Главная // Актуальные документы // ГОСТ Р (Государственный стандарт)СПРАВКА
Источник публикации
М.: Стандартинформ, 2020
Примечание к документу
Текст данного документа приведен с учетом
поправки, введенной в действие с 30.09.2021, опубликованной в "ИУС", N 11, 2021.
Документ
введен в действие с 02.03.2020.
Название документа
"ГОСТ Р 58663-2019. Национальный стандарт Российской Федерации. Продукция и продовольствие с улучшенными характеристиками. Удобрения минеральные. Методы определения свинца, кадмия, мышьяка, никеля, ртути, хрома (VI), меди, цинка и биурета"
(утв. и введен в действие Приказом Росстандарта от 29.11.2019 N 1326-ст)
"ГОСТ Р 58663-2019. Национальный стандарт Российской Федерации. Продукция и продовольствие с улучшенными характеристиками. Удобрения минеральные. Методы определения свинца, кадмия, мышьяка, никеля, ртути, хрома (VI), меди, цинка и биурета"
(утв. и введен в действие Приказом Росстандарта от 29.11.2019 N 1326-ст)
Утвержден и введен в действие
по техническому регулированию
и метрологии
от 29 ноября 2019 г. N 1326-ст
НАЦИОНАЛЬНЫЙ СТАНДАРТ РОССИЙСКОЙ ФЕДЕРАЦИИ
ПРОДУКЦИЯ И ПРОДОВОЛЬСТВИЕ С УЛУЧШЕННЫМИ ХАРАКТЕРИСТИКАМИ
УДОБРЕНИЯ МИНЕРАЛЬНЫЕ
МЕТОДЫ ОПРЕДЕЛЕНИЯ СВИНЦА, КАДМИЯ, МЫШЬЯКА, НИКЕЛЯ,
РТУТИ, ХРОМА (VI), МЕДИ, ЦИНКА И БИУРЕТА
Products and food with improved characteristics.
Mineral fertilizers.
Method of measurement of lead, cadmium, arsenic, nickel,
mercury, chromium (VI), copper, zinc and biuret
ГОСТ Р 58663-2019
Дата введения
2 марта 2020 года
1 Разработан Акционерным обществом "Научно-исследовательский институт охраны атмосферного воздуха" (АО "НИИ Атмосфера") совместно с Публичным акционерным обществом "ФосАгро" (ПАО "ФосАгро") и Акционерным обществом "Научно-исследовательский институт по удобрениям и инсектофунгицидам имени профессора Я.В. Самойлова" (АО "НИУИФ")
2 ВНЕСЕН Проектным техническим комитетом по стандартизации ПТК 708 "Экологически чистая сельскохозяйственная продукция, сырье и продовольствие"
3 УТВЕРЖДЕН И ВВЕДЕН В ДЕЙСТВИЕ
Приказом Федерального агентства по техническому регулированию и метрологии от 29 ноября 2019 г. N 1326-ст
4 ВВЕДЕН ВПЕРВЫЕ
5 В настоящем стандарте учтены некоторые положения стандартов BS EN 16317:2013, BS EN 16318:2013, BS EN 16319:2013, BS EN 16320:2013
Правила применения настоящего стандарта установлены в статье 26 Федерального закона от 29 июня 2015 г. N 162-ФЗ "О стандартизации в Российской Федерации". Информация об изменениях к настоящему стандарту публикуется в ежегодном (по состоянию на 1 января текущего года) информационном указателе "Национальные стандарты", а официальный текст изменений и поправок - в ежемесячном информационном указателе "Национальные стандарты". В случае пересмотра (замены) или отмены настоящего стандарта соответствующее уведомление будет опубликовано в ближайшем выпуске ежемесячного информационного указателя "Национальные стандарты". Соответствующая информация, уведомление и тексты размещаются также в информационной системе общего пользования - на официальном сайте Федерального агентства по техническому регулированию и метрологии в сети Интернет (www.gost.ru)
Настоящий стандарт разработан в соответствии с Планом мероприятий по созданию российских защищенных брендов продукции и продовольствия с улучшенными характеристиками, утвержденным постановлением Правительства Российской Федерации, в целях повышения ее конкурентоспособности на внутреннем и внешнем рынках.
Установлено, что кроме углерода, водорода и кислорода для нормального развития сельскохозяйственным культурам необходимы и другие химические элементы. Они подразделяются на группы в зависимости от уровня содержания в растительных тканях. В частности, к макроэлементам относятся азот, фосфор и калий, к мезоэлементам - кальций, магний и сера. Основными микроэлементами выступают железо, марганец, цинк, медь, бор, молибден и др. Без этих компонентов не может нормально завершиться жизненный цикл любой культуры, т.к. в физиологических функциях они незаменимы и принимают непосредственное участие в метаболизме организма.
В настоящем стандарте приведены методы отбора и подготовки проб к анализу минеральных удобрений с улучшенными характеристиками. Также приведены методики определения содержания примесных количеств токсичных элементов методами атомно-эмиссионной спектрометрии с индуктивно-связанной плазмой, атомной абсорбции с пламенной атомизацией и фотометрии.
Настоящий стандарт устанавливает общие требования к отбору и подготовке проб, методам контроля свинца, кадмия, никеля, мышьяка, ртути, хрома (VI), меди, цинка в минеральных удобрениях, а также биурета в карбамиде, применяемых при производстве продукции с улучшенными характеристиками.
Положения настоящего стандарта распространяются на минеральные удобрения с улучшенными характеристиками, включая аммиачную селитру, карбамид, калийные удобрения, получаемые химическими и физическими методами, и сложные, и комплексные фосфорсодержащие удобрения, получаемые сернокислотным и азотно-кислотным разложением российского апатитового концентрата или фосфатного сырья, или их смесей, обеспечивающих улучшенные характеристики минеральных удобрений.
Настоящий стандарт не распространяется на органические и органоминеральные удобрения.
В настоящем стандарте использованы нормативные ссылки на следующие стандарты:
ГОСТ 61 Реактивы. Кислота уксусная. Технические условия
ГОСТ 1770 Посуда мерная лабораторная стеклянная. Цилиндры, мензурки, колбы, пробирки. Общие технические условия
ГОСТ 2603 Реактивы. Ацетон. Технические условия
ГОСТ 3118 Реактивы. Кислота соляная. Технические условия
ГОСТ 4220 Реактивы. Калий двухромовокислый. Технические условия
ГОСТ 4212 Реактивы. Методы приготовления растворов для колориметрического и нефелометрического анализа
ГОСТ 4328 Реактивы. Натрия гидроокись. Технические условия
ГОСТ 4461 Реактивы. Кислота азотная. Технические условия
ГОСТ 4517 Реактивы. Методы приготовления вспомогательных реактивов и растворов, применяемых при анализе
ГОСТ 4919.1 Реактивы и особо чистые вещества. Методы приготовления растворов индикаторов
ГОСТ 11125 Кислота азотная особой чистоты. Технические условия
ГОСТ 14261 Кислота соляная особой чистоты. Технические условия
ГОСТ 14919 Электроплиты, электроплитки и жарочные электрошкафы бытовые. Общие технические условия
ГОСТ 23350 Часы наручные и карманные электронные. Общие технические условия
ГОСТ 21560.0 Удобрения минеральные. Методы отбора и подготовки проб
ГОСТ 25336 Посуда и оборудование лабораторные стеклянные. Типы, основные параметры и размеры
ГОСТ 28498 Термометры жидкостные стеклянные. Общие технические требования. Методы испытаний
ГОСТ 29169 Посуда лабораторная стеклянная. Пипетки с одной отметкой
ГОСТ 29251 (ИСО 385-1-84) Посуда лабораторная стеклянная. Бюретки. Часть 1. Общие требования
ГОСТ 32555 Карбамид (мочевина). Фотометрический метод определения содержания биурета
ГОСТ 33813 Селитра аммиачная и удобрения на ее основе. Метод определения содержания меди
ГОСТ EN 1482-1 Удобрения и известковые материалы. Отбор и подготовка проб. Часть 1. Отбор проб
ГОСТ EN 1482-2 Удобрения и известковые материалы. Отбор и подготовка проб. Часть 2. Подготовка проб
ГОСТ EN 15479 Удобрения. Спектрометрическое определение биурета в карбамиде
ГОСТ OIML R 76-1 Государственная система обеспечения единства измерений. Весы неавтоматического действия. Часть 1. Метрологические и технические требования. Испытания
ГОСТ Р ИСО 5725-1 Точность (правильность и прецизионность) методов и результатов измерений. Часть 1. Основные положения и определения
ГОСТ Р 52501 Вода для лабораторного анализа. Технические условия
ГОСТ Р 58662 Продукция и продовольствие с улучшенными характеристиками. Термины и определения
Примечание - При пользовании настоящим стандартом целесообразно проверить действие ссылочных стандартов в информационной системе общего пользования - на официальном сайте Федерального агентства по техническому регулированию и метрологии в сети Интернет или по ежегодному информационному указателю "Национальные стандарты", который опубликован по состоянию на 1 января текущего года, и по выпускам ежемесячного информационного указателя "Национальные стандарты" за текущий год. Если заменен ссылочный стандарт, на который дана недатированная ссылка, то рекомендуется использовать действующую версию этого стандарта с учетом всех внесенных в данную версию изменений. Если заменен ссылочный стандарт, на который дана датированная ссылка, то рекомендуется использовать версию этого стандарта с указанным выше годом утверждения (принятия). Если после утверждения настоящего стандарта в ссылочный стандарт, на который дана датированная ссылка, внесено изменение, затрагивающее положение, на которое дана ссылка, то это положение рекомендуется применять без учета данного изменения. Если ссылочный стандарт отменен без замены, то положение, в котором дана ссылка на него, рекомендуется применять в части, не затрагивающей эту ссылку.
4 Общие требования к отбору, хранению и подготовке проб к анализу
4.1 Отбор и подготовку проб минеральных удобрений для анализа химического состава проводят с учетом требований
ГОСТ 21560.0,
ГОСТ EN 1482-1,
ГОСТ EN 1482-2 и нормативных документов на конкретные виды и марки минеральных удобрений.
4.2 Пробу минерального удобрения, поступившую в лабораторию для анализа, регистрируют с указанием:
- номера пробы;
- даты отбора пробы;
- даты поступления пробы;
- вида удобрения;
- наименования поставщика (изготовителя) удобрения;
- обозначения нормативного документа на удобрения;
- массы пробы;
- номера партии удобрения, от которого отобрана проба;
- места отбора пробы (при необходимости).
4.3 При хранении и подготовке проб к анализу принимают меры, препятствующие изменению состава проб. Условия хранения и способы подготовки проб к анализу подбирают в зависимости от целей и методов анализов (определение агрохимических, экологических, санитарно-гигиенических показателей, радиационной загрязненности и др.).
4.4 Пробы для химического анализа следует упаковывать и хранить в плотно закрытых емкостях из химически нейтрального материала.
4.5 Емкости для хранения проб перед заполнением должны быть чистыми и сухими.
4.6 Масса пробы твердого минерального удобрения должна быть не менее 0,5 кг.
4.7 Объем пробы жидкого минерального удобрения должен быть не менее 0,5 дм3. Перед отбором необходимой аликвоты раствор тщательно перемешивают с помощью лабораторной мешалки.
5 Методы определения свинца, кадмия, никеля, мышьяка, ртути, хрома (VI), меди, цинка в минеральных удобрениях и биурета в карбамиде
5.1 Определение массовой доли свинца, кадмия, никеля и мышьяка методом спектрометрии с индуктивно-связанной плазмой (ИСП-АЭС) осуществляют в соответствии с
приложением А <1>, или по аттестованным методикам
[5] -
[8], или по другим методикам, аттестованным в установленном порядке.
Справочные статистические результаты определения кадмия, свинца, никеля и мышьяка приведены в
приложении Б <2>.
--------------------------------
5.2 Определение массовой доли ртути методом ИСП-АЭС или атомно-абсорбционным методом (ААС) осуществляют в соответствии с
приложением А <1>, или по аттестованной методике
[9], или по другим методикам, аттестованным в установленном порядке.
Справочные статистические результаты определения ртути приведены в
приложении Б <2>.
--------------------------------
5.3 Определение массовой доли хрома (VI) осуществляют в соответствии с
приложением В <3> или по другим методикам, аттестованным в установленном порядке. Справочные статистические результаты определения хрома (VI) приведены в
приложении Б.
--------------------------------
5.4 Определение массовой доли меди и цинка методом ААС осуществляют в соответствии с
приложением Г, или в соответствии с требованиями
ГОСТ 33813, или по другим методикам, аттестованным в установленном порядке.
5.6 Конкретные методы определения содержания загрязняющих веществ устанавливают в нормативных документах на конкретное удобрение.
6 Общие требования к реактивам, растворам, оборудованию
6.1 При проведении химических анализов следует использовать реактивы, имеющие квалификацию "химически чистый" (х.ч.) или "чистый для анализа" (ч.д.а.), в указанных случаях - "особо чистый" (ос. ч).
6.2 Для приготовления водных растворов и при проведении анализов применяют бидистиллированную воду, приготовленную по
ГОСТ 4517.
6.3 Растворы и реактивы, применяемые при анализе, должны быть прозрачными и без осадка.
6.4 Для приготовления растворов сравнения используют один раствор, отмеряя разные его объемы с помощью одной меры вместимости.
Растворы реактивов добавляют в растворы сравнения, холостые и анализируемые растворы в последовательности, указанной в соответствующем методе анализа, тщательно перемешивая раствор после прибавления каждого реактива.
6.5 Растворы индикаторов следует готовить в соответствии с требованиями
ГОСТ 4919.1.
6.6 Вспомогательные растворы, применяемые в анализе, готовят в соответствии с требованиями соответствующего стандарта на методы анализа или методики измерений.
6.7 Для проведения анализа, хранения реактивов и растворов следует применять тару и посуду из стекла, фарфора, кварца, полиэтилена и т.д. в соответствии с требованиями стандартов на методы анализа или методики измерений.
6.8 Используемые средства измерений должны быть внесены в Госреестр СИ, допущенных к применению в РФ, и поверены в установленном порядке. Испытательное оборудование должно быть аттестовано в установленном порядке.
Мерная посуда должна соответствовать второму классу точности по
ГОСТ 1770. Допускается использование импортной мерной посуды, обеспечивающей требуемую точность.
6.9 При выполнении измерений методами ААС и ИСП-АЭС длину волны и другие условия измерений выбирают так, чтобы достигнуть оптимальных значений чувствительности и точности для определяемого элемента и применяемого средства измерений.
6.10 Допускается приготовление реактивов, указанных в
приложениях А,
В и
Г, в требуемых объемах.
7 Общие требования к обработке данных испытаний
7.1 При вычислении результата анализа в пересчете на сухое удобрение результат умножают на коэффициент

