Главная // Актуальные документы // ГОСТ Р (Государственный стандарт)СПРАВКА
Источник публикации
М.: ФГБУ "РСТ", 2022
Примечание к документу
Документ
введен в действие с 01.03.2022.
Название документа
"ГОСТ Р 59983-2022. Национальный стандарт Российской Федерации. Дороги автомобильные общего пользования. Сооружения противоналедные. Правила проектирования"
(утв. и введен в действие Приказом Росстандарта от 18.01.2022 N 12-ст)
"ГОСТ Р 59983-2022. Национальный стандарт Российской Федерации. Дороги автомобильные общего пользования. Сооружения противоналедные. Правила проектирования"
(утв. и введен в действие Приказом Росстандарта от 18.01.2022 N 12-ст)
Утвержден и введен в действие
агентства по техническому
регулированию и метрологии
от 18 января 2022 г. N 12-ст
НАЦИОНАЛЬНЫЙ СТАНДАРТ РОССИЙСКОЙ ФЕДЕРАЦИИ
ДОРОГИ АВТОМОБИЛЬНЫЕ ОБЩЕГО ПОЛЬЗОВАНИЯ
СООРУЖЕНИЯ ПРОТИВОНАЛЕДНЫЕ
ПРАВИЛА ПРОЕКТИРОВАНИЯ
Automobile roads of general use.
Anti-ice structures. Design rules
ГОСТ Р 59983-2022
Дата введения
1 марта 2022 года
1 РАЗРАБОТАН Обществом с ограниченной ответственностью "ГЕО-ПРОЕКТ" (ООО "ГЕО-ПРОЕКТ")
2 ВНЕСЕН Техническим комитетом по стандартизации ТК 418 "Дорожное хозяйство"
3 УТВЕРЖДЕН И ВВЕДЕН В ДЕЙСТВИЕ
Приказом Федерального агентства по техническому регулированию и метрологии от 18 января 2022 г. N 12-ст
4 ВВЕДЕН ВПЕРВЫЕ
Правила применения настоящего стандарта установлены в статье 26 Федерального закона от 29 июня 2015 г. N 162-ФЗ "О стандартизации в Российской Федерации". Информация об изменениях к настоящему стандарту публикуется в ежегодном (по состоянию на 1 января текущего года) информационном указателе "Национальные стандарты", а официальный текст изменений и поправок - в ежемесячном информационном указателе "Национальные стандарты". В случае пересмотра (замены) или отмены настоящего стандарта соответствующее уведомление будет опубликовано в ближайшем выпуске ежемесячного информационного указателя "Национальные стандарты". Соответствующая информация, уведомление и тексты размещаются также в информационной системе общего пользования - на официальном сайте Федерального агентства по техническому регулированию и метрологии в сети Интернет (www.rst.gov.ru)
Настоящий стандарт распространяется на проектируемые противоналедные сооружения на автомобильных дорогах общего пользования, предназначенные для обеспечения их сохранности, непрерывного функционирования и повышения безопасности дорожного движения.
Настоящий стандарт устанавливает правила проектирования противоналедных сооружений на автомобильных дорогах общего пользования в местах негативного влияния наледей на автомобильную дорогу и дорожные сооружения на ней.
В настоящем стандарте использованы нормативные ссылки на следующие документы:
ГОСТ 17.1.3.13 Охрана природы. Гидросфера. Общие требования к охране поверхностных вод от загрязнения
ГОСТ 27751 Надежность строительных конструкций и оснований. Основные положения
ГОСТ 32836 Дороги автомобильные общего пользования. Изыскания автомобильных дорог. Общие требования
ГОСТ 32847 Дороги автомобильные общего пользования. Требования к проведению экологических изысканий
ГОСТ 32868 Дороги автомобильные общего пользования. Требования к проведению инженерно-геологических изысканий
ГОСТ 32869 Дороги автомобильные общего пользования. Требования к проведению топографо-геодезических изысканий
ГОСТ 32955 Дороги автомобильные общего пользования. Лотки дорожные водоотводные. Технические требования
ГОСТ 33068 Материалы геосинтетические для дренажных систем. Общие технические требования
ГОСТ 33100 Дороги автомобильные общего пользования. Правила проектирования автомобильных дорог
ГОСТ 33149-2014 Дороги автомобильные общего пользования. Правила проектирования автомобильных дорог в сложных условиях
ГОСТ 33177 Дороги автомобильные общего пользования. Требования к проведению инженерно-гидрологических изысканий
ГОСТ Р 21.101 Система проектной документации для строительства. Основные требования к проектной и рабочей документации
| | ИС МЕГАНОРМ: примечание. В официальном тексте документа, видимо, допущена опечатка: СП 33-101-2003 имеет название "Определение основных расчетных гидрологических характеристик". | |
СП 33-101-2003 "СНиП 2.01.14-83 Определение основных расчетных гидрологических характеристик"
| | ИС МЕГАНОРМ: примечание. В официальном тексте документа, видимо, допущена опечатка: имеется в виду СП 35.13330.2011, а не СП 35.13330 2011. | |
СП 103.13330.2012 "СНиП 2.06.14-85 Защита горных выработок от подземных и поверхностных вод"
СП 104.13330.2016 "СНиП 2.06.15-85 Инженерная защита территории от затопления и подтопления"
СП 116.13330.2012 "СНиП 22-02-2003 Инженерная защита территорий, зданий и сооружений от опасных геологических процессов. Основные положения"
СП 445.1325800.2018 Водопропускные трубы и системы водоотвода в районах вечной мерзлоты. Правила проектирования
Примечание - При пользовании настоящим стандартом целесообразно проверить действие ссылочных стандартов (сводов правил) в информационной системе общего пользования - на официальном сайте Федерального агентства по техническому регулированию и метрологии в сети Интернет или по ежегодному информационному указателю "Национальные стандарты", который опубликован по состоянию на 1 января текущего года, и по выпускам ежемесячного информационного указателя "Национальные стандарты" за текущий год. Если заменен ссылочный документ, на который дана недатированная ссылка, то рекомендуется использовать действующую версию этого документа с учетом всех внесенных в данную версию изменений. Если заменен ссылочный документ, на который дана датированная ссылка, то рекомендуется использовать версию этого документа с указанным выше годом утверждения (принятия). Если после утверждения настоящего стандарта в ссылочный документ, на который дана датированная ссылка, внесено изменение, затрагивающее положение, на которое дана ссылка, то это положение рекомендуется применять без учета данного изменения. Если ссылочный документ отменен без замены, то положение, в котором дана ссылка на него, рекомендуется применять в части, не затрагивающей эту ссылку.
В настоящем стандарте применены следующие термины с соответствующими определениями:
3.1 гололедное воздействие: Воздействие нарастающего гололеда, рассматриваемое как нагрузка от собственного веса гололеда.
3.2
системы инженерной защиты территории от затопления и подтопления: Гидротехнические сооружения различного назначения, объединенные в единую систему, обеспечивающую инженерную защиту территории от затопления и подтопления. |
3.3 тепловой пояс: Сооружения, предназначенные для перехвата подземной или грунтовой воды и ее безналедного отвода от ограждаемого объекта в течение морозного периода.
3.4
каптаж: Колодец или приемная камера для сбора подземных родниковых вод в местах их выхода на поверхность. |
3.5 клетчатка вероятностей: Специальные клетчатки с прямоугольной системой координат, построенные таким образом, что на них спрямляются (полностью или частично) различные кривые обеспеченности.
3.6
наледи: Слоистые ледяные массивы на поверхности земли, льда или инженерных сооружений, возникшие при замерзании периодически изливающихся природных или техногенных вод. |
4.1 Общие принципы проектирования
4.1.1 Автомобильные дороги, расположенные в I дорожно-климатической зоне и районах распространения вечной мерзлоты, подвержены опасным природным или техногенным процессам и явлениям на этапах строительства, реконструкции, капитального ремонта, ремонта и эксплуатации.
4.1.2 При проектировании автомобильных дорог в таких районах согласно
регламенту [1] необходимо предусматривать защиту конструктивных элементов автомобильной дороги от возможных рисков, в том числе и от наледных процессов.
4.1.3 При проектировании автомобильных дорог в случае невозможности или нецелесообразности обхода участка потенциального наледеобразования следует разработать комплекс конструктивно-технологических решений, предусматривающий устройство противоналедных мероприятий и сооружений с целью предотвращения или устранения отрицательных воздействий наледей на автомобильную дорогу.
4.1.4 Противоналедные сооружения и устройства, предназначенные для защиты автомобильной дороги, должны обеспечивать защиту, предотвращать снижение прочности, обеспечивать устойчивость конструктивных элементов дороги при воздействии установленных внешних и внутренних нагрузок на всех этапах жизненного цикла.
4.1.5 Противоналедные мероприятия и сооружения необходимо проектировать в комплексе с инженерными сооружениями автодороги, так как строительство дорожных сооружений нарушает естественный режим протекания речных и грунтовых вод и способствует возникновению наледного процесса. При этом должны учитываться геологические, гидрологические и геокриологические условия местности, оказывающие влияние на развитие процессов наледеобразования.
4.1.6 При проектировании противоналедных сооружений следует учитывать интенсивность развития наледей в зависимости от запасов подземных вод и поверхностных вод весенне-летнего периода, глубины промерзания сезонно-талого слоя и других природных факторов по
4.2.
4.1.7 К мероприятиям и устройствам, устраняющим или сокращающим причины возникновения искусственных наледей и активизацию наледного процесса в местах действия природных наледей, относятся: дренаж, каптаж, осушение местности глубокими открытыми канавами и полуоткрытыми лотками, регуляция русел; сосредоточение потока, например, посредством наледных поясов, полузапруд или применением лотков на подходе и в пределах водопропускных сооружений; подогрев воды и грунтов. При наличии благоприятного сочетания рельефа, геологической, гидрогеологической обстановки и мерзлотно-грунтовых условий следует применять мерзлотные и тепловые пояса.
4.1.8 Решения по устройству определенных противоналедных сооружений должны быть приняты на основе технико-экономического обоснования и расчетов.
4.1.9 При проектировании комплекса дорожных, транспортных и других сооружений на наледных участках следует учитывать необходимость исключения или существенного сокращения вредного воздействия наледного процесса на эксплуатационную надежность автодороги согласно
ГОСТ 27751.
4.2 Прогноз наледеобразования
4.2.1 Прогнозирование расчетных параметров наледей при проектировании является основной частью определения основных параметров сооружений
(приложение А). К ним относятся: объем наледи, ее толщина (средняя и максимальная), ширина, длина и тип прогнозируемой наледи (смешанного питания; от грунтовых вод рыхлой толщи; от подземных вод глубоких горизонтов; поверхностных вод и ключевых наледей; потенциально наледных речных водотоков; бугров пучения).
4.2.2 Исходными данными для выбора и проектирования противоналедных мероприятий и устройств являются:
- по поверхностным водотокам: расход и температура воды в осенне-зимний период, скорость потока, ширина, глубина и уклон русла, предполагаемые изменения теплового и ледового режимов водотока при строительстве и степень влияния этих изменений на наледный процесс по
ГОСТ 33177;
- по подземным водам, вскрываемым выемками, канавами и карьерами: ожидаемый приток и температура воды, мощность и протяженность вдоль пути водоносного слоя, возможные изменения режима вод в связи со строительством;
- по гололедным воздействиям: предполагаемые степени обледенения конструкций в районе строительства;
- по всем природным наледям: генетический тип наледи, время ее формирования (начало и окончание), линейные размеры, площадь и объем наледи, возможные изменения в режиме наледи в связи со строительством, степень опасности наледи для проектируемых сооружений.
Перечисленные данные включают в пояснительную записку, в которой, кроме того, приводятся описания общих физико-геологических условий района согласно
