Главная // Актуальные документы // ГОСТ Р (Государственный стандарт)СПРАВКА
Источник публикации
М.: Стандартинформ, 2019
Примечание к документу
Документ
введен в действие с 01.05.2020.
Название документа
"ГОСТ Р 58575-2019. Национальный стандарт Российской Федерации. Охрана природы. Гидросфера. Качество воды. Методика разрешения конфликтов в спорных (арбитражных) ситуациях"
(утв. и введен в действие Приказом Росстандарта от 03.10.2019 N 870-ст)
"ГОСТ Р 58575-2019. Национальный стандарт Российской Федерации. Охрана природы. Гидросфера. Качество воды. Методика разрешения конфликтов в спорных (арбитражных) ситуациях"
(утв. и введен в действие Приказом Росстандарта от 03.10.2019 N 870-ст)
Утвержден и введен в действие
агентства по техническому
регулированию и метрологии
от 3 октября 2019 г. N 870-ст
НАЦИОНАЛЬНЫЙ СТАНДАРТ РОССИЙСКОЙ ФЕДЕРАЦИИ
ОХРАНА ПРИРОДЫ
ГИДРОСФЕРА. КАЧЕСТВО ВОДЫ
МЕТОДИКА РАЗРЕШЕНИЯ КОНФЛИКТОВ
В СПОРНЫХ (АРБИТРАЖНЫХ) СИТУАЦИЯХ
The nature conservancy. Hydrosphere. Water quality.
The procedure of conflict resolution
in disputable (arbitration) situations
ГОСТ Р 58575-2019
Дата введения
1 мая 2020 года
1 РАЗРАБОТАН Федеральным государственным учреждением науки "Институт водных проблем" Российской академии наук (ИВП РАН)
2 ВНЕСЕН Техническим комитетом по стандартизации ТК 343 "Качество воды"
3 УТВЕРЖДЕН И ВВЕДЕН В ДЕЙСТВИЕ
Приказом Федерального агентства по техническому регулированию и метрологии от 3 октября 2019 г. N 870-ст
4 ВВЕДЕН ВПЕРВЫЕ
Правила применения настоящего стандарта установлены в статье 26 Федерального закона от 29 июня 2015 г. N 162-ФЗ "О стандартизации в Российской Федерации". Информация об изменениях к настоящему стандарту публикуется в ежегодном (по состоянию на 1 января текущего года) информационном указателе "Национальные стандарты", а официальный текст изменений и поправок - в ежемесячном информационном указателе "Национальные стандарты". В случае пересмотра (замены) или отмены настоящего стандарта соответствующее уведомление будет опубликовано в ближайшем выпуске ежемесячного информационного указателя "Национальные стандарты". Соответствующая информация, уведомление и тексты размещаются также в информационной системе общего пользования - на официальном сайте Федерального агентства по техническому регулированию и метрологии в сети Интернет (www.gost.ru)
1.1 Настоящий стандарт устанавливает правила разрешения арбитражных ситуаций, возникающих между поставщиками и потребителями воды установленного качества, а также между водопользователями и контролирующими органами.
1.2 Настоящий стандарт предназначен для выполнения надлежащего контроля качества природных, сточных и других вод.
В настоящем стандарте использованы нормативные ссылки на следующие стандарты:
ГОСТ 18165 Вода. Методы определения содержания алюминия
ГОСТ Р 57165 (ИСО 11885:2007) Вода. Определение содержания элементов методом атомно-эмиссионной спектрометрии с индуктивно связанной плазмой
ГОСТ Р ИСО 5725-6 Точность (правильность и прецизионность) методов и результатов измерений. Часть 6. Использование значений точности на практике
Примечание - При пользовании настоящим стандартом целесообразно проверить действие ссылочных стандартов в информационной системе общего пользования - на официальном сайте Федерального агентства по техническому регулированию и метрологии в сети Интернет или по ежегодному информационному указателю "Национальные стандарты", который опубликован по состоянию на 1 января текущего года, и по выпускам ежемесячного информационного указателя "Национальные стандарты" за текущий год. Если заменен ссылочный стандарт, на который дана недатированная ссылка, то рекомендуется использовать действующую версию этого стандарта с учетом всех внесенных в данную версию изменений. Если заменен ссылочный стандарт, на который дана датированная ссылка, то рекомендуется использовать версию этого стандарта с указанным выше годом утверждения (принятия). Если после утверждения настоящего стандарта в ссылочный стандарт, на который дана датированная ссылка, внесено изменение, затрагивающее положение, на которое дана ссылка, то это положение рекомендуется применять без учета данного изменения. Если ссылочный стандарт отменен без замены, то положение, в котором дана ссылка на него, рекомендуется применять в части, не затрагивающей эту ссылку.