, (1)
где W - массовая доля воды в удобрении.
7.2 За результат измерений массовой доли элемента в пробе принимают среднее арифметическое значение результатов двух определений, полученных в условиях повторяемости по
ГОСТ Р ИСО 5725-1. Расхождение между результатами двух определений, полученных в условиях повторяемости по
ГОСТ Р ИСО 5725-1, не должно превышать значения предела повторяемости при доверительной вероятности 0,95, приведенного в стандарте на методы анализа или в методике измерений, для соответствующего диапазона массовых долей определяемого элемента.
7.3 Если расхождение между результатами двух определений, полученных в условиях повторяемости по
ГОСТ Р ИСО 5725-1, превышает значение предела повторяемости при доверительной вероятности 0,95, приведенного в стандарте на методы анализа или в методике измерений, для соответствующего диапазона массовых долей определяемого элемента, то анализ необходимо повторить. При повторном превышении предела повторяемости анализ прекращают до выявления и устранения причин повышенного разброса результатов.
7.4 Значение результата анализа должно содержать количество цифр на один разряд больше, чем значение нормы содержания токсичного элемента в удобрении.
8 Контроль точности результатов измерений
8.1 При наличии соответствующих стандартных образцов перед проведением рутинных измерений следует их проанализировать для подтверждения того, что аналитическое извлечение, выраженное в процентах по отношению к сертифицированному значению, удовлетворительно.
8.2 Если лаборатория проводит анализ минеральных удобрений на содержание основных токсичных элементов соединений регулярно, то рекомендуется, чтобы они принимали участие в соответствующих программах внешней оценки качества или проверках квалификации, если такие программы существуют, и лаборатории имеют возможность присоединиться к ним.
Ведут записи результатов испытаний, содержащие следующую информацию:
- заявление о конфиденциальности полученной информации, при необходимости;
- полную идентификацию пробы минерального удобрения, в том числе дату и место отбора, номер партии, номер пробы;
- ссылку на нормативный документ на конкретное удобрение;
- тип(ы) прибора(ов), используемых для подготовки и анализа проб с указанием уникальных идентификационных данных, сведения о поверке СИ, об аттестации испытательного оборудования;
- результат испытаний;
- Ф.И.О. аналитика(ов) или другие элемент(ы) идентификации личности;
- дату проведения анализа;
- описание любых случайных отклонений, особых обстоятельств, или другую полезную информацию.
(справочное)
КОЛИЧЕСТВЕННОЕ ОПРЕДЕЛЕНИЕ ТОКСИЧНЫХ ЭЛЕМЕНТОВ
В ПРОБАХ МИНЕРАЛЬНЫХ УДОБРЕНИЙ
А.1 Определение массовой доли кадмия, никеля, свинца и мышьяка методом атомно-эмиссионной спектрометрии с индуктивно-связанной плазмой (ИСП-АЭС)
А.1.1 Сущность метода
Метод основан на измерении интенсивности излучения определяемого элемента в возбужденном состоянии в высокочастотной индуктивно-связанной плазме. Интенсивность излучения зависит от концентрации определяемого элемента в растворе анализируемого образца. Для растворения образца минерального удобрения используют раствор "царской водки". Измерения концентраций свинца, кадмия, мышьяка, никеля выполняют с осевым и радиальным обзором.
А.1.2 Средства измерений, вспомогательное оборудование, посуда и реактивы
Атомно-эмиссионный спектрометр с индуктивно-связанной плазмой, обеспечивающий осевой и радиальный обзор плазмы и коррекцию фона, со спектральным диапазоном от 160 до 980 нм и пределом допустимой относительной погрешности не более +/- 5%.
Стандартный образец состава раствора ионов кадмия с аттестованным значением массовой концентрации 1,0 г/дм3 и границами допускаемых значений относительной погрешности аттестованного значения не более +/- 1%.
Стандартный образец состава раствора ионов свинца с аттестованным значением массовой концентрации 1,0 г/дм3 и границами допускаемых значений относительной погрешности аттестованного значения не более +/- 1%.
Стандартный образец состава раствора ионов никеля с аттестованным значением массовой концентрации 1,0 г/дм3 и границами допускаемых значений относительной погрешности аттестованного значения не более +/- 1%.
Стандартный образец состава раствора ионов мышьяка с аттестованным значением массовой концентрации 1,0 г/дм3 и границами допускаемых значений относительной погрешности аттестованного значения не более +/- 1%.
Примечания
1 Допускается приготовление растворов ионов измеряемых элементов массовой концентрации 1,0 г/дм
3 из реактивов по
ГОСТ 4212.
2 Допускается использовать стандартные образцы состава раствора ионов измеряемых элементов с аттестованным значением массовой концентрации 0,1 г/дм3 и границами допускаемых значений относительной погрешности аттестованного значения не более +/- 1%.
Весы электронные специального (I) класса точности по
ГОСТ OIML R 76-1 (Max = 210 г, e = 0,001 г).
Весы электронные высокого (II) класса точности по
ГОСТ OIML R 76-1 (Max = 2100 г, e = 0,001 г).
Термометр жидкостный лабораторный по
ГОСТ 28498 с диапазоном измерений температуры от 0 °C до 100 °C и абсолютной погрешностью +/- 1 °C.
Часы электронные по
ГОСТ 23350 или таймер любого типа по соответствующим нормативным документам.
Психрометр универсальный по соответствующим нормативным документам с диапазоном измерений относительной влажности до 80% и абсолютной погрешностью +/- 7%.
Барометр по соответствующим нормативным документам с диапазоном измерений от 810 гПа до 1050 гПа и абсолютной погрешностью измерений +/- 2 гПа.
Колбы мерные 2-1000-2, 2-100-2, 2-50-2 по
ГОСТ 1770.
Бюретка 1-2-25-0,05 или 1-2-10-0,05 по
ГОСТ 29251.
Пипетки 2-2-1, 2-2-2, 2-2-5, 2-2-10, 2-2-20, 2-2-50 по
ГОСТ 29169.
Цилиндры мерные 2-25-2, 2-50-2, 2-100-2, 2-250-2 по
ГОСТ 1770.
Стаканчик для взвешивания (бюкса) СВ-14/8 или СН-34/12 по
ГОСТ 25336.
Плитка электрическая лабораторная или бытовая.
Вода для лабораторного анализа по
ГОСТ Р 52501, степень чистоты 2, или вода дистиллированная, дважды перегнанная (бидистиллят), готовят по
ГОСТ 4517.
Кислота азотная по
ГОСТ 4461 квалификации "х.ч." или кислота азотная по
ГОСТ 11125, "ос. ч.", концентрированная (плотность

).
Кислота соляная по
ГОСТ 3118 квалификации "х.ч." или кислота соляная по
ГОСТ 14261, "ос. ч.", концентрированная (плотность

).
Аргон газообразный высокой чистоты.
Фильтры бумажные обеззоленные "синяя лента".
Примечание - При использовании в качестве реактивов опасных (едких, токсичных) веществ следует руководствоваться требованиями безопасности, изложенными в нормативных документах на эти реактивы.
А.1.3 Подготовка к анализу
А.1.3.1 Приготовление смешанного раствора кислоты
150 см
3 соляной кислоты

отмеряют цилиндром, осторожно, небольшими порциями, при постоянном перемешивании, помещают в мерную колбу вместимостью 1000 см
3, в которую предварительно помещают 200 см
3 дистиллированной воды. Затем в эту же колбу осторожно, небольшими порциями, при постоянном перемешивании прибавляют цилиндром 50 см
3 азотной кислоты