ГОСТ 32836,
ГОСТ 32868,
ГОСТ 33177, необходимые для прогнозирования наледей и выбора основных проектных решений.
4.2.3 В задачи прогноза наледей входит установление следующих качественных и количественных характеристик:
- объем наледи, ее толщина (средняя и максимальная), ширина и длина;
- изменения во времени наледного процесса в местах отложений природных наледей;
- изменения режима и размеров природных наледей в результате строительства транспортных и других сооружений;
- вероятность возникновения искусственных наледей при строительстве дороги;
- степень воздействия наледей на проектируемые объекты.
4.2.4 Прогноз наледей необходимо осуществлять на основе процесса наледеобразования, обусловленного взаимодействием природных факторов (климатических, гидрогеологических, геологических и гидрологических,
приложение А).
4.2.5 В районах с отрицательной среднегодовой температурой воздуха возникновение искусственных наледей следует ожидать:
- в выемках, карьерах, а также в местах закладки канав и резервов, вскрывающих водоносные слои или способствующих частичному или полному промерзанию последних;
- на участках размещения открытых канав и лотков, используемых для пропуска водотоков;
- в местах стеснения водоносных слоев фундаментами сооружений, а также высокими насыпями, возводимыми из глинистых грунтов;
- на переходах малых и средних водотоков, имеющих в осенне-зимний период года температуру воды 0,2 °C и ниже, в случаях пропуска водотока через мосты и трубы типовой конструкции;
- на участках водотоков с перекатами, порогами, конусами выносов, островами; на устьевых участках рек и их притоков;
- на склонах логов и речных долин северной экспозиции;
- на участках размещения построечных притрассовых автомобильных дорог в пределах косогоров, на которых выявлены выходы или неглубокое залегание уровня грунтовых вод;
- в местах расположения отапливаемых зданий на водоносных грунтах основания.
4.2.6 Степень опасности наледи следует устанавливать в зависимости от типа наледи, ее размера, длительности действия, места и близости расположения наледи от проектируемого объекта, с учетом особенностей возможного воздействия наледи на условия движения транспортных средств и устойчивость транспортных и других сооружений.
4.3 Методы и средства противоналедной защиты. Выбор противоналедных мероприятий и сооружений
4.3.1 Методы и средства противоналедной защиты
4.3.1.1 Противоналедные сооружения по принципу работы разделяют на пять групп, таблица 1.
Таблица 1
Принцип работы противоналедных сооружений
Группы противоналедных сооружений |
Безналедного пропуска | Свободного пропуска | Удерживающие | Ограждающие | Дренажно-каптажные |
открытые или утепленные лотки | подогрев воды электронагревательными устройствами | грунтовые, снежные противоналедные валы в комплексе с затвором, каменными отмостками, противофильтрационными экранами | мерзлотные пояса | подземные трубные или беструбные дренажи |
водоотводные канавы | паро-водяные котлы на твердом и жидком топливе | заборы различной конструкции: высотой до 1,5 м - щиты; каркасные рамки, обтянутые толем, временные заборы из шпал, а при более 1,5 м - из досок, бруса, горбыля | канавы, траншеи, рвы | каптажные приемники, фильтрующие выпуски |
трубчатые подземные или утепленные наземные водоводы | подача более теплой воды из аккумулирующих прудов | мерзлотные пояса | устройство противофильтрационных экранов | дренажно-водоотводные лотки |
трубчатые дренажи с перфорациями или трубофильтры | источники глубинных подземных вод | льдонакопительные рвы и траншеи | бермы из скального или другого грунта с кф > 75 м/сут применяют при защите насыпей и конусов мостов | трубчатые или беструбные дренажи |
теплоаккумулирующие пруды | водозаборные скважины | наледные пояса | деревянные или железобетонные противоналедные заборы | водопонижающие скважины |
аккумулирующие емкости для вертикальных дренажей | мосты-эстакады | посредством устройства отмосток из камня; плит для распластывания потока воды | деревянные щиты, шандоры, шторки, устанавливаемые на входных оголовках труб, бермы из скального или другого фракционного грунта, обвалование (СП 116.13330.2012) | каптажные приемники |
незамерзающие водовыпуски | мосты тоннельного типа | установка металлических сеток, решеток, пластинчатых конструкций | поднятие насыпей земляного полотна на расчетную высоту для защиты от наледного подтопления | фильтрующие выпуски |
- | - | устройство навесов | - | - |
4.3.1.2 Безналедный пропуск сооружениями обеспечивается снижением удельных потерь тепла водным потоком и компенсацией этих потерь за счет дополнительных энергетических источников.
4.3.1.3 Сооружения свободного пропуска наледей представляют собой мосты-эстакады с расчетными длинами пролетов, обеспечивающих свободный пропуск наледи, а также мосты с использованием гофроконструкций диаметром более четырех метров, водопропускные трубы расчетного диаметра с массивными стенками. Мосты следует устраивать на пересечении русловых наледей различных генетических типов. Расчет параметров мостов и водопропускных труб при этом производят согласно
СП 35.13330.2011.
4.3.1.4 Принцип работы удерживающих сооружений направлен на формирование искусственной наледи на безопасном расстоянии от инженерного сооружения путем активизации наледного процесса за счет увеличения площади и интенсивности теплообмена водного потока с охлаждающей средой.
4.3.1.5 Мерзлотный пояс активизирует наледный процесс в результате ускорения промерзания верхнего водоносного горизонта (грунтового, надмерзлотного) и рассредоточенной разгрузки этого горизонта перед мерзлотным поясом. Рассредоточенная разгрузка водоносного горизонта может быть обеспечена вскрытием его канавой, траншеей или рвом.
4.3.1.6 Дренажно-каптажные противоналедные сооружения включают:
- подземные трубные или беструбные дренажи;
- каптажные приемники, фильтрующие выпуски;
- дренажно-водоотводные лотки;
- водопонижающие скважины.
4.3.1.7 Основной принцип работы дренажно-каптажных сооружений заключается в понижении уровня грунтовых и подземных вод ниже глубины промерзания для исключения пучинообразования. При условии недопущения пучинообразования противоналедные дренажно-каптажные сооружения должны обеспечивать дополнительное понижение подземных вод ниже глубин сезонного промерзания грунтов. При разработке конструкций дренажей и каптажных устройств необходимо предусматривать мероприятия, направленные на предотвращение замерзания воды в смотровых колодцах, отводных трубах и на выходе из них. С этой целью отводные трубы закладывают на глубине не выше нижней трети глубины сезонного промерзания, а низ трубы на выходе размещают выше поверхности земли на 1,0 м и более. На пологих склонах местности следует применять утепленные оголовки отводных труб.
4.3.1.8 Противоналедные устройства, применяемые как элементы или конструкции транспортных, а также непосредственных противоналедных сооружений, разделяют на три группы:
- ограждающие;
- безналедного пропуска;
- обеспечения пропуска наледных и талых вод.
4.3.1.9 Ограждающие устройства назначаются с целью защиты от скопления наледного льда в отверстии водопропускных труб в случае формирования небольших наледей на периодических водотоках, они снижают или полностью исключают влияние наледи на устойчивость земляного полотна и водопропускных сооружений. К ограждающим устройствам относят: деревянные щиты, шандоры, шторки, устанавливаемые на входных оголовках водопропускных труб, бермы из скального или другого фильтрующего грунта, содержащего пористую среду, обвалование при защите насыпей и конусов мостов
(СП 116.13330.2012).
4.3.1.10 Устройства в виде каналов во льду наледи применяют для обеспечения пропуска наледных и талых вод с целью снижения или прекращения роста наледи и отвода талых вод в весенний период через водопропускные сооружения, отверстия которых заполнены льдом.
4.3.1.11 Устройства для обеспечения безналедного пропуска являются элементами противоналедных сооружений и могут применяться самостоятельно для компенсации потерь тепла наледными водами при отводе их за пределы защищаемого участка (объекта или сооружения) путем установки утепленных щитов, шторок, матов на входе и выходе водопропускной трубы и применением оборудования подводящих и отводящих лотков.
4.3.1.12 Помимо перечисленных противоналедных сооружений, возможны комбинированные сооружения, элементы которых работают по определенному принципу ограниченную часть периода с отрицательной среднесуточной температурой воздуха.
4.3.2 Выбор противоналедных сооружений
4.3.2.1 Выбор противоналедных сооружений осуществляют на основе прогнозной оценки по материалам инженерно-геологического, инженерно-геодезического, гидрологического и геокриологического обследований наледных участков
(4.2).
4.3.2.2 Выбор способа защиты при проектировании зависит от размера наледи и характера ее развития, мерзлотно-гидрологических условий, рельефа местности, типа и конструкции проектируемого искусственного сооружения и технико-экономических показателей.
4.3.2.3 Для активного регулирования термическим режимом водотоков в период отрицательных температур необходимо в проектах конструкций земляного полотна и водопропускных сооружений предусматривать мероприятия, позволяющие обеспечивать его оптимальный тепловой режим.
4.3.2.4 Противоналедные сооружения и устройства необходимо назначать с учетом генетического типа наледи, дебита и температуры воды источника, питающего наледь, рельефа и инженерно-геологических условий в пределах наледного участка, а также в увязке с комплексом проектных решений по конструкциям земляного полотна и водопропускных сооружений.
4.3.2.5 При выборе противоналедных сооружений и устройств предпочтение следует отдавать тем из них, которые исключают активизацию природных и возникновение искусственных наледей при строительстве автомобильных дорог. В случаях невозможности или нецелесообразности использования таких мероприятий и устройств необходимо предусматривать применение средств, обеспечивающих защиту автомобильных дорог от непосредственного воздействия наледей.
4.3.2.6 Противоналедные сооружения и устройства необходимо предусматривать не только на участках наледей, выявленных в период изысканий, но и в местах вероятного возникновения наледей: переходы малых поверхностных водотоков, выемки, канавы и другие выработки, вскрывающие подземные воды в районах, склонных к наледеобразованию.
4.3.3 Типы и конструкции противоналедных сооружений и устройств. Область их рационального применения
4.3.3.1 По срокам службы противоналедные мероприятия, сооружения и устройства разделяют на:
- постоянные;
- временные.
4.3.3.2 Временные мероприятия и устройства требуется применять для ограждения автомобильных дорог от наледей, возникающих в результате изменения естественных условий в период строительства, при внезапных появлениях наледей, снижающих безопасность движения транспорта и устойчивость сооружений.
4.3.3.3 К временным (сезонным) мероприятиям относятся:
- выколка и удаление наледного льда из отверстий водопропускных сооружений и кюветов вручную и механизированным способом с использованием бульдозеров и рыхлителей;
- резка наледного льда механическими пилами и буровыми механизмами, а также его растопление.
4.3.3.4 Постоянные противоналедные устройства необходимо применять на участках действия природных наледей и в местах, где вероятно возникновение техногенных наледей, которые могут вызвать нарушение устойчивости конструкций и сооружений или создать опасность для движения транспорта.
4.3.3.5 К постоянным защитным мероприятиям относятся:
- поднятие проектной отметки бровки земляного полотна
Hпр. Она зависит от максимальной высоты подъема наледного льда