В настоящем стандарте применены термины в соответствии с
[1] и
[2], а также следующие термины с соответствующими определениями:
3.1
воспроизводимость: Прецизионность в условиях воспроизводимости. |
3.2
загрязняющее воду вещество: Вещество в воде, вызывающее нарушение норм качества воды. |
3.3
качество воды: Характеристика состава и свойств воды, определяющая пригодность ее для конкретных видов водопользования. |
3.4
контроль качества воды: Проверка соответствия показателей качества воды установленным нормам и требованиям. |
3.5
метрологическая совместимость (результатов измерений): Свойство множества результатов измерений для определенной измеряемой величины, при котором абсолютное значение разности любой пары измеренных значений величины, полученное из двух различных результатов измерений, меньше, чем некоторое выбранное кратное стандартной неопределенности измерений этой разности. |
3.6
оценка соответствия: Систематическая оценка соответствия продукции, процесса или услуги установленным требованиям посредством испытаний. |
3.7
предел воспроизводимости: Значение, которое с доверительной вероятностью 95% не превышается абсолютной величиной разности между результатами двух измерений (или испытаний), полученными в условиях воспроизводимости. |
3.8
предельно допустимая концентрация веществ в воде; ПДК: Концентрация веществ в воде, выше которой вода непригодна для одного или нескольких видов водопользования. |
3.9
прецизионность: Степень близости друг к другу независимых результатов измерений, полученных в конкретных регламентированных условиях. |
3.10
погрешность (результата измерения): Разность между измеренным значением величины и опорным значением величины. |
3.11
результат измерений: Значение характеристики, полученное выполнением регламентированного метода измерений. |
3.12
систематическая погрешность лаборатории при реализации конкретного метода измерений (конкретной МВИ): Разность между математическим ожиданием результатов измерений (или результатов испытаний) в отдельной лаборатории и истинным (или в его отсутствие - принятым опорным) значением измеряемой характеристики. |
3.13
условия воспроизводимости: Условия, при которых результаты измерений (или испытаний) получают одним и тем же методом, на идентичных объектах испытаний, в разных лабораториях, разными операторами, с использованием различного оборудования. |
4.1 При вынесении результата арбитражного контроля о соответствии или о несоответствии состава и свойств воды установленным требованиям на основании лабораторно-аналитических исследований необходимо принимать во внимание погрешность (расширенную неопределенность) результатов измерений
[1].
4.2 Измерения должны быть выполнены по аттестованным методикам с установленными показателями точности (характеристиками погрешности)
[1] -
[4].
4.3 Испытательные лаборатории, выполняющие измерения, должны соответствовать следующим обязательным требованиям:
- лаборатории должны быть аккредитованы;
- результаты измерений должны быть представлены с указанием границ погрешности (расширенной неопределенности) при заданной доверительной вероятности P.
Примечание - В настоящем стандарте использовано общепринятое значение P = 0,95.
5 Разрешение арбитражных ситуаций по результатам единичных измерений
5.1 Разрешение арбитражных ситуаций при совместимости результатов измерений
5.1.1 При соблюдении условий
4.2 и
4.3 результаты измерений концентрации загрязняющего воду вещества
C1 и
C2, полученные соответственно лабораториями 1 и 2 двух сторон судебного процесса, признаются равносильными.
5.1.2 Для выяснения совместимости представленных сторонами результатов проводят процедуру их сличения.
Результаты считаются совместимыми по
ГОСТ Р ИСО 5725-6 в том случае, если абсолютное значение расхождения между ними не превышает предела воспроизводимости