. Раствор в колбе охлаждают до комнатной температуры, доводят дистиллированной водой до метки, перемешивают.
Раствор хранят в плотно закрытой стеклянной посуде в лабораторном помещении. Срок годности раствора - три месяца.
А.1.3.2 Приготовление рабочего раствора 1 с массовой концентрацией свинца, кадмия, мышьяка и никеля 0,1 г/дм
3
Отбирают сухими пипетками по 5 см
3 стандартных образцов состава растворов ионов свинца, кадмия, мышьяка и никеля массовой концентрации 1,0 г/дм
3, помещают в мерные колбы вместимостью 50 см
3, доливают до метки смешанным раствором кислоты
(А.1.3.1), перемешивают.
Раствор хранят в плотно закрытой стеклянной посуде в лабораторном помещении. Срок годности раствора - три месяца.
Полученный раствор используют для приготовления рабочего раствора 2 и испытуемых растворов с добавлением известного количества определяемых элементов.
А.1.3.3 Приготовление рабочего раствора 2 с массовой концентрацией свинца, кадмия, мышьяка и никеля 0,01 г/дм3
Отбирают пипеткой по 5 см
3 рабочего раствора 1
(А.1.3.2) каждого определяемого элемента, помещают в мерную колбу вместимостью 50 см
3, доливают до метки смешанным раствором кислоты, перемешивают.
Раствор хранят в плотно закрытой стеклянной посуде в лабораторном помещении. Срок годности раствора - один месяц. Полученный раствор используют для приготовления градуировочных растворов и испытуемого раствора с добавлением известного количества определяемых элементов.
Примечание - Допускается приготовление рабочих растворов с более низкими (0,001 г/дм3) или неравными массовыми концентрациями свинца, кадмия, мышьяка и никеля. Для этого отбирают пипеткой необходимые объемы рабочих растворов 1 или 2, помещают в мерную колбу вместимостью 50 см3, доливают до метки смешанным раствором кислоты, перемешивают. Используют свежеприготовленные растворы.
А.1.3.4 Установление градуировочных характеристик для определения массовой доли кадмия, массовой доли свинца, массовой доли мышьяка и массовой доли никеля (внешняя градуировка)
Градуировочные растворы готовят разбавлением соответствующих рабочих растворов смешанным раствором кислоты.
Следует выбрать подходящий диапазон градуировочных растворов, охватывающих линейный диапазон градуировки.
В необходимое количество мерных колб вместимостью 100 см
3 каждая вносят пипеткой рабочие растворы 2 измеряемых элементов в соответствии с
таблицей А.1, доводят объемы растворов до метки смешанным раствором кислоты
(А.1.3.1) и перемешивают.
Таблица А.1
Объемы рабочего раствора 2 и массовые концентрации
определяемых элементов в градуировочных растворах
Объем рабочего раствора 2 (свинца) см3 | Массовая концентрация свинца, мг/дм3 | Объем рабочего раствора 2 (кадмия), см3 | Массовая концентрация кадмия, мг/дм3 | Объем рабочего раствора 2 (мышьяка), см3 | Массовая концентрация мышьяка, мг/дм3 | Объем рабочего раствора 2 (никеля), см3 | Массовая концентрация никеля, мг/дм3 |
0 | 0 | 0 | 0 | 0 | 0 | 0 | 0 |
0,5 | 0,05 | 0,1 | 0,01 | 0,5 | 0,05 | 0,5 | 0,05 |
1 | 0,1 | 0,5 | 0,05 | 1 | 0,1 | 1 | 0,1 |
2,5 | 0,25 | 1 | 0,1 | 2,5 | 0,25 | 2,5 | 0,25 |
10 | 1 | 2,5 | 0,25 | 10 | 1 | 10 | 1 |
20 | 2 | 10 | 1 | 20 | 2 | 20 | 2 |
- | - | 20 | 2 | - | - | - | - |
Одновременно с градуировочными растворами готовят "холостые" растворы, содержащие все растворы, кроме градуировочных.
Измеряют поглощение излучения измеряемых элементов в аналитических условиях, приведенных в
таблице А.2. Для каждого градуировочного раствора выполняют не менее двух измерений и рассчитывают среднеарифметическое значение сигнала.
Таблица А.2
Общие аналитические условия для определения
свинца, кадмия, мышьяка и никеля методом ИСП-АЭС
Измеряемый элемент | Свинец | Кадмий | Мышьяк | Никель |
Длина волны, нм | 220,35 | 214,44 | 193,76 | 216,56 |
228,80 | 231,60 |
Коррекция фона | Да | Да | Да | Да |
Рабочий диапазон, мг/дм3 | 0,02 до 10 | 0,005 до 5 | 0,03 до 10 | 0,02 до 10 |
Основные помехи | Fe, Cu | 214,44 - Fe 228,80 - As, Sc | Cr | 216,56 - Fe, Mn |
Предел обнаружения для осевого просмотра, мг/дм3 | 0,005 | 0,002 | 0,01 | 0,005 |
Длины волн (эмиссионные линии, указанные в
таблице А.2) являются рекомендацией, которая должна быть проверена для каждого отдельного средства измерений с учетом производительности и рабочих параметров прибора. Это позволяет использовать другие эмиссионные линии, если валидация пригодности для анализа кадмия, никеля, свинца, мышьяка в удобрениях была проведена.
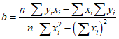
Полученные данные интенсивности излучения в зависимости от массовой концентрации определяемого элемента с помощью программного обеспечения спектрометра обрабатывают методом наименьших квадратов, используя для аппроксимации уравнение вида Ai = a + b·ci. Вычисляют параметры уравнения (a; b) и коэффициент корреляции R2, значение которого должно быть не менее 0,99.
Градуировку спектрометра выполняют в соответствии с руководством пользователя. Проверку градуировочных характеристик, хранящихся в памяти прибора, проводят непосредственно перед началом измерений.
А.1.3.5 Градуировочные характеристики, записанные в программное обеспечение средства измерений, проверяют и корректируют, выполняя внешнюю градуировку и коррекцию матричных эффектов путем анализа образца с известной величиной добавки. В качестве добавки используют рабочие растворы, приготовленные путем разбавления стандартных образцов состава ионов анализируемых элементов. Использование метода внешней градуировки и анализа образца с известной величиной добавки позволяет провести анализ удобрений с неизвестной матрицей или матрицей, которая не может быть легко синтетически подделана. Аликвоты раствора пробы анализируют средствами внешней градуировки, затем в одну аликвоту добавляют добавку с известной концентрацией аналита без изменения матрицы раствора пробы. Вычисленную степень извлечения при введении в пробу известного количества вещества затем используют для корректировки концентрации, рассчитанной с помощью внешней градуировки. Данная методика градуировки не может быть такой же точной, как градуировка по методу добавок с использованием в качестве добавок трех аликвот рабочих растворов, приготовленных путем разбавления стандартных образцов состава ионов анализируемых элементов. Погрешность метода добавок ниже общей погрешности метода при условии, если концентрация всего определяемого элемента в линейном рабочем диапазоне после применения добавки соответствует удвоению концентрации аналита. Многие ошибки матрицы могут быть компенсированы за счет этой процедуры, если они не являются дополнительными (например, спектральные помехи).
Отбирают четыре одинаковые аликвоты раствора пробы, затем в три аликвоты добавляют разные объемы рабочих растворов, приготовленных путем разбавления стандартных образцов состава ионов анализируемых элементов с известной концентрацией аналита без изменения матрицы раствора пробы. Концентрация вещества с добавками известного количества в образце должна находиться в линейном рабочем диапазоне.
А.1.3.6 Подготовка исследуемого раствора
Подготовленную пробу минерального удобрения массой приблизительно 3 г взвешивают (результат взвешивания записывают до четвертого десятичного знака), помещают в коническую колбу, смачивают 1 см
3 бидистиллированной воды, добавляют цилиндром 21 см
3 соляной кислоты (плотность