у земляного полотна на участке наледного подтопления (рисунок 1), а также от размеров земляного полотна, физических свойств слагающих его грунтов, климатических условий в районе строительства и определяется по отдельной методике;
1 - очертание насыпи после реконструкции; 2 - верх наледи
до реконструкции; 3 - очертание насыпи до реконструкции;
B - ширина проезжей части;

- отметка максимальной
высоты подъема наледного льда на откосе земляного полотна;
Hпр - величина проектной отметки бровки земляного полотна;
a - высота отсыпки насыпи для защиты от максимального
подъема наледного льда
Рисунок 1 - Поднятие проектной отметки бровки
земляного полотна Hпр на расчетную высоту
- уширение выемок на наледных участках с целью размещения в них заграждающих противоналедных устройств временного и постоянного типа (рисунок 2);
1 - очертание выемки до реконструкции; 2 - очертание выемки
после реконструкции; 3 - верх наледи после уширения выемки
и строительства противоналедного забора; 4 - верх наледи
до реконструкции дороги; 5 - забор; 6 - выходы наледных вод
Рисунок 2 - Уширение выемок на наледных участках
с целью размещения в них заграждающих противоналедных
устройств временного и постоянного типа
а) перенос отдельных участков дорог с устройством постоянных обходов;
б) строительство дополнительных водопропускных труб;
в) замена водопропускных труб и малых мостов на свайно-эстакадные мосты;
г) замена отдельных водопропускных труб на фильтрующие прорези;
д) замена водопропускных труб и малых мостов на специальные противоналедные водопропускные сооружения с необходимыми отверстиями для свободного пропуска наледей;
е) поднятие отметок выемки или переустройство выемки в насыпь (рисунок 3).
1 - уровень верха наледи до реконструкции; 2 - очертание
выемки после реконструкции; 3 - уровень верха наледи
после уширения выемки; 4 - очертание выемки после постройки
дороги; 5 - выходы наледных вод
Рисунок 3 - Превращение выемки в насыпь (с уширением выемки
для размещения средств противоналедной борьбы)
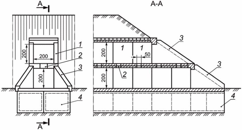
4.3.3.6 Для противоналедной защиты необходима установка водопоглощающего устройства, которое предназначено в основном для защиты от наледей, возникающих при таянии снега (стоковых), на больших площадях, имеющих асфальтобетонное или бетонное покрытие. Водоотводящие бордюрные камни представляют собой своеобразные сборные лотки из железобетона, имеющие водоприемные отверстия, которые могут не только поглощать, но и отводить наледную воду как в продольном, так и в поперечном направлении. Их выполняют в виде блоков из дренирующего морозостойкого бетона либо пластбетона (рисунок 4). При необходимости они могут иметь вверху сменный блокфильтр, под которым помещается нагревательный элемент. Наиболее целесообразно применять эти устройства в населенных пунктах или на горных дорогах, имеющих уклоны.
1 - водоотводящие бордюрные камни; 2 - водоотводный лоток
с нагревательным элементом; 3 - крышки из дренирующего
бетона; 4 - поперечный профиль дороги
Рисунок 4 - Водопоглощающее устройство
с водоотводящими бордюрными камнями на автодорогах
4.3.3.7 К специальным противоналедно-водопропускным сооружениям, предназначенным одновременно для безналедного пропуска постоянно и периодически действующих водотоков, относятся специальные водопропускные сооружения и искусственные сооружения со свободным пропуском наледей
(приложение Б):
- мосты-эстакады, а также мосты тоннельного типа, которые применяются на пересечении русловых наледей различных генетических типов;
- свайно-тоннельные водопропускные сооружения
(4.3.3.8);
- комбинированные фильтрующие насыпи с любым количеством водопропускных труб по
СП 445.1325800.2018;
- эстакадные мосты с подземными водовмещающими и водопропускными каналами
(рисунок 6).
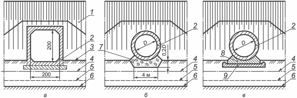
1 - уровень подруслового потока; 2 - граница аллювия
Рисунок 5 - Противоналедный мост-труба
1 - поверхность наледи до постройки водовмещающего канала;
2 - подземный водовмещающий канал
Рисунок 6 - Эстакадный мост
с подземным водовмещающим каналом
4.3.3.8 Свайно-тоннельные водопропускные сооружения представляют собой конструкцию, расположенную в нижней части насыпи в виде тоннельной полости или прорези необходимых размеров, образованную рядами свай с плитами-насадками и заборными стенками-плитами, служащих для беспрепятственного пропуска водотока с постоянно действующей наледью.
4.3.3.9 Противоналедные мосты-трубы являются аналогами свайно-тоннельных водопропускных сооружений. Они состоят из свай, насадок, плит перекрытия, стеновых плит и лоткового элемента с утеплителем.
4.3.3.10 Эстакадные мосты с подземными водовмещающими каналами, устраиваемыми под мощением русла и служащими для пропуска подрусловых потоков без их промерзания и без образования наледей
(рисунок 6).
4.3.3.11 В качестве каналов могут быть использованы продольные траншеи с дренажом из крупноглыбового скального грунта. Подземные лотки должны начинаться и заканчиваться каменной фильтрующей кладкой с защитой входа от заиливания.
4.3.3.12 Отверстия искусственных сооружений на водотоках с наледями определяют расчетом на пропуск по поверхности наледи расчетного паводка. При гидравлическом расчете отверстия не учитывают срезку и размыв, напорный и полунапорный режимы для труб не допускаются. Отверстия должны быть не менее 2 м для круглых и прямоугольных труб и 15 м для мостов (за исключением засыпных мостов). Для труб, сооружаемых в комплексе с фильтрующей насыпью, отверстие может быть назначено 1,5 м.
Малые мосты рекомендуется проектировать, как правило, на свайных опорах. При невозможности погружения свай забивкой можно применять бурообсадные или буроопускные сваи.
4.3.3.13 Мероприятия, активизирующие наледный процесс, для задержания наледей в местах, удаленных от полотна дороги, включают:
- наледные пояса и активные противоналедные валы для наледей поверхностных водотоков;
- мерзлотные пояса для наледей грунтовых вод.
4.3.3.14 Заграждающие противоналедные мероприятия и устройства бывают постоянными и сезонными. К сезонным средствам относятся сезонные русловые и грунтовые мерзлотные пояса, снеговые и снежно-ледовые валы, щитовые, дощатые и шпальные заборы, заграждения из промороженной мешковины.
4.3.3.15 Наледные пояса целесообразно применять для задержания наледей, возникающих на небольших и периодически действующих водотоках. Они представляют собой участки расширяемого русла, покрываемые каменной отмосткой или бетонными плитами. Размеры поясов следует назначать на основе результатов теплотехнических расчетов.
4.3.3.16 Сезонные русловые и грунтовые мерзлотные пояса (рисунок 7 и
8) представляют собой участки местности у ограждаемых сооружений, с которых удаляют растительный покров, лес и кустарник, а в начале зимнего периода и снег, который также периодически очищают зимой. Их применение основано на создании водонепроницаемых экранов на пути русловых и грунтовых водных потоков за счет ускоренного промерзания русел рек и грунтов деятельного слоя с последующим образованием наледей в удалении от ограждаемых дорожных сооружений. Мерзлотные пояса в виде канав применяют и для борьбы с речными наледями. Их прокладывают поперек всей речной долины на расстоянии от 80 до 100 м выше моста.
1 - мерзлотный пояс; 2 - вал из снега, льда или грунта;
3 - ось дороги
Рисунок 7 - Сезонные русловые мерзлотные пояса
1 - очертание деятельного слоя после устройства пояса;
2 - граница деятельного слоя до устройства пояса; 3 - выходы
надмерзлотных вод после устройства поясов; 4 - мерзлотный
пояс: 5 - наледь после устройства пояса; 6 - нагорная
канава; 7 - наледь до устройства пояса; 8 - вечная мерзлота;
9 - уровень надмерзлотных вод
Рисунок 8 - Сезонные грунтовые мерзлотные пояса
4.3.3.17 Снеговые и снежно-ледовые валы служат для борьбы с грунтовыми и смешанными (руслово-грунтовыми) наледями (рисунок 9). Противоналедные валы целесообразно применять для задержания наледей на малых и средних водотоках. Вал устраивают из грунта со щитом из досок или железобетонных плит, а также с плоским утепленным лотком, вымощенным камнем или бетонными плитами. Действие активного противоналедного вала основано на том, что плоский лоток в качестве наледного пояса вызывает растекание потока волн тонким слоем, способствует его интенсивному охлаждению, зарождению и развитию наледи перед валом раньше, чем она может возникнуть у водопропускного сооружения, расположенного по руслу ниже вала. Возникновение наледи в пределах плоского лотка будет способствовать заполнению водопропускной канавы и щели под щитом. После этого наледь, задерживаемая щитом и валом, станет развиваться вверх по руслу. Размеры водопропускной канавы и щели под щитом следует определять с учетом пропуска весенних вод без разбора щита. Разбор щита необходимо предусматривать только в случаях, когда по прогнозу ожидается особо высокий паводок.