(1)

(2)
где R - относительное значение искомой величины, устанавливаемое в аттестованных методиках измерений с доверительной вероятностью P = 0,95;

- среднее значение концентрации загрязняющего воду вещества;

- предел воспроизводимости.
5.1.3 При условии совместимости результатов в качестве наиболее правдоподобного результата измерений принимают среднее значение контролируемого показателя

.
Пример разрешения арбитражных ситуаций при совместимости результатов единичных измерений представлен в
приложении А.
Объем проб должен быть достаточным для получения результатов измерений в каждой из двух лабораторий, а также предусматривать возможность проведения измерений в третьей (независимой) лаборатории для разрешения противоречий в случае возникновения арбитражной ситуации.
Пример разрешения арбитражных ситуаций при несовместимости результатов измерений представлен в
приложении Б.
6 Разрешение арбитражных ситуаций при наличии нескольких (выборочных) результатов измерений
6.1 Уровень надежности результатов измерений определяют по уровням погрешности (расширенной неопределенности) измерений

и

и вычисляют по следующим формулам:

(3)

(4)
где

и

- значения границ относительной погрешности измерений, устанавливаемые в методиках измерений, соответственно для лабораторий 1 и 2;

- среднеарифметическое значение, полученное лабораторией 1 по результатам измерений;

- среднеарифметическое значение, полученное лабораторией 2 по результатам измерений;
n1 - количество измерений лаборатории 1;
n2 - количество измерений лаборатории 2.
6.2 При других равных условиях статистическая значимость результатов, характеризующая уровень надежности измерений лаборатории 1 и лаборатории 2, определяют соответствующими весовыми коэффициентами

и

и вычисляют по следующим формулам:

(5)

(6)

(7)
Примечание - Весовые коэффициенты получены исходя из условия, что наиболее правдоподобным результатом совместного измерения двумя лабораториями концентрации загрязняющего вещества является минимальность дисперсии средневзвешенного значения, вычисляемая по формуле

(8)
где

- дисперсия средневзвешенного значения результатов измерений лаборатории 1;

- дисперсия средневзвешенного значения результатов измерений лаборатории 2.
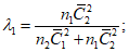
6.3 В общераспространенном частном случае, когда

, весовые коэффициенты вычисляют соответственно по следующим формулам:

(9)

(10)
В этом случае корректное арбитражное (наиболее правдоподобное, средневзвешенное) значение концентрации загрязняющего вещества

вычисляют по формуле

(11)
Пример разрешения арбитражных ситуаций при наличии нескольких (выборочных) результатов измерений представлен в
приложении В.
(справочное)
ПРИМЕР РАЗРЕШЕНИЯ АРБИТРАЖНЫХ СИТУАЦИЙ ПРИ СОВМЕСТИМОСТИ
РЕЗУЛЬТАТОВ ЕДИНИЧНЫХ ИЗМЕРЕНИЙ
А.1 В результате измерения концентрации алюминия по
ГОСТ 18165 в природной воде, загрязненной стоками, лаборатория 1 государственного водного контроля получила значение
C1 = 0,045 мг/дм
3, а лаборатория 2 предприятия, осуществляющего водоотведение, - значение
C2 = 0,038 мг/дм
3. Так как ПДК алюминия в природной воде по
[5] составляет 0,04 мг/дм
3, то орган государственного контроля обнаружил несоответствие воды установленным требованиям (вследствие отведения предприятием избыточно загрязненной воды), а водопользователь - ее соответствие.
А.2 Необходимо сформировать арбитражное решение с учетом того, что обе лаборатории аккредитованы и использовали единую аттестованную методику, поэтому полученные результаты измерений равноценные.
Решение
По
ГОСТ 18165 относительное значение предела воспроизводимости
R = 56%. Поэтому в данном случае расхождение результатов |
C1 -
C2| = 0,007 мг/дм
3 менее