) и 7 см
3 азотной кислоты (плотность

). Колбу сразу закрывают пробкой с обратным холодильником. Дают смеси постоять при комнатной температуре, пока кипение не прекратится, чтобы замедлить окисление любой органической массы в образце. Помещают на электрическую плитку и медленно повышают температуру реакционной смеси до создания условий образования конденсата. Кипятят в течение 2 ч, следят, чтобы зона конденсации не превышала 1/3 высоты холодильника.
Отключают нагрев, охлаждают, отсоединяют холодильник. Промывают холодильник 10 см3 бидистиллированной воды, собирая промывные воды в ту же коническую колбу, в которой проводили разложение пробы, закрывают колбу. Полученный раствор охлаждают до комнатной температуры, количественно переносят в мерную колбу вместимостью 100 см3 и доводят объем раствора до метки бидистиллированной водой, перемешивают. При необходимости фильтруют через фильтр "синяя лента".
Полученный фильтрат (при необходимости) разбавляют смешанным раствором кислоты для получения массовой концентрации свинца и никеля в диапазоне (0,02 - 5) мг/дм3, массовой концентрации кадмия - в диапазоне (0,005 - 5) мг/дм3, массовой концентрации мышьяка - в диапазоне (0,03 - 5) мг/дм3.
Примечание - Важно, чтобы общее разбавление исследуемого раствора совпадало с разбавлением этого раствора с учетом добавок известного количества аналита (способ приготовления раствора с добавками известного количества аналита указан в
А.1.3.7).
Одновременно с разложением анализируемой пробы удобрения готовят раствор "холостого" опыта, содержащий все растворы реактивов, кроме анализируемой пробы, проведенный через все стадии анализа.
Растворы "холостого" опыта исследуемой пробы анализируют без дальнейшего разбавления. Перед каждым анализом должны быть установлены загрязнения от кадмия, никеля, свинца, мышьяка и ртути в смешанном растворе кислоты, используемом для анализа.
А.1.3.7 Подготовка исследуемого раствора для коррекции матричных эффектов
Для каждого исследуемого раствора требуется раствор образца с известной величиной добавки. В качестве добавки используют рабочие растворы, приготовленные путем разбавления стандартных образцов состава ионов анализируемых элементов. Добавление рабочего раствора с известным количеством вещества увеличивает концентрацию аналита не менее чем на 100%, при этом не меняет матрицу исследуемого раствора или разбавленный исследуемый раствор.
Если в исследуемом растворе содержится от 1,00 мг/дм3 до 5,00 мг/дм3 кадмия, никеля и свинца, то добавление известного количества вещества соответствует 1 мг/дм3 многоэлементного рабочего раствора, содержащего кадмий, никель и свинец, и может быть проведено во время 5-кратного разбавления образца.
Таким образом берут 2,00 см3 исследуемого раствора и добавляют 1 см3 рабочего раствора 2 массовой концентрации 10 мг/дм3 и 7,00 см3 смешанного раствора кислоты. Исследуемый раствор должен быть также 5-кратно разбавлен смешанным раствором кислоты перед измерениями методом АЭС-ИСП.
Если исследуемый раствор содержит от 0,005 мг/дм3 до 1,0 мг/дм3 кадмия и от 0,02 мг/дм3 до 1,0 мг/дм3 никеля и свинца, он должен быть проанализирован без дальнейшего разбавления. Добавляют 0,10 см3 соответствующего (многоэлементного) рабочего раствора (например, рабочего раствора 1 с массовой концентрацией 100 мг/дм3 с соответствующим добавлением 1,00 мг/дм3 кадмия, свинца и никеля) к 9,9 см3 исследуемого раствора. Таким образом готовят раствор с добавками известного количества вещества объемом 10,00 см3 без значительной замены матрицы исследуемого раствора.
Исследуемый раствор измеряют с помощью того же разведения (9,90 см3 исследуемого раствора и 0,1 см3 смешанного раствора кислоты) методом АЭС-ИСП.
Если в исследуемом растворе содержится от 1 мг/дм3 до 5 мг/дм3 мышьяка, то добавление известного количества вещества, соответствующего 1 мг/дм3 многоэлементного рабочего раствора, содержащего мышьяк, может быть проведено во время 5-кратного разбавления образца.
Таким образом берут 2 см3 исследуемого раствора и добавляют 1 см3 рабочего раствора 2 с массовой концентрацией 10 мг/дм3 и 7 см3 смешанного раствора кислоты. Исследуемый без добавок раствор должен быть также 5-кратно разбавлен смешанным раствором кислоты перед измерениями методом АЭС-ИСП.
Если в исследуемом растворе содержится от 0,03 мг/дм3 до 1,00 мг/дм3 мышьяка, его анализируют без дальнейшего разбавления. Добавляют 0,10 см3 соответствующего рабочего раствора (например, рабочего раствора 1 с массовой концентрацией 100 мг/дм3, что соответствует добавлению 1,00 мг/дм3 мышьяка) к 9,90 см3 исследуемого раствора.
Таким образом готовят раствор с добавками известного количества вещества объемом 10,00 см3 без значительной замены матрицы исследуемого раствора.
Градуировочные растворы измеряют первыми, затем измеряют "холостой" раствор, исследуемый раствор и, наконец, исследуемый раствор с добавками известного количества вещества. Если концентрация исследуемого раствора находится за пределами линейного диапазона, следует разбавить исследуемый раствор смешанным раствором кислоты.
При проведении длительной серии измерений проверяют установку нуля и градуировку после измерения каждого десятого раствора.
В качестве аналитического контроля образцы с известным содержанием кадмия, никеля, свинца и мышьяка могут быть проанализированы параллельно со всеми пробами при условии, что пробы этих образцов проведены через все этапы данного метода анализа.
Эмиссионные линии, указанные в
таблице А.2, являются рекомендацией, которая должна быть проверена для каждого отдельного спектрометра с учетом производительности и рабочих параметров прибора. Это позволяет использовать другие эмиссионные линии, если валидация пригодности для анализа кадмия, никеля, свинца, мышьяка в удобрениях была проведена.
А.1.4 Расчет и выражение результатов
А.1.4.1 Внешняя градуировка
В случае, если линейный градуировочный график построен с использованием одного холостого и трех - пяти градуировочных растворов, характеристика может быть описана по формуле
Sst = cst·b + a, (А.1)
где Sst - значение выходного сигнала спектрометра при измерении градуировочного раствора, усл. ед.;
cst - массовая концентрация раствора, мг/дм3;
b - угловой коэффициент градуировочной кривой;
a - свободный член линейной зависимости градуировочной кривой.
Вычисляют массовую концентрацию аналита, cf, мг/дм3, в исследуемом растворе пробы, используя угловой коэффициент b и пересечение a, по формуле

, (А.2)
где Sf - значение выходного сигнала спектрометра при измерении исследуемого раствора, усл. ед.
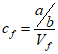
А.1.4.2 Коррекция для степени извлечения
Вычисляют массовую концентрацию аналита
cfs в испытуемой пробе с добавками известного количества вещества по
формуле (А.2). Затем вычисляют степень извлечения
Rs в процентах от массовой концентрации аналита в фильтрате пробы для испытаний
cf по формуле

(А.3)
где cfs - массовая концентрация аналита в испытуемой пробе с добавками известного количества вещества, мг/дм3:
cf - массовая концентрация аналита, вычисленная с помощью внешней градуировки, мг/дм3;
cs - массовая концентрация градуировочного раствора, мг/дм3;
Vs - объем градуировочного раствора, используемый для метода добавок, дм3;
Vfst - общий объем, используемый для приготовления исследуемого раствора с добавками известного количества вещества, дм3.
Корректируют массовую концентрацию аналита в фильтрате cf с учетом параметров внешней градуировки до параметров извлечения, для получения скорректированной массовой концентрации определяемого элемента в исследуемом растворе cf(R) по формуле

. (А.4)
А.1.4.3 Метод добавок
При использовании метода добавок используют методы регрессионного анализа для линейной модели переменной yi как функции переменной xi для определения массовой концентрации элемента. Как правило, эта модель может быть указана в соответствии с формулой
yi = a + b·xi. (А.5)
В конкретном случае с тремя добавками:
yi = Si (для i = 0, 1, 2, 3) и (А.6)
xi = cs·Vi (для i = 0, 1, 2, 3), (А.7)
где cs - массовая концентрация градуировочного раствора в мг/дм3;
Vi - различные объемы (в дм3) добавленного рабочего раствора;
Si - значение выходного сигнала спектрометра при анализе исследуемого раствора после введения различных объемов рабочего раствора, усл. ед.
Затем вычисляют значения b и a согласно следующим формулам

, (А.8)

, (А.9)
где n - количество измеренных растворов (n = 4 в случае с тремя добавлениями).
Вычисляют массовую концентрацию аналита cf, мг/дм3, в фильтрате пробы для испытания по формуле

, (А.10)
где Vf - объем фильтрата в пробе для испытания, используемой для приготовления исследуемого раствора, дм3.
А.1.5 Расчет массовой доли элемента в образце
Вычисляют массовую долю аналита в анализируемом образце wE, мг/кг, по формуле

, (А.11)
где
cf - массовая концентрация аналита в фильтрате пробы для испытания, вычисленная по
формулам (А.2),
(А.4) или
(А.10), в зависимости от выбора градуировки (значение
cf(R) используется вместо
cf в случае проведения коррекции степени извлечения по
А.1.4.2), мг/дм
3;
cbl - массовая концентрация холостого раствора, мг/дм3;
m - масса образца, отобранного для экстракции, кг;
Vt - общий объем экстракта (фильтрата пробы для испытания), дм3.
Значения предела повторяемости и предела воспроизводимости для кадмия, никеля, свинца и мышьяка, оцененные для некоторых марок удобрений и известковых материалов, приведены в
таблицах А.3,
А.4,
А.5 и
А.6.
Таблица А.3
Средние значения, пределы повторяемости
и воспроизводимости для кадмия
Образец | Среднее значение  , мг/кг | Предел повторяемости r, мг/кг | Предел воспроизводимости R, мг/кг |
Азофоска | 5,33 | 0,55 | 1,36 |
Тройной суперфосфат | 16,9 | 1,7 | 7,5 |
Фосфорит | 13,6 | 1,4 | 5,5 |
Доломитовый известняк | 0,967 | 0,039 | 0,250 |
Негашеная известь | 0,374 | 0,039 | 0,099 |
Конвертерная известь | Не обнаружена <1> | - | - |
<1> Восемь лабораторий определили кадмий в конвертерной извести. В измерениях шести лабораторий содержание Cd было ниже предела обнаружения (< 0,05 - < 0,25). Одна лаборатория определила 0,4 мг/кг Cd, другая лаборатория определила в среднем 0,83 мг/кг Cd. |
Таблица А.4
Средние значения, пределы повторяемости
и воспроизводимости для никеля
Образец | Среднее значение  , мг/кг | Предел повторяемости r, мг/кг | Предел воспроизводимости R, мг/кг |
Азофоска | 280 | 54 | 130 |
Тройной суперфосфат | 37,7 | 4,3 | 20,6 |
Фосфорит | 32,9 | 3,7 | 16,3 |
Доломитовый известняк | 5,93 | 0,44 | 1,67 |
Негашеная известь | 2,500 | 0,168 | 0,767 |
Конвертерная известь | 10,83 | 1,28 | 4,83 |
Таблица А.5
Средние значения, пределы повторяемости
и воспроизводимости для свинца
Образец | Среднее значение  , мг/кг | Предел повторяемости r, мг/кг | Предел воспроизводимости R, мг/кг |
Тройной суперфосфат | 4,5 | 1,0 | 6,7 |
Фосфорит | 17,7 | 2,8 | 10,2 |
Доломитовый известняк | 87,23 | 2,88 | 17,22 |
Негашеная известь | 2,509 | 0,153 | 0,741 |
Конвертерная известь | 10,20 | 0,47 | 6,69 |
Таблица А.6
Средние значения, пределы повторяемости
и воспроизводимости для мышьяка
Образец | Среднее значение  , мг/кг | Предел повторяемости r, мг/кг | Предел воспроизводимости R, мг/кг |
Тройной суперфосфат | 17,9 | 2,6 | 8,5 |
Фосфорит | 6,0 | 1,9 | 4,3 |
А.2 Определение массовой доли ртути методами атомно-эмиссионной спектрометрии с индуктивно-связанной плазмой (ИСП-АЭС) и атомно-абсорбционной спектрометрии (холодного пара)
А.2.1 Сущность метода
Ртуть извлекают из образца разложением в "царской водке". Массовую концентрацию ртути в экстракте измеряют на атомно-абсорбционном спектрометре (ААС) по выделению "холодного пара" или атомно-эмиссионном спектрометре с индуктивно-связанной плазмой (ИСП-АЭС).
А.2.2 Средства измерений, вспомогательное оборудование, посуда и реактивы
Атомно-эмиссионный спектрометр с индуктивно-связанной плазмой, обеспечивающий осевой и радиальный обзор плазмы и коррекцию фона, со спектральным диапазоном от 160 до 980 нм и пределом допустимой относительной погрешности не более +/- 5%.
Атомно-абсорбционный спектрометр со спектральным диапазоном от 190 до 900 нм и пределом допустимой относительной погрешности не более +/- 2%, с подогревом кварцевой кюветы или ячейки абсорбции ртути и, при необходимости, с амальгамационной системой.
Лампа с полым катодом.
Система парогенерации, состоящая из системы непрерывного потока или проточно-инжекционной системы, или генератор ртутно гидридный.
Стандартный образец состава раствора ионов ртути с аттестованным значением массовой концентрации 1,0 г/дм3 и границами допускаемых значений относительной погрешности аттестованного значения не более +/- 1%.
Примечание - Допускается использовать стандартные образцы состава раствора ионов ртути массовой концентрации 0,1 г/дм3, и границами допускаемых значений относительной погрешности аттестованного значения не более +/- 1%.
Весы электронные специального (I) класса точности по
ГОСТ OIML R 76-1 (Max = 210 г, e = 0,001 г).
Весы электронные высокого (II) класса точности по
ГОСТ OIML R 76-1 (Max = 2100 г, e = 0,001 г).
Термометр жидкостный лабораторный по
ГОСТ 28498 с диапазоном измерений температуры от 0 °C до 100 °C и абсолютной погрешностью +/- 1 °C.
Часы электронные по
ГОСТ 23350 или таймер любого типа по соответствующим нормативным документам.
Психрометр универсальный по соответствующим нормативным документам с диапазоном измерений относительной влажности до 80% и абсолютной погрешностью +/- 7%.
Барометр по соответствующим нормативным документам с диапазоном измерений от 810 гПа до 1050 гПа и абсолютной погрешностью измерений +/- 2 гПа.
Колбы мерные 2-1000-2, 2-100-2, 2-50-2 по
ГОСТ 1770.
Бюретка 1-2-25-0,05 или 1-2-10-0,05 по
ГОСТ 29251.
Пипетки 2-2-1, 2-2-2, 2-2-5, 2-2-10, 2-2-20, 2-2-50 по
ГОСТ 29169.
Цилиндры мерные 2-25-2, 2-50-2, 2-100-2, 2-250-2 по
ГОСТ 1770.
Стаканчик для взвешивания (бюкса) СВ-14/8 или СН-34/12 по
ГОСТ 25336.
Плитка электрическая лабораторная или бытовая по
ГОСТ 14919.
Вода для лабораторного анализа по
ГОСТ Р 52501, степень чистоты 2, или вода дистиллированная, дважды перегнанная (бидистиллят), готовят по
ГОСТ 4517.
Кислота азотная по
ГОСТ 4461, квалификации "х.ч.", или кислота азотная по
ГОСТ 11125, "ос. ч.", концентрированная (плотность