1 - уровень вечной мерзлоты; 2 - уровень воды; 3 - граница
промерзания в первую половину зимнего периода; 4 - слой
снега; 5 - выходы наледных вод; 6 - наледь; 7 - снеговой вал
Рисунок 9 - Снеговые (снежно-ледовые) валы,
совмещенные с мерзлотными поясами
4.3.3.18 Водонепроницаемые экраны с валами из грунта следует применять в целях отдаления от ограждаемого сооружения места выхода грунтовых вод, образующих наледь. В районах со снежными заносами во избежание свободного прохода подземных вод под снегом экран следует размещать за пределами снежного отложения, возникающего у вала.
4.3.3.19 Сборно-разборные заборы из досок, бревен или переносные щиты из досок, а также заграждения из промороженной мешковины следует применять для защиты от наледей грунтовых или поверхностных вод, имеющих непостоянный характер или меняющих положение в разные годы. Также возможна установка щитовых и дощатых заборов (рисунок 10).
1 - уровень воды; 2 - наледь; 3 - щитовой забор
Рисунок 10 - Щитовой забор
4.3.3.20 Для отвода из выемок грунтовых вод с ограниченным периодом действия следует применять лотки закрытого типа взамен кюветов. Для осушения местности, перехвата и отвода грунтовых и надмерзлотных вод на значительное расстояние следует применять полуоткрытые водоотводные лотки.
4.3.3.21 Осушение местности открытыми канавами целесообразно предусматривать на участках с неглубоким залеганием грунтовой воды и поверхности вечномерзлых грунтов, в том числе в случаях, когда верхний защитный слой представлен глинистыми грунтами с включением дресвы, а поток грунтовой воды имеет малый дебит и перемерзает зимой. Размеры канав и способ укрепления откосов назначают в зависимости от притока и глубины залегания грунтовых вод, площади осушаемой территории, скорости течения воды в канаве в летнее время и других инженерно-геологических условий в пределах наледного участка. При наличии грунтовых вод, не перемерзающих зимой, целесообразно применять канавы в сочетании с неглубоким лотком, например из половины асбоцементной трубы, втопленной на глубину ниже дна канавы.
4.3.3.22 Для успешного применения таких средств противоналедной борьбы можно также рекомендовать использовать на водоотводных участках сборные железобетонные лотковые элементы в виде полуколец с откидными крышками со слоями эффективного утеплителя, например из пенопласта (рисунок 11).
1 - откидывающаяся крышка с теплоизоляцией; 2 - снег;
3 - железобетонное полукольцо; 4 - слой теплоизолирующего
материала; 5 - шарнир
Рисунок 11 - Конструкция водоотводной канавы и лотка
из железобетонных полуколец с утеплителем
4.3.3.23 Осушительные устройства и сооружения в качестве средств противоналедной борьбы разделяют на дренажные и каптажные.
При разработке конструкций дренажей и каптажных устройств необходимо предусматривать мероприятия, направленные на предотвращение замерзания воды в смотровых колодцах, отводных трубах и на выходе из них.
4.3.3.24 Дренаж и каптаж целесообразно применять на участках с наличием и возможным развитием наледей подземных вод и четко выраженными водоносными слоями грунтовых вод. Каптаж целесообразно применять на наледных участках при наличии источников подземных вод, выходящих на склоне выше дороги.
4.3.3.25 К каптажно-осушительным противоналедным устройствам относятся каптажные противоналедные устройства, пластово-откосные каптажные устройства засыпного или сборного типа из плит фильтрационного бетона. Каптажные противоналедные устройства представляют собой весьма эффективное средство противоналедной борьбы. Общим признаком разнообразных конструкций этих устройств является наличие на пути подземных вод, питающих наледи, каптажной стенки из камня, каменной выкладки на мху или засыпки из крупного галечника с валунником.
4.3.3.26 Пластово-откосные каптажные устройства из сборных плит представляют собой слой фильтра из песчано-гравийной смеси, насыпаемой на спланированную поверхность откоса выемки земляного полотна с многочисленными рассеянными выходами горизонтов подземных вод, на который укладывают сборные плиты из фильтрационного бетона. В нижней части откоса устраивают дренажную траншею, в которую укладывают длинномерные дренажные элементы, принимающие подземные воды и отводящие их за пределы ограждаемого участка регуляционных противоналедных мероприятий.
4.3.3.27 К дренажным противоналедным устройствам относится открытый дренаж в виде осушительных канав и лотков, а также закрытые:
- дренажи-преградители с водонепроницаемыми экранами и перфорированными трубами с засыпным фильтром;
- с трубофильтрами из фильтрационного бетона;
- из дренажных экранных плит и фильтрационного бетона;
- из сборных шпунтовых дренажных элементов и фильтрационного бетона;
- из сборных экранных электроосмотических элементов криогенной конструкции.
4.3.3.28 Открытый дренаж в виде осушительных канав и лотков (рисунок 12) следует применять на сильно заросших таежной растительностью бортах речных долин и горных склонах с наличием заболоченных террас, подстилаемых элювиально-делювиальными отложениями, где дренажи закрытого типа не всегда могут поглотить все горизонты подземных вод или необходимо устраивать несколько ярусов.
1 - поверхность наледи до устройства
открытых дренажных канав; 2 - осушительные канавы
Рисунок 12 - Открытый дренаж в виде
осушительных канав и лотков
Открытые дренажи особенно эффективны в условиях смешанного питания наледей поверхностными и подземными водами, выходящими на поверхность из глыбово-россыпных отложений склонов и вновь поглощаемыми ими.
4.3.3.29 Закрытые дренажи с водонепроницаемыми экранами (рисунок 13,
14) традиционно применяют для борьбы с наледями грунтовых вод. Они представляют собой перфорированные керамические, асбоцементные или пластиковые трубы со слоем фильтра и дренирующей засыпки, укладываемые в траншеи глубиной 2 - 4 м. Основной особенностью этих дренажей является наличие со стороны защищаемого сооружения водонепроницаемого экрана из мятой глины или дощатых шпунтовых щитов с наклеенными на них слоями гидроизоляции на битумной мастике или геомембраны. Расчет закрытых дренажей см. в
приложении Г.
1 - поверхность наледи до устройства дренажа;
2 - перфорированные трубы
Рисунок 13 - Закрытый дренаж с водонепроницаемыми экраном,
перфорированными трубами с засыпным фильтром
1 - экран из плотного бетона с оклеенной гидроизоляцией
со стороны ограждаемого объекта; 2 - уровень наледи
до устройства дренажа
Рисунок 14 - Конструкция закрытого дренажа
с трубами из фильтрационного бетона
(фильтр - многослойная часть из крупнопористого бетона
и песчаного пластбетонного фильтра)
4.3.3.30 К противоналедным мероприятиям конструктивного типа, способным значительно ослабить и/или полностью ликвидировать наледи, относятся отепляющие мероприятия:
- нанесение на стенки и днища лотков, каналов, канав защитных теплоизоляционных покрытий;
- установка навесных щитовых теплоизоляционных крышек над каналами, лотками и канавами;
- перевод зимнего расхода на подземный сток переключением его в специально устраиваемые коллекторы и каналы;
- устройство краткосрочных подпоров воды для образования ледяных кровель над водными потоками;
- устройство отепляющих настилов над канавами, лотками и руслами открытых водных потоков;
- концентрация водных потоков пропуском их в узких лотках.
4.3.3.31 Установка теплоизоляционных щитов и крышек над водоотводными канавами, лотками и каналами позволяет снизить тепловые потери в атмосферу, щиты и крышки рекомендуется устраивать против образования русловых наледей. Их изготовляют из теплоизоляционных материалов в виде легких навесных конструкций, устанавливаемых в рабочее положение в начале зимнего периода.
4.3.3.32 Отепляющие настилы над канавами, лотками и каналами устраивают из жердей, укладываемых поперек водотока, и слоя веток хвойных деревьев, быстро заносимых снегом и завершающих конструкцию такого противоналедного устройства (рисунок 15).
1 - жерди; 2 - слой снега;
3, 4 - теплоудерживающие материалы
Рисунок 15 - Конструкция отепляющего настила
5 Правила проектирования противоналедных сооружений
| | ИС МЕГАНОРМ: примечание. В официальном тексте документа, видимо, допущена опечатка: имеется в виду СП 35.13330.2011, а не СП 35.13330 2011. | |
5.1.1 Противоналедные сооружения и устройства на автомобильных дорогах следует проектировать с учетом зимнего стока заданной обеспеченности на стадии изысканий по
СП 33-101-2003 и требований
пункта 5.23 СП 35.13330 2011:
1:100 (1%) для автомобильных дорог IА, IБ, IВ, II и III категорий;
1:50 (2%) для автомобильных дорог IV и V категорий.
5.1.2 Исходными данными для выбора вида и типа противоналедных мероприятий и устройств на этапе подготовки задания на проектирование являются:
- по поверхностным водотокам - расход и температура воды в осенне-зимний период; скорость потока, ширина, глубина и уклон русла; предполагаемые изменения теплового и ледового режимов водотока при строительстве и степень влияния этих изменений на наледный процесс;
- по подземным водам, вскрываемым выемками, канавами и карьерами, - ожидаемый приток и температура воды, мощность и протяженность вдоль пути водоносного слоя, возможные изменения режима вод в связи со строительством;
- по всем природным наледям - генетический тип наледи, время ее формирования (начало и окончание), линейные размеры, площадь и объем наледи, возможные изменения в режиме наледи в связи со строительством, степень опасности наледи для проектируемых сооружений.
5.1.3 Рабочие чертежи противоналедных мероприятий и устройств разрабатывают согласно
ГОСТ Р 21.101, а также на основе уточненных данных по всем наледным участкам, в том числе:
- описания рельефа, геологической, гидрогеологической обстановки и мерзлотно-грунтовых условий;
- расхода и температуры воды наледных водотоков в осенне-зимний период, их теплового и ледового режимов, скорости потока;
- ширины, глубины и уклона русел;
- климатических показателей, необходимых для теплотехнических расчетов;
- показателей природных наледей, их генетического типа, линейных размеров, площади и объема наледного льда, периода формирования наледей;
- прогнозирования степени опасности наледи;
- рекомендуемых проектных решений с использованием графических материалов, в том числе плана наледного участка (масштаба 1:500 - 1:2000) геологических разрезов по
ГОСТ 32869,
ГОСТ Р 21.101;
- опросных данных или журналов наблюдений за наледями на существующих сооружениях.
5.1.4 При проектировании вариантов трасс автомобильных дорог в наледных районах направление необходимо выбирать с таким расчетом, чтобы исключить или сделать минимальным образование наледей у искусственных сооружений и земляного полотна дороги согласно
ГОСТ 33100,
ГОСТ 33149.
5.1.5 Размещение трасс автомобильных дорог следует производить с учетом следующих особенностей физико-географических условий:
- наиболее благоприятными для размещения трассы являются водораздельные участки, склоны антиклинальных долин, борта моноклинальных долин с падением слоев пород в глубь склона, верхние части склонов, сложенных породами с горизонтальным залеганием слоев, южные склоны и поверхность речных террас, сложенных дренирующими грунтами;
- менее благоприятными являются речные долины с синклинальным залеганием пород и субсеквентные долины в зонах тектонических разломов, являющихся путями выхода на поверхность подземных вод, способствующих образованию больших и гигантских наледей;
- неблагоприятными участками являются: в пределах Сибирской платформы зоны контакта водоносных песчано-известковистых пород с водоупорными аргиллито-мергиллистыми толщами, в Якутии и горных системах Забайкалья - неотектонические зоны разломов с нисходящими источниками подземных вод;
- особо неблагоприятными являются участки с выходами грунтовых родников (трещино-карстовых, пластовых или связанных с зонами тектонических нарушений) и склоны северной экспозиции с распространением вечномерзлых грунтов, имеющих надмерзлотные воды. При трассировании линии целесообразно рассматривать варианты обхода таких мест с нагорной стороны или переноса трассы на склоны южной экспозиции.
5.1.6 Водотоки рекомендуется пересекать на прямых участках с концентрированным руслом, избегая перекатов, островов, конусов выноса, устьевых участков рек и их притоков.
5.1.7 Рекомендуется рассматривать варианты обхода наледных участков, производя их технико-экономическое сравнение с учетом строительства постоянных противоналедных сооружений и эксплуатационных затрат на борьбу с наледями.
5.1.8 Проектирование земляного полотна на территориях, подверженных наледеобразованию, осуществляется с учетом требований ГОСТ 33149-2014,
пункты 7.3.3.1 и
7.3.3.9.
5.1.9 На участках природных наледей земляное полотно следует проектировать с учетом условий
5.5.5:
- в насыпях с возвышением бровки над расчетной отметкой поверхности наледи более чем на 1 м;
- в насыпях с бермой, устраиваемой с нагорной стороны;
- совместно с противоналедными устройствами.
5.1.10 Земляное полотно совместно с противоналедными устройствами (земляные валы или заборы) следует проектировать на участках действующих ключевых наледей, когда можно каптировать источники и отвести их по утепленным лоткам и канавам за пределы земляного полотна.
5.1.11 На участках прогнозируемых наледей в районах глубокого сезонного промерзания и островного распространения вечномерзлых грунтов земляное полотно следует проектировать с таким расчетом, чтобы глубина промерзания под насыпью не превышала промерзания грунтов в естественных условиях.
5.1.12 В районах сплошного распространения вечномерзлых грунтов земляное полотно должно быть запроектировано совместно с мерзлотным грунтовым поясом (широкая, но мелкая канава) или с водонепроницаемым экраном, активизирующими наледный процесс в удалении от полотна дороги.
5.1.13 В районах глубокого сезонного промерзания грунтов при вскрытии водоносных слоев выемками перехват и отвод грунтовых и надмерзлотных вод следует осуществлять глубокими полуоткрытыми лотками или удерживать наледь выше по склону. Когда применение указанных мероприятий затруднено, следует предусматривать уширение выемок и устройство противоналедных заборов.
5.1.14 На участках природных наледей, образующихся по руслам водотоков, следует проектировать:
- преимущественно мосты вместо труб;
- мосты с увеличенными отверстиями;
- мосты и трубы совместно с утепленными лотками;
- мосты со спрямленными и углубленными руслами;
- засыпные мосты.
5.1.15 В местах возможного образования наледи в виде исключения может быть допущено применение прямоугольных железобетонных труб (шириной не менее 3 м и высотой не менее 2 м) в комплексе с постоянными противоналедными сооружениями.
5.2 Особенности изысканий в пределах наледных участков
5.2.1 При изысканиях наледи необходимо рассматривать как опасное физико-геологическое явление. Гидрогеологические обследования на наледеопасных водотоках следует проводить осенью или в начале зимнего периода, когда могут быть получены необходимые данные об осенне-зимних расходах, подрусловых и грунтовых водах по
ГОСТ 33177.
5.2.2 Инженерно-геологические и топографические работы по обследованию наледных участков выполняют согласно
ГОСТ 32868,
ГОСТ 32869 в общем комплексе проектно-изыскательских работ при изысканиях трасс новых дорог; они включают:
- изучение общих физико-геологических условий наледных участков;
- улучшение ледового и термического режимов поверхностных водотоков источников и водоносных слоев подземных вод, попадающих в зону воздействия строительства.
5.2.3 Содержание и объем работ по обследованию наледных участков должны обеспечивать получение данных, необходимых как для проектирования противоналедных сооружений и устройств, так и для прогнозирования наледного процесса и разработки проектных мероприятий по предотвращению активизации наледного процесса после строительства дороги.
5.2.4 На водотоках с прогнозируемыми наледями кроме работ по изысканиям переходов в обычных условиях должны быть проведены специальные гидрогеологические обследования и собраны дополнительные данные, которые необходимы для проектирования искусственных сооружений и противоналедных мероприятий. При обследовании водотоков необходимо зафиксировать все источники подземных вод, а также поверхностные ручьи и грунтовые воды, определить степень заболоченности склонов, их уклоны и положение водоупоров.
5.2.5 Топографическая и инженерно-геологическая съемка логов водотоков должна охватывать всю площадь наледной поляны и места выхода источников подземных вод, питающих наледь, с прилегающими участками местности: вниз от оси перехода 100 м, вверх от начала наледной поляны 300 м и по сторонам 50 м от границ наледной поляны. Должен быть составлен план лога в горизонталях, поперечных и продольных, геологических разрезов в указанных границах съемки. Масштаб выбирают в зависимости от размеров наледи в пределах 1:500 - 1:2000. Определяют местонахождение и тип подземных источников, характер излива, режим источников (дебит, температуру, химический состав воды).
5.2.6 Определение максимальных объемов наледи следует проводить в марте-апреле с целью определения размеров наледей и прогнозирования их расчетных параметров при проектировании искусственных сооружений.
5.2.7 При обследовании наледеопасных участков и определении параметров наледи рекомендуется использовать данные дорожно-климатической зоны.
5.2.8 При обследовании наледного участка (проектируемой или эксплуатируемой автомобильной дороги) должны быть выявлены: места выходов подземных вод; протяжение наледи вдоль трассы (с привязкой участка к ее километрам и пикетам); отметка поверхности наледного массива в конце зимы; группа и тип наледи (по классификации); температура воды и ее химический состав в конце зимы; коэффициент фильтрации водоносного слоя на уровне водоупора; средняя глубина межени действующего водотока.
5.2.9 Для косогоров, а также долин при бортовом питании наледей вычерчивают схематический разрез склона (долины), а также русловой части с указанием состава подстилающих (почву) пород и характера их напластования. Грунтово-геологический разрез составляют на основе данных бурения 3 - 4 скважин глубиной до водоупора, заложенных по оси искусственного сооружения.
5.3 Проектирование дренажно-водоотводных сооружений и устройств
5.3.1 К типу дренажно-водоотводных сооружений относятся:
- дренаж горизонтальный;
- дренаж вертикальный (водопонижающие и водопоглощающие скважины);
- комбинированные сооружения, представляющие систему горизонтальных и вертикальных дренажных устройств;
- лучевые дренажи;
- дренажно-каптажные сооружения.
5.3.2 К дренажным устройствам, используемым при строительстве горизонтального дренажа, относятся:
- открытые дрены (канавы, траншеи, лотки);
- закрытые трубчатые дренажи;
- беструбчатые, дренажные галереи;
- пристенные дренажи.
5.3.3 Открытые дрены глубиной до 1,5 м (канавы) и до 5,0 м (траншеи) применяются в устойчивых грунтах и в районах со снежным покровом более 1,5 м, для отвода воды поверхностного стока при расходах не менее 5 л/с, понижения уровня и перехвата выходов подземных вод для их организованного и безналедного пропуска. При необходимости устройства дрен (канав) в неустойчивых грунтах их дно и откосы защищают фильтрующим материалом из одного или двух слоев, располагаемых по принципу устройства обратных фильтров. Для первого слоя пригрузки используют песчаные, гравийные и щебенистые грунты, для второго слоя - обломочный скальный или гравийно-галечниковый грунт. Продольный уклон дрен не менее