. Следовательно, полученные результаты измерений совместимы, и арбитраж в качестве окончательного результата принимает среднее значение

. Эта величина более ПДК, и содержание алюминия в воде признано сверхнормативным. Данное арбитражное решение подтверждает заключение лаборатории государственного контроля.
(справочное)
ПРИМЕР РАЗРЕШЕНИЯ АРБИТРАЖНЫХ СИТУАЦИЙ ПРИ НЕСОВМЕСТИМОСТИ
РЕЗУЛЬТАТОВ ЕДИНИЧНЫХ ИЗМЕРЕНИЙ
Б.1 Лаборатория 1 поставщика питьевой воды получила результат измерения концентрации меди в воде
C1 = 0,70 мг/дм
3, а лаборатория 2 водопользователя -
C2 = 1,10 мг/дм
3. Обе лаборатории выполняли определения по
ГОСТ Р 57165. Требуется установить пригодность питьевой воды для использования, учитывая, что ПДК содержания в ней меди по
[4] составляет 1,0 мг/дм
3.
Б.2 Решение
Часть 1 Расхождение между результатами измерений двух лабораторий составляет 0,40 мг/дм
3, а предел воспроизводимости по
ГОСТ Р 57165 в этом случае составляет 21%. Таким образом,

. Следовательно, результаты измерений несовместимы, арбитражное решение приниматься не может, и по
5.1.2 необходимо воспользоваться обменом пробами. При обмене пробами может быть реализована одна из ситуаций, перечисленных в частях 2 -
4 данного решения.
Часть 2 Расхождение результатов измерений в пределах каждой из лабораторий не превышает предела промежуточной прецизионности. В этом случае можно говорить об отсутствии значимого расхождения результатов измерений в пределах лаборатории и о наличии такого расхождения между лабораториями. Для того чтобы убедиться в правильности результатов измерений, получаемых в каждой лаборатории, необходимо либо использование стандартных образцов, либо обращение в третью независимую лабораторию.
Часть 3 В одной из лабораторий расхождение между результатами измерений превысило значение предела промежуточной прецизионности. В этом случае явное преимущество на стороне той лаборатории, в которой отсутствует значимое расхождение между результатами измерений.
Часть 4 Расхождение результатов измерений в пределах каждой из лабораторий превышает предел промежуточной прецизионности. В данном случае можно говорить о наличии систематического смещения результатов, которое может быть вызвано различием в исходных анализируемых пробах. Для проверки этого предположения целесообразно обратиться в независимую лабораторию.
(справочное)
ПРИМЕР РАЗРЕШЕНИЯ АРБИТРАЖНЫХ СИТУАЦИЙ С УЧЕТОМ ОШИБОК
ВЫБОРОЧНЫХ ИЗМЕРЕНИЙ
В.1 Лаборатория 1 водопользователя обнаружила превышение концентрации меди в питьевой воде, подготовленной предприятием-поставщиком, и предъявила ему претензию. Последний не согласился с выводами водопользователя и представил результаты измерений производственной лаборатории 2, в том числе пробы, полученные при совместном отборе проб представителями двух лабораторий. Обе лаборатории проводили определения по
ГОСТ Р 57165. Требуется выполнить экспертизу и разрешить арбитражную ситуацию, используя результаты, приведенные в таблицах В.1 и
В.2. ПДК содержания меди в питьевой воде по
[6] составляет 1,0 мг/дм
3.
Таблица В.1
Результаты ежеквартальных измерений концентрации меди
в питьевой воде, полученные при параллельном отборе проб
Лаборатория | Концентрация, мг/дм3 |
1 квартал | 2 квартал | 3 квартал | 4 квартал | Среднее значение  |
1 | 1,25 | 1,23 | 0,99 | 1,08 | 1,14 |
2 | 1,02 | 0,93 | 0,84 | 0,91 | 0,92 |
Таблица В.2
Результаты дополнительных измерений концентрации меди
в питьевой воде, проведенных лабораторией 2
N измерений | 1 | 2 | 3 | 4 | 5 | 6 | 7 | 8 | Среднее значение  |
Концентрация, мг/дм3 | 1,03 | 0,83 | 0,93 | 1,04 | 0,78 | 0,86 | 1,02 | 0,85 | 0,92 |
В.2 Решение
Часть 1 Результаты измерений, выполненные по одной методике, оказались различными: по измерениям лаборатории 1 концентрация меди