).
Кислота соляная по
ГОСТ 3118, квалификации "х.ч.", или кислота соляная по
ГОСТ 14261, "ос. ч.", концентрированная (плотность

).
Олово двухлористое.
Натрия боргидрид.
Аргон газообразный высокой чистоты.
Фильтры бумажные обеззоленные "синяя лента".
Примечание - При использовании в качестве реактивов опасных (едких, токсичных) веществ следует руководствоваться требованиями безопасности, изложенными в нормативных документах на эти реактивы.
А.2.3 Подготовка к анализу
А.2.3.1 Приготовление рабочего раствора 1, с массовой концентрацией ртути 0,01 г/дм3
Отбирают сухой пипеткой 1 см
3 стандартного образца состава ионов ртути массовой концентрации 1,0 г/дм
3, помещают в мерную колбу вместимостью 100 см
3, доливают до метки смешанным раствором кислоты
(А.1.3.1), перемешивают.
Раствор хранят в плотно закрытой стеклянной посуде в лабораторном помещении. Срок годности раствора - один месяц.
Полученный раствор используют для приготовления рабочего раствора 2 и испытуемых растворов с добавками известного количества определяемого элемента и градуировочных растворов.
А.2.3.2 Приготовление рабочего раствора 2 с массовой концентрацией ртути 200 мкг/дм3.
Отбирают пипеткой 2 см3 рабочего раствора 1, помещают в мерную колбу вместимостью 100 см3, доливают до метки смешанным раствором кислоты, перемешивают.
Используют свежеприготовленный раствор.
Полученный раствор используют для приготовления градуировочных растворов и испытуемых растворов с добавками известного количества определяемого элемента.
А.2.3.3 Приготовление раствора хлорида олова с массовой концентрацией 100 г/дм3
10 г хлорида олова (SnCl2·2H2O) растворяют при нагревании в 20 см3 соляной кислоты концентрированной. Количественно переносят в мерную колбу вместимостью 100 см3, доливают до метки дистиллированной водой, перемешивают.
Раствор хранят в плотно закрытой стеклянной посуде в лабораторном помещении.
Используют свежеприготовленный раствор.
А.2.3.4 Приготовление раствора натрия боргидрида с массовой концентрацией 2 г/дм3
1 г гранул гидроксида натрия растворяют в воде, добавляют 1 г боргидрида натрия и доводят объем раствора водой до 500 см3, перемешивают. При необходимости фильтруют перед использованием.
Раствор хранят в плотно закрытой стеклянной посуде в лабораторном помещении.
Используют свежеприготовленный раствор.
Когда процедура анализа занимает длительное время, раствор боргидрида натрия рекомендуется охлаждать, т.е. во время выполнения измерений методом "холодного пара", методом ААС или АЭС-ИСП вокруг колбы с раствором размещают лед.
ПРЕДУПРЕЖДЕНИЕ - Важно соблюдать инструкции по безопасности при работе с натрия боргидридом. Натрия боргидрид с кислотами образует водород и, как следствие, может привести к образованию взрывоопасной смеси воздуха/водорода. В месте проведения измерений должна быть предусмотрена вытяжная система.
А.2.3.5 Установление градуировочных характеристик для определения массовой доли ртути (внешняя градуировка)
Градуировочные растворы готовят разбавлением соответствующих рабочих растворов смешанным раствором кислоты.
Следует выбрать подходящий диапазон градуировочных растворов, охватывающих линейный диапазон градуировки.
В пять мерных колб вместимостью 100 см3 каждая вносят пипеткой градуировочные растворы ртути в соответствии со стандартом градуировки (0 мкг/дм3, 0,2 мкг/дм3; 1 мкг/дм3, 2 мкг/дм3, 5 мкг/дм3 и 10 мкг/дм3), доводят объемы растворов до метки смешанным раствором кислоты и перемешивают.
Одновременно с градуировочными растворами готовят "холостые" растворы, содержащие все растворы, кроме градуировочных.
А.2.3.6 Измерение массовой доли ртути методом ААС
Исследуемый раствор готовят в соответствии с
А.1.3.6.
Исследуемый и градуировочные растворы измеряют непосредственно с помощью ААС-спектрометра.
Измеряют поглощение излучения измеряемого элемента в аналитических условиях, приведенных в
таблице А.7. Для каждого градуировочного раствора выполняют не менее двух измерений и рассчитывают среднеарифметическое значение сигнала.
Таблица А.7
Стандартные параметры для определения ртути методом ААС
Параметр | Стандартные условия |
Температура ячейки поглощения, °C | от 20 до 100 |
Длина волны, нм | 253,7 |
Ширина/длина, нм | 0,7 |
Обработка сигнала | Высота сигнала или площадь сигнала |
Сглаживание сигнала, с | 0,5 |
Время интегрирования, с | 15 |
Рабочий диапазон, мкг/дм3 | от 0,2 до 10 |
Основные помехи | As, Cu |
Предел обнаружения, мкг/дм3 | 0,05 |
Исследуемый и градуировочные растворы измеряют непосредственно с помощью атомно-абсорбционного спектрометра с электрообогревом кварцевой кюветы или в предназначенной для поглощения ртути ячейке в сочетании с подходящей парогенерирующей (например, непрерывного потока или проточно-инжекционной) водород-системой.
Аппаратуру для парогенерации программируют таким образом, чтобы сначала пробоотборная петля заполнялась исследуемым или градуировочным раствором. Затем исследуемый или градуировочный раствор переносят на блок для смешивания со смешанным раствором кислоты и смешивают с раствором боргидрида натрия или раствором хлорида олова (II). Получившаяся смесь газ/жидкость отделяется аргоновым сепаратором. Аргоновый поток отсортировывает частицы ртути в кварцевую ячейку для измерения атомного поглощения ртути.
При необходимости амальгамационную систему можно использовать для увеличения чувствительности и для уменьшения матричных эффектов.
Градуировочные растворы измеряют первыми, затем измеряют "холостой" раствор, исследуемый раствор и, наконец, исследуемый раствор с добавками известного количества вещества.
Если концентрация исследуемого раствора находится за пределами линейного диапазона, следует разбавить исследуемый раствор смешанным раствором кислоты.
При проведении длительной серии измерений проверяют установку нуля и градуировку после измерения каждого десятого раствора.
А.2.3.7 Измерение массовой доли ртути методом ИСП-АЭС
Исследуемый раствор готовят в соответствии с
А.1.3.6.
Исследуемый и градуировочные растворы измеряют непосредственно методом ИСП-АЭС в сочетании с подходящей парогенерирующей системой (например, непрерывного потока или проточно-инжекционной водород-системой).
Оборудование для парогенерации программируют таким образом, чтобы сначала пробоотборная петля заполнялась исследуемым или градуировочным раствором. Затем исследуемый или градуировочный раствор переносят на блок для смешивания со смешанным раствором кислоты и смешивают с раствором борогидрида натрия или раствором хлорида олова (II). Получившуюся смесь газ/жидкость отделяют аргоновым сепаратором. Аргоновый поток отсортировывает частицы ртути в ИСП-АЭС для измерения атомной эмиссии ртути.
Измеряют интенсивность излучения измеряемого элемента в аналитических условиях, приведенных в
таблице А.8. Для каждого градуировочного раствора выполняют не менее двух измерений и рассчитывают среднеарифметическое значение сигнала.
Таблица А.8
Стандартные параметры для определения ртути методом ИСП-АЭС
Параметр | Стандартные условия |
Длина волны, нм | 253,65 |
Коррекция фона | Да |
Рабочий диапазон, мкг/дм3 | от 0,2 до 10 |
Основные помехи | As, Cu |
Предел обнаружения для осевого просмотра, мкг/дм3 | 0,05 |
Длины волн в
таблицах А.7 и
А.8 являются рекомендацией, которая должна быть проверена для каждого отдельного средства измерений с учетом производительности и рабочих параметров прибора. Это позволяет использовать другие эмиссионные линии, если валидация пригодности для анализа ртути в удобрениях была проведена.
Полученные данные интенсивности излучения в зависимости от массовой концентрации ртути с помощью программного обеспечения спектрометра обрабатывают методом наименьших квадратов, используя для аппроксимации уравнение вида Ai = a + b·ci. Вычисляют параметры уравнения (a; b) и коэффициент корреляции R2, значение которого должно быть не менее 0,99.
В качестве аналитического контроля образцы с известным содержанием ртути могут быть проанализированы параллельно со всеми пробами при условии, что пробы этих образцов проведены через все этапы данного метода анализа.
А.2.4 Расчет и выражение результатов
А.2.4.1 Внешняя градуировка
В случае, если линейный градуировочный график построен с использованием одного холостого и трех - пяти градуировочных растворов, характеристика может быть описана по формуле
Sst = cst·b + a, (А.12)
где Sst - значение выходного сигнала спектрометра при измерении градуировочного раствора, усл. ед;
cst - массовая концентрация раствора, мг/дм3;
b - угловой коэффициент градуировочной кривой;
a - свободный член линейной зависимости градуировочной кривой.
Вычисляют массовую концентрацию ртути cf, мг/дм3, в исследуемом растворе анализируемой пробы, используя значения b и a, по формуле

, (А.13)
где Sf - значение выходного сигнала спектрометра при анализе исследуемого раствора, усл. ед.
А.2.4.2 Коррекция для степени извлечения
Вычисляют массовую концентрацию ртути
cfs в испытуемой пробе с добавками известного количества вещества по
формуле (А.13). Затем вычисляют степень извлечения
Rs в процентах от массовой концентрации ртути в исследуемом растворе пробы
cf по формуле