.
5.3.4 Лотки следует применять в стесненных условиях, где затруднено устройство открытых канав или их текущее содержание, а также в случаях, когда при типовых конструкциях канав или кюветов не обеспечивается безналедный пропуск потока.
5.3.5 Железобетонные лотки прямоугольного сечения следует применять в соответствии с
ГОСТ 32955 для закладки и отвода воды из глубоких водоносных слоев грунта до 1,5 м.
5.3.6 Для изготовления элементов прямоугольных лотков следует применять бетон марки по морозостойкости F300. При гидравлических расчетах коэффициент шероховатости дна лотков принимают 0,013.
5.3.7 Горизонтальные трубчатые дренажи
(приложение В) используют для безналедного пропуска грунтовых вод и предупреждения образования наледных пучин. Устройство трубчатого дренажа при сливающейся мерзлоте допускается в частных случаях и дополнительном обогреве воды в дренажном коллекторе. Закрытые трубчатые дренажи устраивают в траншеях, они состоят из осушающей линии - дрены (или системы дрен) и отводной линии, заканчивающейся выпуском. Дреной служат перфорированные трубопроводы (дренажные трубы) или трубофильтры с обратным фильтром из нетканого материала или дренирующей обсыпки. Выше дренирующей обсыпки траншеи засыпают местным грунтом. Для отводной линии используют трубопроводы, допускающие работу в напорном режиме в период внутреннего оледенения трубы на выпуске.
5.3.8 Выпуск воды из дренажа может быть открытого (канава) или закрытого (поглощающий колодец, траншея) типа. Выпуск воды из дренажа размещают на участках отрицательного перелома рельефа. Длину выпуска воды из горизонтальных трубчатых дренажей в условиях вечной мерзлоты определяют по результатам теплотехнического расчета
(приложение Г).
5.3.9 Глубину траншеи для устройства трубчатого дренажа определяют из условия недопущения перемерзания воды в дренажной трубе с учетом глубины сезонного промерзания грунта при наличии или отсутствии слоя теплоизоляции. Другими основными параметрами, обусловливающими глубину траншеи трубчатого дренажа, являются требуемая глубина дренирования и радиус влияния дренажа Ширину траншей по дну принимают в зависимости от ширины и вида фильтрующей обсыпки трубчатого дренажа с запасом в обе стороны до 0,7 м. Крутизну откосов траншей глубиной до 5 м принимают в соответствии с
СП 445.1325800.2018.
5.3.10 Диаметр дренажных труб устанавливают гидравлическим расчетом. Наибольшую расчетную скорость движения воды в дренажных трубах принимают 1,5 м/с при устройстве дренажа в мелкозернистых и 4 м/с в крупнообломочных грунтах. Минимальные скорости движения воды в дренажных трубах принимают 0,15 - 0,2 м/с при устройстве дренажа в глинистых и 0,3 - 0,35 м/с - в песчаных грунтах. Степень наполнения труб водой принимают не более 0,6 - 0,8. Минимальный уклон дренажного коллектора следует принимать

