиновых углеводородов равны 100xN (например, для н-гексана I = 600, а для н-гептана I = 700).
А1.1.5 Индексы удерживания Ковача вычисляют по значению скорректированного времени удерживания, полученному в строго изотермических условиях анализа или при выдерживании при начальной температуре анализа (при использовании) с программированием температуры. Не следует использовать данные изотермических участков анализа, которые следуют за изменениями температуры при анализе.
А1.1.6 Эти индексы не зависят от других рабочих параметров хроматографической системы. Индексы удерживания Ковача, вычисленные по значению скорректированного времени удерживания, полученному на любой подходящей хроматографической системе, можно сравнивать с индексами, полученными на любой другой системе, если жидкая фаза и температура одинаковы. Опубликованные сборники индексов удерживания Ковача являются отличным источником индексов для идентификации соединений.
А1.2 Линейные индексы удерживания <4> являются распространением метода Ковача на газовую хроматографию с программированием температуры. Линейный индекс удерживания растворенного вещества зависит не только от жидкой фазы, но и от других рабочих параметров. Он является удобным индикатором относительного удерживания растворенных веществ в газохроматографических системах, работающих в идентичных или близких к идентичным условиях.
--------------------------------
<4> Van den Dool and Dratz, Журнал хроматографии, том 11, с. 463, 1963.
А1.2.1 Основанное на аппроксимации в условиях программирования температуры фактическое время удержания членов гомологического ряда линейно увеличивается с увеличением числа атомов углерода, линейный индекс удерживания является числом, показывающим (на линейной шкале) относительное удерживание соединений серии н-алканов.
А1.2.2 Линейный индекс удерживания Iprog соединения A вычисляют по формуле

, (А1.2)
где
tR - фактическое время удерживания и
A,
N и (
N + 1) - нижние индексы, установленные в
А1.1.2.
А1.2.3 В ограниченном диапазоне с некоторой потерей точности индексы линейного удерживания можно вычислить экстраполяцией, а не интерполяцией. В таких случаях
N и (
N + 1) будут означать число атомов углерода последовательных
н-алканов и элюирующихся непосредственно после (или до) соединения
A. В других случаях уравнение остается неизменным.
А.1.2.4 По определению линейные индексы удерживания н-парафиновых углеводородов равны 100 N (например, для н-октана I = 800 и для н-нонана I = 900).
А.1.2.5 Систему линейных индексов удерживания обычно применяют к анализам с линейным программированием температуры без изотермических участков (даже в начале анализа). Несмотря на то, что при использовании линейных индексов удерживания ограничиваются анализом по сути в одинаковых рабочих условиях, некоторые аналитики используют систему линейных индексов удерживания для уменьшения количества данных при использовании процедур со сложными температурными профилями. Такие индексы теоретически не оправданы, но являются полезными индикаторами относительного удерживания, особенно для стандартных методов испытаний.
(обязательное)
ИЗМЕРЕНИЕ И ВЫЧИСЛЕНИЕ ПАРАМЕТРОВ ПОТОКОВ
А2.1 Скорость потока в колонке на некоторых приборах с пламенно-ионизационным детектором можно измерить с помощью расходомера с мыльной пленкой. При этом во время измерения все другие газовые потоки должны быть отключены.
А2.2 Скорость потока в колонке также можно вычислить, исходя из размеров колонки и параметров потока по формулам.
А2.2.1 Время удерживания газа в колонке (мертвое время колонки) tколонки, с
tколонки = tm, (А2.1)
где tm - время удерживания метана, с.
А2.2.2 Средняя линейная скорость газа

, см/с

, (А2.2)
где L - длина колонки, см.
А2.2.3 Поправочный коэффициент сжимаемости газа j

, (А2.3)
где p - отношение значения абсолютного давления на входе в колонку к значению абсолютного давления на выходе из нее.
А2.2.4 Линейная скорость на выходе из колонки

, см/с,

. (А2.4)
А2.2.5 Площадь поперечного сечения колонки Ac, см2,

, (А2.5)
где dj - внутренний диаметр колонки, см.
А2.2.6 Скорость потока газа-носителя Fc в колонке, см3/мин,

. (А2.6)
А2.3 Соотношение деления потока S при вводе пробы

, (А2.7)
где Fv - скорость потока, измеренная на выходе из делителя.
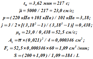
А2.4 Пример - Колонка длиной 50 м, внутренним диаметром 0,21 м, с давлением на входе 220 кПа (измеренное), с давлением на выходе 101 кПа (абсолютное), с временем удерживания метана 3,62 мин, со скоростью потока на выходе из делителя 200 см3/мин.
Вычисляют скорость потока в колонке и соотношение деления следующим образом:
(А2.8)
(справочное)
СВЕДЕНИЯ О СООТВЕТСТВИИ ССЫЛОЧНЫХ СТАНДАРТОВ ASTM
МЕЖГОСУДАРСТВЕННЫМ СТАНДАРТАМ
Таблица ДА.1
Обозначение ссылочного стандарта ASTM | Степень соответствия | Обозначение и наименование соответствующего межгосударственного стандарта |
ASTM D 1319 | IDT | ГОСТ 31872-2012 "Нефтепродукты жидкие. Определение группового углеводородного состава методом флуоресцентной индикаторной адсорбции" |
ASTM D 3700 | - | |
ASTM D 3710 | - | |
ASTM D 4057 | NEQ | |
ASTM D 5443 | - | |
ASTM D 6839 | - | |
ASTM D 6729 | - | |
ASTM D 6730 | - | |
ASTM D 6733 | - | |
ASTM D 7096 | - | |
<*> Соответствующий межгосударственный стандарт отсутствует. До его принятия рекомендуется использовать перевод на русский язык данного стандарта. Примечание - В настоящей таблице использованы следующие условные обозначения степени соответствия стандартов: - IDT - идентичные стандарты; - NEQ - неэквивалентные стандарты. |