(А.14)
где cfs - массовая концентрация ртути в исследуемой пробе с добавками известного количества вещества, мг/дм3;
cf - массовая концентрация ртути, вычисленная с помощью внешней градуировки, мг/дм3;
cs - массовая концентрация градуировочного раствора в мг/дм3;
Vs - объем градуировочного раствора, используемый для метода добавок, дм3;
Vfst - общий объем, используемый для приготовления исследуемого раствора с добавками известного количества вещества, дм3.
Корректируют массовую концентрацию ртути в фильтрате cf с учетом параметров внешней градуировки до параметров извлечения для получения скорректированной массовой концентрации определяемого элемента в фильтрате cf(R) по формуле

. (А.15)
А.2.4.3 Метод добавок
При использовании метода добавок используют методы регрессионного анализа для линейной модели переменной yi как функции переменной xi для определения массовой концентрации элемента. Эта модель указана в соответствии с формулой
yi = a + b·xi. (А.16)
В конкретном случае с тремя стандартными добавками:
yi = Si (для i = 0, 1, 2, 3) и (А.17)
xi = cs·Vi (для i = 0, 1, 2, 3), (А.18)
где cs - массовая концентрация градуировочного раствора в мг/дм3;
Vi - различные объемы (дм3) добавленного рабочего раствора;
Si - значение выходного сигнала спектрометра при анализе исследуемого раствора после введения различных объемов рабочего раствора, усл. ед.
Затем вычисляют значения b и a согласно следующим формулам

, (А.19)

, (А.20)
где n - количество измеренных растворов (n = 4 в случае с тремя добавлениями).
Вычисляют массовую концентрацию ртути cf, мг/дм3, в исследуемом растворе по формуле

, (А.21)
где Vf - объем фильтрата в пробе для испытания, используемый для приготовления исследуемого раствора, дм3.
А.2.4.4 Расчет содержания элемента в образце
Вычисляют массовую долю ртути wE, мг/кг, по формуле

, (А.22)
где
cf - массовая концентрация ртути в исследуемом растворе, как определено с помощью
формул (А.13),
(А.15) или
(А.21), в зависимости от выбора градуировки
cf(R) используют вместо
cf при введении в пробу известного количества вещества, мг/дм
3;
cbl - массовая концентрация холостого раствора, мг/дм3;
m - масса образца, отобранного для экстракции, кг;
Vt - общий объем фильтрата пробы для испытания, дм3.
Значения пределов повторяемости и воспроизводимости для ртути, оцененные на образцах удобрений, приведены в
таблице А.9.
Таблица А.9
Средние значения, пределы повторяемости
и воспроизводимости для ртути
Образец | Среднее значение  , мг/кг | Предел повторяемости r, мг/кг | Предел воспроизводимости R, мг/кг |
Тройной суперфосфат | 0,0252 | 0,0014 | 0,0184 |
Фосфорит | 0,0919 | 0,0021 | 0,0290 |
(справочное)
СТАТИСТИЧЕСКИЕ РЕЗУЛЬТАТЫ ОПРЕДЕЛЕНИЯ КАДМИЯ, ХРОМА (VI),
СВИНЦА, НИКЕЛЯ, МЫШЬЯКА И РТУТИ ДЛЯ УДОБРЕНИЙ
Метрологические характеристики были оценены в ходе межлабораторных испытаний, проведенных в 2009 году при анализе образцов минеральных удобрений и фосфорита. Результаты приведены в
таблицах Б.1 -
Б.6 <1>.
--------------------------------
<1> Справочные данные приведены согласно
[1] -
[4].
Таблица Б.1
Статистические результаты для кадмия
Параметр | Азофоска | Тройной суперфосфат | Фосфорит |
Количество лабораторий | 18 | 19 | 19 |
Количество лабораторий, оставшихся после исключения выбросов | 18 | 17 | 18 |
Количество выбросов (лаборатории) | 0 | 2 | 1 |
Среднее значение  , мг/кг | 5,33 | 16,9 | 13,6 |
Стандартное отклонение повторяемости sr, мг/кг | 0,20 | 0,6 | 0,5 |
Относительное стандартное отклонение повторяемости RSDr, % | 4 | 4 | 4 |
Предел повторяемости r [r = 2,8·sr], мг/кг | 0,55 | 1,7 | 1,4 |
Стандартное отклонение воспроизводимости sR, мг/кг | 0,49 | 2,7 | 1,9 |
Относительное стандартное отклонение воспроизводимости RSDR, % | 9 | 16 | 14 |
Предел воспроизводимости R [R = 2,8·sR], мг/кг | 1,36 | 7,5 | 5,5 |
Таблица Б.2
Статистические результаты хрома (VI)
Параметр | Азофоска |
Количество лабораторий | 9 |
Количество лабораторий, оставшихся после исключения выбросов | 9 |
Количество выбросов (лаборатории) | 0 |
Среднее значение  , мг/кг | 1,66 |
Стандартное отклонение повторяемости sr, мг/кг | 0,19 |
Относительное стандартное отклонение повторяемости RSDr, % | 11,28 |
Предел повторяемости r [r = 2,8·sr], мг/кг | 0,53 |
Стандартное отклонение воспроизводимости sR, мг/кг | 0,24 |
Относительное стандартное отклонение воспроизводимости RSDR, % | 14,73 |
Предел воспроизводимости R [R = 2,8·sR], мг/кг | 0,67 |
Таблица Б.3
Статистические результаты для никеля
Параметр | Азофоска | Тройной суперфосфат | Фосфорит |
Количество лабораторий | 19 | 19 | 19 |
Количество лабораторий, оставшихся после исключения выбросов | 19 | 17 | 16 |
Количество выбросов (лаборатории) | 0 | 2 | 3 |
Среднее значение  , мг/кг | 280 | 37,7 | 32,9 |
Стандартное отклонение повторяемости sr, мг/кг | 19 | 1,5 | 1,3 |
Относительное стандартное отклонение повторяемости RSDr, % | 7 | 4 | 4 |
Предел повторяемости r [r = 2,8·sr], (мг/кг) | 54 | 4,3 | 3,7 |
Стандартное отклонение воспроизводимости sR, мг/кг | 46 | 7,4 | 5,8 |
Относительное стандартное отклонение воспроизводимости RSDR, % | 17 | 20 | 18 |
Предел воспроизводимости R [R = 2,8·sR], мг/кг | 130 | 20,6 | 16,3 |
Таблица Б.4
Статистические результаты для свинца
Параметр | Тройной суперфосфат | Фосфорит |
Количество лабораторий | 14 | 17 |
Количество лабораторий, оставшихся после исключения выбросов | 14 | 17 |
Количество выбросов (лаборатории) | 0 | 0 |
Среднее значение  , мг/кг | 4,5 | 17,7 |
Стандартное отклонение повторяемости sr, мг/кг | 0,4 | 1,0 |
Относительное стандартное отклонение повторяемости RSDr, % | 8 | 6 |
Предел повторяемости r [r = 2,8·sr], мг/кг | 1,0 | 2,8 |
Стандартное отклонение воспроизводимости sR, мг/кг | 2,4 | 3,6 |
Относительное стандартное отклонение воспроизводимости RSDR, % | 53 | 21 |
Предел воспроизводимости R [R = 2,8·sR], мг/кг | 6,7 | 10,2 |
Таблица Б.5
Статистические результаты для мышьяка методом ИСП-АЭС
Параметр | Тройной суперфосфат | Фосфорит |
Год теста | 2010 | 2010 |
Количество лабораторий | 12 | 13 |
Количество лабораторий, оставшихся после исключения выбросов | 10 | 13 |
Количество выбросов (лаборатории) | 2 | 0 |
Среднее значение  , мг/кг | 17,9 | 6,0 |
Стандартное отклонение повторяемости sr, мг/кг | 0,9 | 0,7 |
Относительное стандартное отклонение повторяемости RSDr, % | 5,0 | 11,0 |
Предел повторяемости r [r = 2,8·sr], мг/кг | 2,6 | 1,9 |
Стандартное отклонение воспроизводимости sR, мг/кг | 3,0 | 1,5 |
Относительное стандартное отклонение воспроизводимости RSDR, % | 17,0 | 26,0 |
Предел воспроизводимости R [R = 2,8·sR], мг/кг | 8,5 | 4,3 |
Таблица Б.6
Статистические результаты для ртути
Параметр | Тройной суперфосфат | Фосфорит |
Количество лабораторий | 11 | 10 |
Количество лабораторий, оставшихся после исключения выбросов | 8 | 8 |
Количество выбросов (лаборатории) | 3 | 2 |
Среднее значение  , мг/кг | 0,025 2 | 0,091 9 |
Стандартное отклонение повторяемости sr, мг/кг | 0,000 5 | 0,000 7 |
Относительное стандартное отклонение повторяемости RSDr, % | 2 | 0,8 |
Предел повторяемости r [r = 2,8·sr], мг/кг | 0,001 4 | 0,002 1 |
Стандартное отклонение воспроизводимости sR, мг/кг | 0,006 6 | 0,010 3 |
Относительное стандартное отклонение воспроизводимости RSDR, % | 26 | 11,3 |
Предел воспроизводимости R [R = 2,8·sR], мг/кг | 0,018 4 | 0,029 0 |
(справочное)
ОПРЕДЕЛЕНИЕ ВОДОРАСТВОРИМОГО ХРОМА (VI)
ФОТОМЕТРИЧЕСКИМ МЕТОДОМ
В.1 Сущность метода
Метод измерений фотометрический, основанный на образовании окрашенного комплексного соединения хрома (VI) с 1,5-дифенилкарбазидом и последующим фотометрированием окрашенного раствора на длине волны 540 нм.
В.2 Средства измерений, вспомогательное оборудование, посуда и реактивы
Спектрофотометр или фотоколориметр со спектральным диапазоном от 315 до 990 нм, обеспечивающий измерение светопоглощения с абсолютной погрешностью не более +/- 1%.
Стандартный образец состава раствора ионов хрома (VI) с аттестованным значением массовой концентрации 1,0 г/дм3 и границами допускаемых значений относительной погрешности аттестованного значения не более +/- 1%.
Примечание - Допускается приготовление растворов ионов хрома (VI) массовой концентрации 1,0 г/дм
3 из реактивов по
ГОСТ 4212.
Весы электронные специального (I) класса точности по
ГОСТ OIML R 76-1 (Max = 210 г,
e = 0,001 г).
Весы электронные высокого (II) класса точности по
ГОСТ OIML R 76-1 (Max = 2100 г,
e = 0,001 г).
Термометр жидкостный лабораторный по
ГОСТ 28498 с диапазоном измерений температуры от 0 °C до 100 °C и абсолютной погрешностью +/- 1 °C.
Часы электронные по
ГОСТ 23350 или таймер любого типа по соответствующим нормативным документам.
Психрометр универсальный по соответствующим нормативным документам с диапазоном измерений относительной влажности до 80% и абсолютной погрешностью +/- 7%.
Барометр по соответствующим нормативным документам с диапазоном измерений от 810 гПа до 1050 гПа и абсолютной погрешностью измерений +/- 2 гПа.
Пипетки 2-2-1, 2-2-2, 2-2-5, 2-2-10, 2-2-20 по
ГОСТ 29169.
Цилиндры мерные 2-50-2, 2-100-2 по
ГОСТ 1770.
Стаканчик для взвешивания (бюкса) СВ-14/8 или СН-34/12 по
ГОСТ 25336.
Вода для лабораторного анализа по
ГОСТ Р 52501, степень чистоты 2, или вода дистиллированная, дважды перегнанная (бидистиллят), готовят по
ГОСТ 4517.
Кислота соляная по
ГОСТ 14261, "ос. ч.", концентрированная (плотность