с целью недопущения заиливания труб и дренажной обсыпки.
5.3.11 Фильтрующие обсыпки дренажных труб могут иметь трапецеидальную, ромбическую и другие более сложные формы (рисунок 16, а, б, в). В случае слоистого строения дренируемого водоносного пласта второму слою фильтрующей обсыпки придают одну или две шторы, преграждающие движение грунтового потока над трубчатым дренажем и транспортирующие дренажную воду в последний.
а - в выемке; б - на открытом пространстве; в - со шторой;
1 - дренажная труба; 2 - фильтрующая обсыпка из щебня;
3 - фильтрующая обсыпка из песка; 4 - откосная штора
из местного фильтрующего грунта; 5 - депрессионная кривая
уровня подземного потока; 6 - контур защищаемого сооружения
Рисунок 16 - Поперечные сечения фильтрующих обсыпок
5.3.12 В качестве материала фильтрующих обсыпок
(рисунок 16) следует применять отмытый песок и гравий или песчано-гравийные смеси, а также продукты дробления изверженных или прочных осадочных пород с удельным весом не менее 20 кН/м
3 (2 тс/м
3). Гранулометрический состав песчано-гравийной обсыпки, число слоев и их толщину следует подбирать исходя из требований
СП 103.13330.2012. Пригодность материалов (грунтов), используемых для фильтрующих обсыпок, должна быть обоснована расчетом.
5.3.13 На трубчатых дренажах сооружают смотровые и перепадные колодцы, сбросные коллекторы с устьевыми устройствами и дренажные насосные станции.
5.3.14 Для предотвращения промерзания водоотводной трубы, исключения ее подпора наледным льдом, на выпуске дренажа предусматривают теплоизоляцию трубы и использование нагревательных установок.
5.3.15 При небольшом расходе дренируемых подземных наледных вод в условиях близкого залегания скальных пород рекомендуется применять беструбный дренаж в виде дренажно-водоотводного канала, устраиваемого буровзрывным способом. Размер (сечение) зон рыхления скальных пород при устройстве дренажа следует определять расчетом
(приложение Д).
5.3.16 Для защиты от наледей выемок, размещаемых в скальных водоносных породах, при заложении подошвы откосов ниже уровня грунтовых вод, следует применять вертикальный дренаж. Размеры водоаккумулирующей емкости для устройства вертикального дренажа следует определять расчетом
(приложение Е).
5.3.17 Во избежание кольматажа дренажно-водоотводных устройств (лотков, дренажей, фильтрующих насыпей и обсыпок различного назначения) наряду с дренирующим материалом следует использовать в качестве обратного фильтра геотекстиль, волокнистые, тканые и нетканые материалы в соответствии с
ГОСТ 33068 (рисунок 17).
а, б - трубы дренажа; в - трубы фильтровой обсыпки
в дренаже; г - трубы в дренажной прорези; 1 - щебень
или гравий фракции 70 мм; 2 - геотекстиль толщиной не менее
4 мм; 3 - асбоцементная труба диаметром d = 150 - 300 мм;
4 - кривая депрессии; 5 - местный грунт (гравелистый
или крупный песок); 6 - слой изолирующего материала;
7 - утрамбованный глинистый грунт; 8 - мелкие пески
с коэффициентом фильтрации меньше 5 м/сут
Рисунок 17 - Схемы конструкции дренажа с использованием
геотекстиля, предотвращающего заиливание
5.3.18 При устройстве водонепроницаемых экранов требуется выполнить мероприятия по гидроизоляции и постоянной тепловой изоляции для предупреждения замерзания воды в горизонтальном трубчатом дренаже.
5.3.19 Дренаж-каптаж предназначен для перехвата поверхностных (русловых), подземных и грунтовых вод, питающих наледь, их отвода в низовую сторону за ограждаемое сооружение. Дренаж-каптаж состоит из каптажного приемника, перехватывающего поверхностные (русловые) воды, дренажной части (крыльев), перехватывающей подземные или грунтовые воды, и коллектора (лотка), обеспечивающего отвод каптированных вод в низовую сторону. Схема устройства дренажа-каптажа показана на рисунке 18.
1 - водонепроницаемая стенка (экран); 2 - каменный
заполнитель каптажного приемника; 3 - каптажная камера;
4 - водоотводящий коллектор; 5 - разделительный слой
из геотекстиля; 6 - засыпка из утеплителя;
7 - засыпка из местного грунта
Рисунок 18 - Схема устройства дренажа-каптажа
Гидравлический расчет каптажного приемника предусматривает определение геометрических размеров его живого сечения, величины уклона дна, скорости течения воды, водопропускной способности. Для расчета дрен и отводящего лотка из дренажа-каптажа рекомендуется методика, приведенная в
приложение Г.
5.4 Проектирование сооружений для безналедного пропуска водотоков
5.4.1 Безналедный пропуск водотоков обеспечивают путем:
- концентрации и спрямления русел водотоков при протекании их в полосе отвода дороги, а также в пределах мостов и труб;
- устройства обычных и утепленных лотков, коллекторов и выпусков;
- подогрева воды различными установками.
5.4.2 Необходимую степень концентрации водотока определяют климатическими условиями района, температурой наружного воздуха, величиной снежного покрова, а также характеристикой потока - расходом в осенне-зимний период, температурой воды, уклоном русла.
5.4.3 Расчетное отверстие моста или трубы B, при котором не будет происходить образование наледи, определяют по безналедному пропуску с учетом теплового баланса водотока, см. график (рисунок 19). Для расчета необходимо знать расход водотока Q, м3/с, уклон русла i и величину снежного покрова hсн, см. расчетную температуру наружного воздуха t, °C.
Рисунок 19 - График для определения ширины водотока
при безналедном пропуске (цифры на прямых означают
температуру наружного воздуха (-20 °C); произведение
расхода потока Q и уклона дна русла i (0,001)
5.5 Проектирование противоналедных ограждающих сооружений и устройств
5.5.1 Ограждающие сооружения следует устраивать в комплексе, включающем устройства, обеспечивающие резкое охлаждение водотока: наледные и мерзлотные пояса, спланированный участок для растекания наледной воды и накопления льда и сооружения, удерживающие наледь, противоналедный вал или забор.
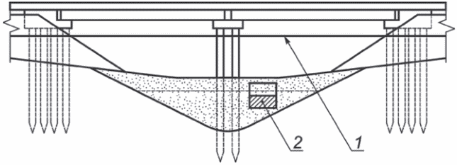
5.5.2 Наледный пояс и плоские лотки представляют собой участок искусственно выполненного плоского уширенного русла, укрепленный одиночным мощением, бетонными плитами или каменной наброской.
5.5.3 Наледный пояс как самостоятельное сооружение можно применять при осеннем расходе водотока до 20 л/с. При больших расходах его устраивают в комплексе с удерживающим валом, плоским лотком, расположенным непосредственно у вала или несколько выше его по течению водотока (рисунок 20). Размеры наледного пояса или плоского лотка определяют из условия: после протекания водотока по этому участку его температура должна быть понижена до 0 °C.
1 - участок, обеспечивающий резкое нарушение водно-теплового
режима и охлаждение малого водотока (наледный пояс);
2 - площадь растекания наледи перед удерживающими
сооружениями; 3 - удерживающие сооружения; 4 - отмостка
(плоский лоток); 5 - автомобильная дорога;
6 - искусственное сооружение
Рисунок 20 - Схема расположения удерживающих
противоналедных сооружений
5.5.4 Длину L наледного пояса можно определить по формуле

, (1)
где Q - расход водотока в осенне-зимний период (определяют по данным инженерно-геологических наблюдений), м3/сут;
C - удельная теплоемкость воды, кДж/(кг·°C);

- объемная масса воды, кг/м
3;
t - температура воды в осенний период, °C;
W0 - теплопотери с открытой поверхности, кДж/(м2·сут);
B - ширина наледного пояса, м.
5.5.5 Расчетную площадь растекания воды
Fр перед удерживающим сооружением определяют из условия: толщина слоя воды
hв, удерживаемой перед сооружением за рассматриваемый промежуток времени ожидаемого действия наледи
T, должна быть меньше или равной возможной толщине нарастания наледи
hл, определяемой по формуле

. (2)
Принимая hл = hв, Fр и Qв можно определить по формулам:

; (3)
Qв = QT, м3, (4)
где

- скрытая теплота, выделяемая при переходе воды в лед, принимают 80 ккал/кг (336 кДж/кг);
T - рассматриваемый промежуток времени ожидаемого действия наледи, сут;
Qв - объем воды, накапливаемый перед удерживающим сооружением за рассматриваемый промежуток времени ожидаемого действия наледи, м3.
5.5.6 Прогнозируемый объем наледи Vн определяют с учетом расхода водотока в осенне-зимний период Q, времени ожидаемого действия наледи T и наличия снежного покрова:
Vн = 1,25(1,1QT + vс), м3; (5)

, (6)
где 1,25 - коэффициент запаса;
1,1 - коэффициент увеличения объема замерзающей воды;
vс - объем прироста наледи от снега, м3;

- безразмерный коэффициент относительной плотности снежного покрова, принимают равным 0,25 - 0,3;
hс - толщина снежного покрова, м.
5.5.7 Размеры удерживающих противоналедных сооружений определяют по прогнозируемым мощностям и площадям распространения наледи, с учетом полного ее задержания
(приложение Ж). Высоту удерживающего противоналедного сооружения
Hв принимают на 0,5 м больше расчетной толщины наледи
hн.
5.5.8 Расстояние между участком нарушенного русла
1, активизирующим наледный процесс, и удерживающими сооружениями
3,
4 определяют из условия, чтобы при полной аккумуляции наледных вод этот участок находился вне основного объема наледи
2 и постоянно функционировал
(рисунок 20). При малых уклонах русла водотока длину распространения наледи по логу можно принять
l =
hн/
iр (
hн - толщина наледи, м;
iр - уклон русла,

).
5.5.9 Мерзлотные пояса применяются при неглубоком залегании грунтовых и главным образом надмерзлотных вод, в условиях суровых малоснежных периодов отрицательных температур, при уклонах местности менее

.
5.5.10 Водонепроницаемые экраны применяют на пологих склонах с маломощным делювиальным слоем при неглубоком залегании подземных, надмерзлотных вод и подстилающего их водоупора. Водонепроницаемые экраны представляют траншеи, заполненные водонепроницаемым грунтом, железобетонными плитами или шпунтом. Ширину водонепроницаемого экрана из грунта принимают не менее 1,0 м, а низ заглубляют в водоупор не менее 0,25 м. При расчетном расходе грунтовых вод более 1 л/с вертикальный экран можно устраивать в комплексе с горизонтальным экраном и удерживающим наледь земляным валом или забором (рисунок 21). Горизонтальный экран представляет плоскую отмостку из бетонных плит или одиночного каменного мощения по поверхности лога. Этот участок принимает выходящие на поверхность грунтовые воды и обеспечивает их охлаждение и замерзание. Размеры горизонтального экрана и противоналедных удерживающих сооружений определяют расчетом в соответствии с
приложением Ж.

1 - вертикальный водонепроницаемый экран; 2 - горизонтальный
экран; 3 - площадь растекания наледи перед удерживающими
сооружениями; 4 - удерживающие сооружения (железобетонный
забор или земляной вал); 5 - автомобильная дорога;
6 - искусственное сооружение
Рисунок 21 - Схема мерзлотно-водонепроницаемого экрана
с удерживающим противоналедным забором
5.6 Проектирование временных противоналедных сооружений и устройств
5.6.1 Временные мерзлотные пояса, искусственные русла, водоотводные канавы, передвижные ограждения (заборы, щиты, валы), тепловые пояса, водопонижающие скважины, а также различные временные устройства из местных материалов относятся к противоналедным сооружениям с ограниченным сроком службы.
5.6.2 Ширину русла (канавы) по дну на ограждаемом участке определяют расчетом согласно
приложению Ж. Глубина противоналедной канавы должна быть не менее 1,5 и не более 3,0 м. Уклоны откосов канавы принимают от 1:1 до 1:1,5 в зависимости от состава грунтов русловой части с учетом устойчивости откосов от размывов расчетным потоком.
5.6.3 Размеры наледных поясов следует назначать на основе результатов теплотехнических расчетов. При расчетах глубину потока в пределах пояса рекомендуется принимать равной от 2 до 5 см, а ширину пояса - не менее 1,0 м. Допускается устраивать наледные пояса с перепадами высотой до 0,5 м.
5.6.4 Количество и расположение наледных поясов устанавливают с расчетом удержания полного объема наледи на необходимом расстоянии от выполненных объектов - земляного полотна или водопропускного сооружения
(приложение Ж).
5.6.5 Вид мерзлотных поясов и их количество, размеры полос расчистки, валов и канав следует назначать из условий задержания всего объема наледи. Причем глубину канав требуется принимать не менее 0,6 м, а ширину вала по верху - от 1,0 до 3,0 м, в зависимости от способов производства работ. Мерзлотные пояса следует размещать на расстоянии от 50 до 100 м от ограждаемого участка земляного полотна и друг от друга с расположением в плане. Концы канав необходимо врезать в борта лога и дну канав придавать продольный уклон не менее

.
5.6.6 Временные наледные пояса целесообразно применять на распластанных водотоках малого дебита (в зимний период до 2 л/с), временные мерзлотные пояса - на пологих склонах с неглубоким расположением горизонта грунтовых вод и сезонной толщиной снежного покрова до 0,5 м. Ширина пояса должна быть не менее 3 - 4 м из условия его нарезки бульдозером и механизированной очистки от снега в осенне-зимний период. Глубину пояса (от 0,1 до 1,0 м) определяют крутизной склонов, уклоном русла или положением подземного потока, переводимого в наледь. Количество мерзлотных поясов, как правило, должно быть не более 2. Удаляют мерзлотные пояса от ограждаемого сооружения на расстояние от 15 до 60 м и более. Грунтовый вал, формируемый при необходимости, располагают с верховой стороны при удалении от ограждаемого сооружения свыше 40 м и с низовой стороны при более близком расположении. При строительстве одновременно двух параллельных поясов грунтовые валы рекомендуется размещать, как показано на рисунке 22