превышает ПДК

, по измерениям лаборатории 2 концентрация меди

менее ПДК

.
При этом очевидно, что расхождение между результатами не превышает абсолютного значения предела воспроизводимости для меди по
ГОСТ Р 57165, значение которого равно 21% в диапазоне концентраций 0,5 - 50 мг/дм
3. Например, для результатов за 1-й квартал
(таблица В.1) это расхождение |
C1 -
C2| = 0,23 мг/дм
3, а абсолютное значение предела воспроизводимости

, т.е. расхождение результатов измерений лабораторий менее предела воспроизводимости методики. Поэтому результаты двух лабораторий совместимы и могут быть объединены, а в качестве истинного значения концентрации принята средняя величина

:

. Таким образом, значение

более ПДК, и нарушение установленных требований подтверждается. Этот вывод также не изменяют результаты дополнительных измерений концентрации меди, которые лаборатория 2 выполняла в промежутках между совместными измерениями с лабораторией 1, так как значение концентрации

, приведенное в
таблицах В.1 и
В.2, одинаково и составляет 0,92 мг/дм
3.
Предприятие - поставщик питьевой воды не согласилось с выводом первой экспертизы и настояло на необходимости повторной экспертизы с учетом повышенной репрезентативности результатов, представленных его лабораторией.
Часть 2 Установлено (
таблицы В.1 и
В.2), что за рассматриваемый период (год) лаборатория 1 государственного контроля выполняла измерения концентрации меди в питьевой воде ежеквартально (
n1 = 4), а производственная лаборатория 2 - ежемесячно
(n2 = 12). Поэтому в данном случае весовые коэффициенты, рассчитанные по
формулам (9) и
(10), различны и равны:

,

.
Следовательно, наиболее правдоподобным является средневзвешенное значение концентрации меди в воде
[формула (11)]:

.
Таким образом, арбитраж приходит к выводу о том, что подготовленная питьевая вода удовлетворяет установленным требованиям по содержанию в ней меди.
| Федеральный закон от 26 июня 2008 г. N 102-ФЗ "Об обеспечении единства измерений". Принят Государственной Думой 11 июня 2008 г. |
| Водный кодекс Российской Федерации от 3 июня 2006 г. N 74-ФЗ. Принят Государственной Думой 12 апреля 2006 г. |
| | Государственная система обеспечения единства измерений. Метрология. Основные термины и определения |
| | Рекомендация. Государственная система обеспечения единства измерений. Метрологические критерии оценки соответствия качества объекта сертификации нормативным требованиям |
| Приказ Министерства сельского хозяйства Российской Федерации от 13 декабря 2016 г. N 552 "Об утверждении нормативов качества воды водных объектов рыбохозяйственного значения, в том числе нормативов предельно допустимых концентраций вредных веществ в водах водных объектов рыбохозяйственного значения" |
| | Питьевая вода. Гигиенические требования к качеству воды централизованных систем питьевого водоснабжения. Контроль качества. Гигиенические требования к обеспечению безопасности систем горячего водоснабжения |
УДК 658.562 | |
Ключевые слова: Совместимость результатов измерений, предел промежуточной прецизионности, средневзвешенное значение концентрации, предел воспроизводимости |