).
Дифенилкарбазид.
Мембранные фильтры и установка вакуумной фильтрации. Фильтры должны быть изготовлены из нитрата целлюлозы с размером пор 5 мкм и подходящего для аппарата вакуумной фильтрации размера.
Механический встряхиватель.
Холодильник бытовой.
Емкости вместимостью 100 см3, изготовленные из полиэтилена или полипропилена, снабженные водонепроницаемыми крышками.
Фильтры бумажные обеззоленные "синяя лента".
Бумага индикаторная с диапазоном измерений от 0,3 до 2,2 pH.
При использовании в качестве реактивов опасных (едких, токсичных) веществ следует руководствоваться требованиями безопасности, изложенными в нормативных документах на эти реактивы.
В.3 Подготовка к анализу
В.3.1 Приготовление раствора дифенилкарбазида
Растворяют 1,0 г дифенилкарбазида [CO(NHNHC6H5)2] в 100 см3 ацетона, подкисленного одной каплей уксусной кислоты. Полученный раствор хранят в стеклянной посуде при температуре 4 °C в темном месте не более 14 суток.
Раствор должен быть прозрачным, окрашенный раствор не используют.
В.3.2 Приготовление исходного раствора с массовой концентрацией ионов хрома (VI) 1000 мг/дм3
Раствор готовят из реактивов по
ГОСТ 4212. Полученный раствор хранят при температуре 4 °C в темном месте в течение двух недель.
В.3.3 Приготовление раствора с массовой концентрацией ионов хрома (VI) 50 мг/дм3
5 см
3 раствора стандартного образца или раствора, приготовленного по
В.3.2, отбирают пипеткой и помещают в мерную колбу вместимостью 100 см
3. Доливают до метки бидистиллированной водой, перемешивают. Используют свежеприготовленный раствор.
В.3.4 Приготовление раствора соляной кислоты молярной концентрации 6 моль/дм3
В стакан или коническую колбу вносят цилиндром 100 см3 бидистиллированной воды, осторожно при перемешивании добавляют цилиндром 100 см3 концентрированной соляной кислоты. Полученный раствор охлаждают и перемешивают.
Раствор хранят в плотно закрытой стеклянной посуде в лабораторном помещении. Срок годности - три месяца.
В.3.5 Приготовление градуировочных растворов
В шесть мерных колб вместимостью 100 см
3 каждая с помощью микробюретки помещают аликвоты раствора с массовой концентрацией хрома (VI) 50 мг/дм
3 в соответствии с
таблицей В.1. Добавляют во все колбы примерно по 40 см
3 бидистиллированной воды. Затем добавляют 2 см
3 разбавленной соляной кислоты. Проверяют значение pH с помощью индикаторной бумаги. Значение pH градуировочных растворов должно быть в диапазоне от 1 до 2 ед. pH. При необходимости доведения до нужного значения pH добавляют раствор соляной кислоты.
Таблица В.1
Приготовление градуировочных растворов
Аликвота раствора хрома (VI) для приготовления градуировочных растворов, см3 | Массовая концентрация хрома, мг/дм3 |
0 | 0 (градуировочный холостой) |
0,05 | 0,025 |
0,20 | 0,10 |
0,50 | 0,25 |
1,00 | 0,50 |
1,50 | 0,75 |
Добавляют 2 см3 раствора дифенилкарбазида в каждую колбу и доводят до метки бидистиллированной водой, перемешивают. Выдерживают 15 мин и измеряют оптическую плотность раствора в кюветах с толщиной поглощающего свет слоя от 10 до 40 мм при длине волны 540 нм. Шкалу градуировочных растворов готовят в день использования.
В.4 Проведение анализа
Взвешивают примерно 10 г подготовленной в соответствии с
разделом 4 пробы удобрения, затем их переносят в коническую колбу. Добавляют 40 см
3 бидистиллированной воды. Если проба удобрения поглощает большое количество воды, добавляют дополнительную порцию воды для получения текучей суспензии. Количество дополнительной порции воды фиксируют. В подобных случаях может быть необходимо использование более крупных экстрактных сосудов. Плотно закрывают крышку и встряхивают на механической мешалке в течение 15 мин. Фильтруют суспензию через мембранные фильтры с размером пор 5 мкм, используя установку вакуумной фильтрации.
Отбирают пипеткой 20 см3 испытуемого раствора в мерную колбу вместимостью 100 см3, добавляют 30 см3 бидистиллированной воды, слегка перемешивают. Затем добавляют 2 см3 разбавленной соляной кислоты. Проверяют значение pH с помощью индикаторной бумаги. Значение pH анализируемого раствора должно быть в диапазоне от 1 до 2 ед. pH. При необходимости доведения до нужного значения pH добавляют раствор соляной кислоты.
Добавляют 2 см3 раствора дифенилкарбазида и доводят до метки бидистиллированной водой, перемешивают. Выдерживают 15 мин и измеряют оптическую плотность раствора на спектрофотометре в кюветах с толщиной поглощающего свет слоя от 10 до 40 мм при длине волны 540 нм. Если исследуемый раствор окрашен в желтый цвет, уменьшают аликвоту для снижения мешающих загрязнений. Содержание хрома определяют в день приготовления.
Одновременно с анализируемым раствором готовят "холостой" раствор, содержащий все реактивы, кроме анализируемого раствора, проведенный через все стадии анализа.
В.5 Расчет и выражение результатов
В.5.1 Градуировка
В случае линейной градуировочной кривой градуировочная функция может быть описана формулой
S = c·b + a, (В.1)
где S - значение выходного сигнала спектрофотометра при измерении градуировочного раствора, усл. ед;
c - массовая концентрация хрома (VI) в этом растворе, мг/дм3 или мкг/дм3;
b - угловой коэффициент линейной градуировочной функции;
a - свободный член линейной зависимости градуировочной кривой.
Рассчитывают массовую концентрацию аналита cf в фильтрате анализируемой пробы, используя значения b и a по формуле

, (В.2)
где Sf - значение выходного сигнала спектрофотометра при измерении исследуемого раствора, усл. ед.
В.5.2 Расчет содержания элемента в образце
Вычисляют массовую долю аналита wE, мг/кг, по формуле

, (В.3)
где
cf - массовая концентрация аналита в фильтрате пробы для испытания, как описано в
формуле (В.2), мг/дм
3;
cbl - массовая концентрация холостого раствора, мг/дм3;
m - масса пробы, отобранной на анализ, г;
Vt - общий объем воды, добавленной к навеске пробы для экстракции, дм3.
Значения предела повторяемости и предела воспроизводимости для хрома (VI), оцененные на образце удобрения, приведены в
таблице В.2.
Таблица В.2
Среднее значение, предел повторяемости
и воспроизводимости для хрома (VI)
Образец | Среднее значение  , мг/кг | Предел повторяемости r, мг/кг | Предел воспроизводимости R, мг/кг |
Азофоска | 1,65 | 0,53 | 0,67 |
(справочное)
ОПРЕДЕЛЕНИЕ МАССОВОЙ ДОЛИ МЕДИ И ЦИНКА
МЕТОДОМ АТОМНО-АБСОРБЦИОННОЙ СПЕКТРОМЕТРИИ
Г.1 Сущность метода
Метод основан на селективном поглощении резонансного излучения, испускаемого лампами с полым катодом при соответствующей длине волны атомами определяемого металла, образующимися при распылении испытуемого раствора в ацетилено-воздушном пламени. Медь и цинк извлекают из образца разложением в соляной кислоте.
Г.2 Средства измерений, вспомогательное оборудование, посуда и реактивы
Атомно-абсорбционный спектрометр со спектральным диапазоном от 190 до 900 нм и пределом допустимой относительной погрешности не более +/- 2%.
Лампы с полым катодом.
Стандартный образец состава раствора ионов меди с аттестованным значением массовой концентрации 1,0 г/дм3 и границами допускаемых значений относительной погрешности аттестованного значения не более +/- 1%.
Стандартный образец состава раствора ионов цинка с аттестованным значением массовой концентрации 1,0 г/дм3 и границами допускаемых значений относительной погрешности аттестованного значения не более +/- 1%.
Примечание - Допускается использовать стандартные образцы состава водного раствора ионов измеряемых элементов массовой концентрации 0,1 г/дм3 и границами допускаемых значений относительной погрешности аттестованного значения не более 1%.
Весы электронные специального (I) класса точности по
ГОСТ OIML R 76-1 (Max = 210 г,
e = 0,001 г).
Весы электронные высокого (II) класса точности по
ГОСТ OIML R 76-1 (Max = 2100 г,
e = 0,001 г).
Термометр жидкостный лабораторный по
ГОСТ 28498 с диапазоном измерений температуры от 0 °C до 100 °C и абсолютной погрешностью +/- 1 °C.
Часы электронные по
ГОСТ 23350 или таймер любого типа по соответствующим нормативным документам.
Психрометр универсальный по соответствующим нормативным документам с диапазоном измерений относительной влажности до 80% и абсолютной погрешностью +/- 7%.
Барометр по соответствующим нормативным документам с диапазоном измерений от 810 гПа до 1050 гПа и абсолютной погрешностью измерений +/- 2 гПа.
Колбы мерные 2-1000-2, 2-500-2; 2-250-22-100-2, 2-50-2 по
ГОСТ 1770.
Пипетки 2-2-1, 2-2-2, 2-2-5, 2-2-10, 2-2-20 по
ГОСТ 29169.
Цилиндры мерные 2-25-2, 2-50-2, 2-100-2, 2-250-2 по
ГОСТ 1770.
Стаканчик для взвешивания (бюкса) СВ-14/8 или СН-34/12 по
ГОСТ 25336.
Стекло часовое.
Плитка электрическая лабораторная или бытовая по
ГОСТ 14919.
Вода для лабораторного анализа по
ГОСТ Р 52501, степень чистоты 2, или вода дистиллированная, дважды перегнанная (бидистиллят), готовят по
ГОСТ 4517.
Кислота соляная по
ГОСТ 3118, квалификации "х.ч." или кислота соляная по
ГОСТ 14261, "ос. ч.", концентрированная (плотность