1 - верхний мерзлотный пояс; 2 - верхний вал; 3 - снежный
покров; 4 - нижний мерзлотный пояс; 5 - нижний вал;
6 - ось дороги
Рисунок 22 - Схема расположения мерзлотных поясов
относительно дороги
5.6.7 Сборно-разборные заборы из досок или бревен, переносимые щиты следует устанавливать со сплошными стенками, без просветов. Количество заборов, их высоту и длину определяют в зависимости от размеров задерживаемой наледи и рельефа местности.
5.6.8 Для перехвата подземной или грунтовой воды и ее безналедного отвода от ограждаемого объекта в течение морозного периода следует устраивать тепловой пояс (рисунок 23). Его устраивает в виде канавы, утепленной в зимний период снегом или другими подручными материалами (мох, торф, хворост, хвоя), пенополистирольными плитами или полиэтиленовой пленкой.
а - расположение щитов вдоль оси пояса; б - расположение
щитов поперек пояса; 1 - колья; 2 - щиты; 3 - снежный вал;
4 - глубина сезонного промерзания; 5 - верхняя граница
вечномерзлых грунтов; 6 - подошва снежного вала,
7 - щитовые линии; 8 - тепловой пояс
Рисунок 23 - Схема теплового пояса
5.6.9 Для задержания снега на тепловом поясе используются щиты из дерева. Тепловой пояс целесообразно применять на наледных участках, расположенных в районах с относительно мягкой зимой и интенсивным отложением и переносом снега, на которых наблюдаются неглубокое залегание водоупора, сравнительно высокие расходы и температура подземной воды, а также отсутствие или глубокое расположение вечной мерзлоты.
5.7 Проектирование электронагревательных устройств
5.7.1 Для предупреждения образования наледей и создания необходимого температурного режима водотока используют электронагревательные устройства:
- трубчатые электронагреватели (ТЭНы);
- линейные нагреватели (греющий кабель, провод).
5.7.2 ТЭНы используют в смотровых колодцах дренажей, лотках, а также в тепляках выпусков. Ввиду большой удельной мощности ТЭНов и высокой температуры нагрева активная часть прибора должна находиться в воде, в местах с обеспеченным постоянным ее уровнем.
5.7.3 Линейные нагреватели осуществляют равномерный нагрев по длине водопропускного сооружения. В качестве линейных нагревателей используют: нагреватели керамические многореберные (НКМС), элемент нагревательный гибкий ленточный (ЭНГЛ) и др.
6 Требования к обеспечению охраны окружающей среды при проектировании противоналедных сооружений
6.1 При проектировании, строительстве, реконструкции, ремонте и эксплуатации противоналедных сооружений и мероприятий следует соблюдать требования к охране окружающей среды по
ГОСТ 17.1.3.13.
6.2 При проектировании противоналедных сооружений необходимо предусматривать специальные мероприятия по охране природной среды, включающие технические решения по рекультивации территории и места строительства, по охране леса и пастбищ, водоемов, водотоков и подземных вод.
6.3 Специальные мероприятия требуется включать в проекты противоналедных сооружений, основными из которых являются следующие:
- предварительное снятие почво-растительного слоя в местах заложения канав и траншей, складирование его и дальнейшее использование при восстановлении участка;
- фильтрующие и поглощающие устройства (канавы, скважины) во избежание загрязнения подземных вод должны быть ограждены от поступления бытовых стоков и горюче-смазочных веществ;
- каптажно-дренажные и водоотводные устройства в населенных пунктах и в местах выпаса животных должны быть закрыты и ограждены так, чтобы исключалась возможность загрязнения воды;
- участки применения электронагревательных устройств должны иметь соответствующие ограждения, а сами устройства - необходимую изоляцию, с тем чтобы исключить отрицательное воздействие тока на человека и окружающий животный мир;
- по окончании строительства противоналедных устройств проводят рекультивацию участка: возможное восстановление рельефа, засыпка карьеров и траншей, выравнивание отвалов и укрепление откосов канав, а также русел водотоков во избежание эрозионной деятельности последних;
- строительный мусор, остатки лесных порубок и бытовых отходов необходимо убрать или уничтожить.
6.4 Размещение противоналедных сооружений следует осуществлять с учетом прогноза изменения окружающей среды в связи с постройкой сооружений и освоением территории. Все технические решения при устройстве противоналедных мероприятий должны оказывать минимальное воздействие на сложившиеся природные комплексы.
6.5 Отходы, полученные в процессе строительства, ремонта и эксплуатации противоналедных сооружений и устройств, должны быть утилизированы в соответствии с действующими правилами и другими нормативными документами
[2],
[3].
6.6 При устройстве противоналедных мероприятий в границах водоохранных зон предусматривают организованный сбор воды с последующей ее очисткой или отводом в места, исключающие загрязнение водных объектов. Качество сбрасываемых очищенных сточных вод в водные объекты должно удовлетворять установленным требованиям.
6.7 Природоохранные мероприятия при устройстве противоналедных мероприятий должны учитывать специфику окружающей флоры и фауны, климата местности и почвенно-геологические условия, предотвращать загрязнения бассейнов поверхностных водных объектов и подземных вод жидкими и твердыми отходами, а также попадания в поверхностные и подземные воды загрязненных стоков.
6.8 Требования охраны окружающей природной среды необходимо включать во все проекты противоналедных сооружений и соблюдать при строительстве и эксплуатации автомобильных дорог по
ГОСТ 32847.
(рекомендуемое)
ПРОГНОЗИРОВАНИЕ РАСЧЕТНЫХ ПАРАМЕТРОВ НАЛЕДЕЙ
А.1.1 Расчет при проектировании мостов, труб и пойменных насыпей на воздействие наледей следует проводить по параметрам, которые должны быть определяемы и для водного потока с вероятностью превышения, указанной в
таблице 5.3 СП 35.13330.2011.
А.1.2 Основными параметрами наледей, которые используются при проектировании искусственных сооружений и противоналедных устройств, являются: объем наледи, ее толщина (средняя и максимальная), ширина и длина.
А.1.3 Развитие наледного процесса зависит от многих природных и техногенных факторов.
Для конкретного водотока гидрогеологические и геоморфологические условия ежегодно остаются неизменными, а гидрометеорологические факторы изменяются в годовом и многолетнем циклах. В зависимости от сочетания величин гидрометеорологических факторов в разные годы наледи образуются больших или меньших размеров.
А.2 Методика прогнозирования
А.2.1 Ежегодный объем наледи на рассматриваемом водотоке зависит от суммы жидких осадков в летне-осенний период предыдущего года и глубины промерзания.
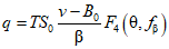
Прогнозирование параметров наледей поверхностных и подземных вод проводят вероятностным методом переходных коэффициентов, разработанным В.А. Дементьевым. Он может применяться при прогнозировании природных наледей, которые зафиксированы на водотоке при изысканиях трассы дороги и инженерно-геологическом обследовании.
При этом методе прогнозируемый объем наледи Vнр с заданной вероятностью превышения определяют по формуле

, (А.1)
где

- коэффициент надежности, принимаемый равным 1,20;
Vни - объем наледи в год изысканий (определяемый в апреле - марте) при наибольшем ее развитии;
kx, kf, kc - коэффициенты, учитывающие соответственно жидкие осадки в летне-осеннее время предыдущего года, сезонное промерзание и стеснение потока поверхностных и грунтовых вод строительством сооружения.
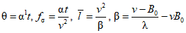
Коэффициент, учитывающий осадки

, (А.2)
где

- сумма жидких осадков с расчетной вероятностью превышения, определяется по кривой обеспеченности;

- сумма жидких осадков в летне-осенний период в год, предшествующий году определения объема природной наледи при изысканиях. Осадки вычисляют начиная с июля месяца.
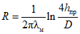
Коэффициент, учитывающий сезонное промерзание,

, (А.3)
где dfр - глубина сезонного промерзания с расчетной вероятностью превышения, определяют по кривой обеспеченности;
dfи - глубина сезонного промерзания в год изысканий (обследования наледи), определяют расчетом.
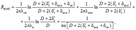
Коэффициент, учитывающий стеснение потока строительством сооружения,

, (А.4)
где

- площадь фильтрационной зоны по оси перехода до постройки сооружения;

- площадь стеснения фильтрационной зоны постройкой сооружения.
Коэффициент kc применяют только при проектировании вновь строящихся искусственных сооружений. Если прогнозирование проводят на водотоках у существующих сооружений, то этот коэффициент не учитывают. Не учитывают его при ключевых наледях, когда излив наледеобразующей воды происходит непосредственно на поверхность земли.
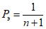
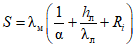
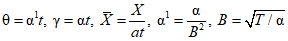
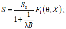
А.2.2 В многолетнем цикле изменчивость сумм жидких осадков и глубин сезонного промерзания носит случайный характер, поэтому их расчетные значения определяют на основе вероятностного прогноза по кривым обеспеченности. Для этого по данным ближайшей метеостанции за любые 20 - 25 последовательных лет составляют таблицы сумм жидких осадков в летне-осенний период, среднемесячных температур воздуха и толщины снежного покрова начиная с месяца наступления устойчивой отрицательной температуры воздуха и кончая месяцем со средней температурой не выше минус 12 °C. Осадки вычисляют для ряда лет, предшествующих годам промерзания.
Вычисленные суммы жидких осадков и глубины промерзания записывают в таблице ранжированными рядами в убывающем порядке с указанием года наблюдений
(таблица А 1). Для каждого порядкового номера ряда определяют эмпирическую вероятность превышения согласно
СП 33-101-2003 по формуле

, (А.5)
где i - порядковый номер ряда;
n - общее число членов ряда (количество лет наблюдений).
По данным
таблицы А.1 на специальной клетчатке вероятностей строят эмпирические кривые обеспеченности сумм жидких осадков и глубин промерзания, по которым экстраполяцией производят прогноз расчетных значений суммы жидких осадков и глубины промерзания с заданной вероятностью превышения.
При построении кривых обеспеченности по данным наблюдений за осадками и вычисленным глубинам промерзания получают ломаные линии, не отвечающие функциям

, (А.6)
Поэтому кривые аппроксимируют по методу наименьших квадратов. Определяют аналитическую функцию с лучшим приближением, например дробно-рационального вида