).
Оксид лантана или соли лантана - лантан хлорид гептагидрат, лантан нитрат гексагидрат, лантан сульфат нонагидрат.
Ацетилен.
Фильтры бумажные обеззоленные "синяя лента".
Примечание - При использовании в качестве реактивов опасных (едких, токсичных) веществ следует руководствоваться требованиями безопасности, изложенными в нормативных документах на эти реактивы.
Г.3 Подготовка к анализу
Г.3.1 Приготовление рабочего раствора цинка с массовой концентрацией 100 мг/см3
Отбирают сухой пипеткой 5 см3 стандартного образца состава раствора ионов цинка массовой концентрации 1,0 г/дм3, помещают в мерную колбу вместимостью 50 см3, доливают до метки раствором соляной кислоты концентрацией 0,5 моль/дм3 и тщательно перемешивают. Раствор хранят не более 3 месяцев.
Г.3.2 Приготовление рабочего раствора меди с массовой концентрацией 100 мг/см3
Отбирают сухой пипеткой 5 см3 стандартного образца состава раствора ионов меди массовой концентрации 1,0 г/дм3, помещают в мерную колбу вместимостью 50 см3, доливают до метки раствором соляной кислоты концентрацией 0,5 моль/дм3 и тщательно перемешивают. Раствор хранят не более 3 месяцев.
Примечание - Допускается приготовление растворов ионов измеряемых элементов с массовой концентрацией 1000 мг/дм
3 из реактивов по
ГОСТ 4212.
Г.3.3 Приготовление раствора соли лантана с массовой концентрацией лантана 10 г/дм3
Из оксида лантана:
Помещают 11,73 г оксида лантана (La2O3) в 150 см3 воды в мерную колбу вместимостью 1000 см3 и добавляют 120 см3 соляной кислоты молярной концентрации 6 моль/дм3. Перемешивают до полного растворения, доводят до метки бидистиллированной водой и еще раз перемешивают.
Из хлорида лантана гептагидрата (LaCl3·7 H2O):
26,7 г соли растворяют в 50 см3 воды в мерной колбе вместимостью 1000 см3 и добавляют 85 см3 соляной кислоты молярной концентрации 6 моль/дм3. Перемешивают до полного растворения, доводят до метки бидистиллированной водой и еще раз перемешивают.
Из нитрата лантана гексагидрата (La(NO3)3·6 H2O):
31,2 г соли растворяют в 150 см3 воды в мерной колбе вместимостью 1000 см3 и добавляют 85 см3 соляной кислоты молярной концентрации 6 моль/дм3. Перемешивают до полного растворения, доводят до метки бидистиллированной водой и еще раз перемешивают.
Из сульфата лантана нонагидрата (La2(SO4)3·9 H2O):
26,2 г соли растворяют в 150 см3 воды в мерной колбе вместимостью 1000 см3 и добавляют 85 см3 молярной соляной кислоты концентрации 6 моль/дм3. Перемешивают до полного растворения, доводят до метки бидистиллированной водой и еще раз перемешивают.
Г.3.4 Приготовление раствора соляной кислоты с молярной концентрацией 6 моль/дм3
В стакан или коническую колбу вносят цилиндром 100 см3 бидистиллированной воды, осторожно при перемешивании добавляют цилиндром 100 см3 концентрированной соляной кислоты. Полученный раствор охлаждают и перемешивают.
Раствор хранят в плотно закрытой стеклянной посуде в лабораторном помещении. Срок годности - три месяца.
Г.3.5 Приготовление раствора соляной кислоты с молярной концентрацией 0,5 моль/дм3
В мерную колбу вместимостью 1000 см3 помещают цилиндром 250 см3 бидистиллированной воды, осторожно при перемешивании добавляют цилиндром 45 см3 концентрированной соляной кислоты. Полученный раствор охлаждают, доливают до метки бидистиллированной водой и перемешивают.
Раствор хранят в плотно закрытой стеклянной посуде в лабораторном помещении. Срок годности - три месяца.
Г.3.6 Приготовление градуировочных растворов цинка для диапазона массовых концентраций от 0 до 10 мг/см3
Помещают 0, 0,2, 0,5, 1, 2, 3, 4, 5 и 10 см3 рабочего раствора цинка, что соответствует 0, 0,2, 0,5, 1, 2, 3, 4, 5 и 10 мг/см3, в мерные колбы вместимостью 100 см3 каждая. В каждую колбу добавляют 10 см3 раствора соли лантана, доливают до метки раствором соляной кислоты молярной концентрации 0,5 моль/дм3 и тщательно перемешивают.
Г.3.7 Приготовление градуировочных растворов меди для диапазона массовых концентраций от 0 до 10 мг/см3
Помещают 0, 0,2, 0,5, 1, 2, 3, 4, 5 и 10 см3 рабочего раствора меди, что соответствует 0, 0,2, 0,5, 1, 2, 3, 4, 5 и 10 мг/см3 в мерные колбы вместимостью 100 см3 каждая. В каждую колбу добавляют 10 см3 раствора соли лантана, доливают до метки раствором соляной кислоты молярной концентрацией 0,5 моль/дм3 и тщательно перемешивают.
В качестве фонового раствора используют раствор соляной кислоты с молярной концентрацией 0,5 моль/дм3.
Г.3.8 Установление градуировочных характеристик
Атомно-абсорбционный спектрометр готовят к измерениям в соответствии с руководством по эксплуатации спектрометра.
Измеряют поглощение излучения измеряемого элемента в аналитических условиях, приведенных в
таблице Г.1. Для каждого градуировочного раствора выполняют не менее двух измерений и рассчитывают среднеарифметическое значение сигнала.
Таблица Г.1
Стандартные параметры для определения
цинка и меди методом ААС
Параметр | Стандартные условия |
Цинк | Медь |
Длина волны, нм | 213,8 | 324,8 |
Ширина/длина, мм | 0,5 | 0,5 |
Сглаживание сигнала, с | 0,5 | 0,5 |
Время интегрирования, с | 15 | 15 |
Рабочий диапазон, мг/дм3 | от 0,2 до 10 | - |
Основные помехи | As, Cu |
Предел обнаружения, мкг/дм3 | 0,05 |
Исследуемый и градуировочные растворы измеряют непосредственно с помощью атомно-абсорбционного спектрометра.
Г.4 Проведение анализа
Г.4.1 Приготовление анализируемого раствора
Взвешивают навеску удобрения от 2 до 10 г в зависимости от содержания анализируемого компонента в соответствии с
таблицей Г.2. Результат взвешивания записывают до четвертого десятичного знака.
Таблица Г.2
Соотношение навески удобрения, отобранного на анализ,
и объема мерной колбы для приготовления раствора
Заявленное количество микронутриента в удобрении, % | < 0,01 | 0,01 - < 5 | >= 5 - 10 |
Навеска удобрения, отобранная на анализ, г | 10 | 5 | 2 |
Вес элемента в образце, мг | 1 | 0,5 - 250 | 100 - 200 |
Объем мерной колбы, см3 | 250 | 500 | 500 |
Массовая концентрация элемента в экстракте, мг/дм3 | 4 | 1 - 500 | 200 - 400 |
Навеску помещают в стакан для разложения при помощи небольшого количества воды, осторожно, небольшими порциями, добавляют цилиндром по 10 см
3 соляной кислоты с молярной концентрацией 6 моль/дм
3 на грамм удобрения, затем добавляют около 50 см
3 бидистиллированной воды. Накрывают лабораторный стакан часовым стеклом, доводят до кипения на нагревательной плите и кипятят в течение 30 мин. Охлаждают до комнатной температуры, периодически помешивая. Количественно переносят в мерную колбу вместимостью 250 см
3 или 500 см
3 (см.
таблицу Г.2), доливают до метки бидистиллированной водой и тщательно перемешивают. Экстракт должен быть идеально прозрачен. При необходимости фильтруют через фильтр "синяя лента" в сухой контейнер, отбрасывая первую порцию фильтрата.
Одновременно с анализируемым готовят "холостой" раствор, содержащий все реактивы, за исключением анализируемого удобрения, проведенный через все стадии анализа.
Г.4.2 Проведение измерений
Устанавливают в турель лампу с полым катодом, соответствующую анализируемому элементу. Градуировочные растворы измеряют первыми относительно фонового раствора. Затем измеряют "холостой" раствор и исследуемые растворы. При проведении длительной серии измерений проверяют установку нуля и градуировку после измерения каждого десятого раствора.
Г.5 Расчет и выражение результатов
С помощью программного обеспечения ААС-спектрометра вычисляют значения b (углового коэффициента линейной градуировочной функции) и a свободного члена линейной зависимости градуировочной кривой), затем по уравнению регрессии вычисляют массовую концентрацию определяемого элемента X (цинка или меди) в анализируемом растворе по формуле

,
где X - массовая доля анализируемого элемента, мг/кг;
C - массовая концентрация анализируемого элемента в растворе, вычисленная по уравнению регрессии, мг/см3;
C0 - массовая концентрация анализируемого элемента в "холостом" растворе, мг/см3;
V - объем мерной колбы для приготовления исследуемого раствора, см3;
D - коэффициент разведения, если использовали разведение анализируемого раствора;
m - масса навески удобрения, отобранная для анализа, г.
| BS EN 16317:2013 | Удобрения и известковые материалы. Определение мышьяка методом атомно-эмиссионной спектрометрии с индуктивно-связанной плазмой (АЭС-ИСП) после растворения в "царской водке" |
[2] | BS EN 16319:2013+A1:2015 | Удобрения и известковые материалы. Определение кадмия, хрома, свинца и никеля методом атомно-эмиссионной спектрометрии с индуктивно-связанной плазмой (АЭС-ИСП) после растворения в "царской водке" |
[3] | BS EN 16320:2013 | Удобрения и известковые материалы. Определение ртути по выделению паров после растворения в "царской водке" |
| BS EN 16318+A1:2016 | Удобрения и известковые материалы. Определение хрома (VI) с помощью фотометрии (метод A) и с помощью ионной хроматографии со спектрофотометрическим обнаружением (метод B) |
| МИ N 1104-00209438-71-05 Методика измерений массовой доли свинца и кадмия в фосфорсодержащих минеральных удобрениях и кормовых фосфатах атомно-абсорбционным методом ФР.1.31.2017.27458 |
[6] | МИ N 234-2014 Методика измерений массовых долей свинца и кадмия в фосфорсодержащих минеральных удобрениях и кормовых фосфатах методом атомно-эмиссионной спектроскопии с индуктивно-связанной плазмой, ФР.1.31.2014.18347 |
[7] | МИ N 1104-00209438-135-2011 Методика измерений массовой доли свинца и кадмия в фосфорсодержащих минеральных удобрениях инверсионно-вольт-амперометрическим методом, ФР.1.31.2011.10824 |
| МКХА N 1104-00209438-69-05 Методика количественного химического анализа. Определение массовой доли мышьяка в фосфорсодержащих минеральных удобрениях и кормовых фосфатах фотоколориметрическим методом, ФР.1.31.2006.02582 |
| МИ N 1104-00209438-70-05 Методика измерений массовой доли ртути в фосфорсодержащих минеральных удобрениях и кормовых фосфатах атомно-абсорбционным методом ФР.1.31.2018.30420 |
УДК 631.871:006.354 | | |
Ключевые слова: минеральные удобрения, методы определения, тяжелые металлы, продукция с улучшенными характеристиками |