, (А.7)
которую принимают в качестве аппроксимирующей.
Таблица А.1
Ординаты аппроксимирующих кривых обеспеченности сумм
жидких осадков и глубины промерзания на реке
Порядковый номер ряда | Эмпирическая вероятность  | Сумма жидких осадков за июль - октябрь месяцы, мм | Глубина промерзания, м |
 , мм | Год наблюдений | df | Год наблюдений |
1 | 0,0385 | 356,996 | 1982 | 2,31866 | 1966 |
2 | 0,0769 | 329,181 | 1972 | 2,26028 | 1964 |
3 | 0,1158 | 305,387 | 1977 | 2,20477 | 1979 |
4 | 0,1538 | 284,8 | 1973 | 2,15192 | 1962 |
5 | 0,1923 | 266,814 | 1966 | 2,10154 | 1977 |
6 | 0,2308 | 250,965 | 1985 | 2,05347 | 1981 |
7 | 0,2692 | 236,893 | 1983 | 2,00754 | 1079 |
8 | 0,3077 | 224,316 | 1978 | 1,96363 | 1984 |
9 | 0,3462 | 213,007 | 1975 | 1,9216 | 1975 |
10 | 0,3846 | 202,783 | 1974 | 1,88133 | 1982 |
11 | 0,4231 | 193,496 | 1984 | 1,84271 | 1968 |
12 | 0,4615 | 185,022 | 1961 | 1,80564 | 1970 |
13 | 0,5000 | 177,259 | 1969 | 1,77004 | 1983 |
14 | 0,5385 | 170,121 | 1979 | 1,73581 | 1973 |
15 | 0,5769 | 163,536 | 1962 | 1,70289 | 1978 |
16 | 0,6154 | 157,442 | 1967 | 1,67119 | 1963 |
17 | 0,6538 | 151,786 | 1968 | 1,64064 | 1976 |
18 | 0,6923 | 146,522 | 1970 | 1,6112 | 1074 |
19 | 0,7308 | 141,611 | 1976 | 1,58279 | 1985 |
20 | 0,7692 | 137,018 | 1980 | 1,55536 | 1969 |
21 | 0,8077 | 132,714 | 1981 | 1,52887 | 1971 |
22 | 0,8462 | 128,672 | 1963 | 1,50327 | 1965 |
23 | 0,8846 | 124,869 | 1965 | 1,47851 | 1986 |
24 | 0,9231 | 121,284 | 1971 | 1,45456 | 1980 |
25 | 0,9616 | 117,9 | 1964 | 1,73136 | 1967 |
А.2.3 При прогнозировании объема наледи с заданной вероятностью превышения следует найти такие расчетные вероятности суммы жидких осадков и глубины промерзания, произведение которых равно заданной обеспеченности объема наледи

, (А.8)
где P(Vнр) - заданная (нормативная) вероятность превышения объема наледи;

- расчетная вероятность превышения суммы жидких осадков;
P(dfр) - расчетная вероятность превышения глубины сезонного промерзания.
Неизвестные

и
P(
dfр) в
уравнении (А.8) определяют из условия, когда соотношение между ними соответствует году изыскании (наблюдений)

, (А.9)

, (А.10)

, (А.11)
где

- отношение вероятности суммы жидких осадков к вероятности глубины промерзания в год изысканий.
Определив расчетные вероятности суммы жидких осадков и глубины промерзания, их значения откладывают на горизонтальной оси графика обеспеченности (рисунок А.1), проводят вертикали до пересечения с кривыми обеспеченности; от точек пересечения проводят горизонтальные линии до шкал

и
df, на которых отсчитывают значения расчетных сумм жидких осадков и глубины промерзания. При этом шкалу сумм жидких осадков размещают на левой стороне графика, а глубин промерзания - на правой.
Рисунок А.1 - Кривые обеспеченности сумм жидких осадков
и глубин промерзания на водотоке (смешанное питание)
А.2.4 Для определения по
формуле (А.8) коэффициента
kc, учитывающего стеснение потока постройки сооружения, площадь фильтрационной зоны вычисляют по формуле

, (А.12)
где hфi и hф(i+1) - ординаты толщины фильтрационной зоны в точках перелома профиля подземного контура фильтрации (расстояния от уровня сезонного промерзания в бытовых условиях до водоупора);
ai - расстояния между точками перелома профиля фильтрационной зоны.
При определении площади стеснения постройкой мостов учитывают стеснение опорами с намерзающим вокруг них грунтом и слоем дополнительного промерзания под пролетами моста, так как под мостами обычно снежного покрова не бывает. При принятых на
рисунке А.2 обозначениях площадь стеснения

, (А.13)
где nоп и nпр - соответственно количество опор и пролетов моста;
b и
b1 - соответственно ширина опоры и толщина намерзшего вокруг опоры слоя грунта
(таблица А.2);
df и

- глубина сезонного промерзания соответственно на водотоке и под мостом;
d - глубина заложения опор;
l - длина пролетов моста в свету между опорами.
1 - поверхность земли; 2 - осенний уровень грунтовых вод;
3 - граница сезонного промерзания в бытовых условиях;
4 - граница сезонного промерзания под пролетами моста;
5 - граница намерзания грунта вокруг опор;
6 - водоупор (BФЗ - ширина фильтрационной зоны)
Рисунок А.2 - Схема стеснения фильтрационного потока
постройкой моста
При стеснении фильтрационного потока опорами моста или фундаментом трубы часть потока отжимается в соседние зоны фильтрации на поймах. Ширину фильтрационной зоны можно принимать равной расстоянию между точками смыкания границы сезонного промерзания с водоупором, но не более: для мостов 10L при L до 20 м и 5L при L более 20 м; для труб 10D, где L и D - длина отверстий соответственно моста и трубы.
Определив переходные коэффициенты
kx,
kf и
kc по
формуле (А.8), определяют объем наледи с заданной вероятностью превышения.
А.2.5 При проектировании искусственных сооружений наибольшее значение имеет толщина наледи, так как от нее зависит необходимая высота отверстия и пойменных насыпей. Зная объем наледи с заданной вероятностью превышения, объем и среднюю толщину наледи в год изысканий, можно определить среднюю расчетную толщину наледи по наледной поляне

, (А.14)
где Zсрр и Zсри - средняя толщина наледи по наледной поляне соответственно расчетная и в год изысканий;
Vнр и Vни - объем наледи соответственно расчетный с нормативной (заданной) вероятностью превышения и в год изысканий.
После постройки искусственного сооружения с небольшим отверстием место с максимальной толщиной наледи часто располагается у сооружения, поэтому отверстия искусственных сооружений необходимо проектировать по максимальной расчетной толщине наледи, которую определяют по формуле

;

, (А.15)
где

- коэффициент формы наледи, определяемый при ледомерной съемке;
Zсрр - средняя толщина по наледной поляне;
Zmaxи и Zсри - толщина наледи на наледной поляне соответственно максимальная и средняя.
А.2.6 Определение объема и средней толщины наледи связано с необходимостью ледомерных съемок по предварительно установленным ледомерным вехам или буровым скважинам. Для распластанных речных долин с плоским, относительно ровным дном прогнозирование расчетной (максимальной) толщины наледи с заданной вероятностью превышения в отдельных случаях можно приближенно производить по максимальной толщине наледи, определенной в год изысканий, по формуле

, (А.16)
где

- коэффициент надежности, принимаемый равным 1,20;
Zmaxи - максимальная толщина наледи в год изысканий.
А.2.7 Расчетная ширина наледи Bнр может быть определена по ее расчетной толщине графическим путем. Для этого вычерчивают в масштабе поперечное сечение речной долины или лога по оси перехода, наносят линию уровня расчетной толщины наледи и по горизонтальному расстоянию между точками пересечения линии уровня наледи с поверхностью земли определяют ширину наледи у сооружения.
Расчетная длина наледи lнр в небольших логах может быть определена простейшим геометрическим построением. Принимая продольный уклон поверхности наледи с заданной вероятностью превышения равным уклону наледи в год изысканий, из подобия треугольников получают длину прогнозируемой наледи

, (А.17)
где lни - длина наледи в год изысканий.
Таблица А.2
Толщина намерзания грунта вокруг опор
b1 в зависимости
от продолжительности морозного периода, средней температуры
воздуха, ширины опоры b и глубины от поверхности x
Ширина опоры b, м | Толщина намерзания b1, м, при x, м, равном |
2 | 3 | 4 | 5 | 6 |
| tВОЗ = -15 °C;  |
0,5 | 0,213 | 0,204 | 0,190 | 0,176 | 0,168 |
1,0 | 0,300 | 0,288 | 0,270 | 0,252 | 0,228 |
1,5 | 0,365 | 0,357 | 0,331 | 0,305 | 0,275 |
| tВОЗ = -20 °C;  |
0,5 | 0,248 | 0,237 | 0,217 | 0,203 | 0,184 |
1,0 | 0,348 | 0,330 | 0,308 | 0,288 | 0,264 |
1,5 | 0,435 | 0,373 | 0,387 | 0,352 | 0,320 |
| tВОЗ = -20 °C;  |
0,5 | 0,260 | 0,255 | 0,235 | 0,231 | 0,227 |
1,0 | 0,372 | 0,360 | 0,334 | 0,328 | 0,322 |
1,5 | 0,455 | 0,440 | 0,407 | 0,400 | 0,394 |
| tВОЗ = -25 °C;  |
0,5 | 0,293 | 0,286 | 0,264 | 0,280 | 0,258 |
1,0 | 0,416 | 0,400 | 0,375 | 0,391 | 0,360 |
1,5 | 0,509 | 0,490 | 0,456 | 0,478 | 0,442 |
Примечание - Глубина от поверхности  . |
На реках наледи иногда имеют длину несколько километров. В таких случаях длину прогнозируемой наледи определяют непосредственными измерениями размеров наледной поляны.
А.3 Прогнозирование параметров наледей смешанного питания
А.3.1 Большинство наледей на небольших реках имеет смешанное питание. В начале своего развития наледь питается речными водами. Когда водоток промерзает до дна, питание происходит грунтовыми подрусловыми водами и во многих случаях подземными источниками, разгружающимися в речной аллювий.
А.3.2 Прогнозирование расчетных параметров наледей этого типа проводят изложенным выше вероятностным методом переходных коэффициентов.
По данным ближайшей метеостанции для 20 - 25 последовательных лет составляют таблицы среднемесячных температур воздуха, толщины снежного покрова и сумм жидких осадков. Продолжительность периодов промерзания и жидких осадков принимают с учетом климатических условий согласно
А.2.2.
Сначала для каждого года определяют время, необходимое для промерзания поверхностного потока воды глубиной hв. Глубину воды принимают средней по ширине живого сечения. Ее определяют от уровня ледостава при ледомерной съемке, когда река бывает промерзшей до дна, и измеряют толщину образовавшегося льда hл.
Время, необходимое для нарастания льда толщиной hл,

, (А.18)
где Lv - скрытая объемная теплота льдообразования, Дж/м3;
hл и hс - соответственно толщина льда и снега, м;

и

- соответственно коэффициент теплопроводности льда и снега, Вт/(м·°C);
tв - среднемесячная температура воздуха, °C;

- коэффициент теплоотдачи, Дж/(м
2·с·°C).
Вычисленное по
формуле (А.18) количество дней, необходимых для промерзания поверхностного потока, вычитают из общего количества дней периода промерзания. В оставшееся время происходит промерзание грунтового подруслового потока. Глубину его промерзания для каждого года ряда лет определяют по формуле В.С. Лукьянова

, (А.19)
где 0,8 - понижающий коэффициент, вводится по согласованию с ВНИИ транспортного строительства в связи с тем, что
формула (А.19) не учитывает фильтрацию и тепловой поток к фронту промерзания от нижележащего грунта;

- коэффициент теплопроводности мерзлого грунта;
tв - средняя температура воздуха за период промерзания, °C;
tз - температура замерзания грунта, °C;
t - длительность периода промерзания, с;
q - расход тепла на замерзание 1 м3 грунта, Дж/м3;
Cм - объемная теплоемкость мерзлого грунта, Дж/(м3·°C);
S - средняя за зиму толщина эквивалентного слоя, характеризующая условия теплоизоляции грунта, м.
Средняя за период промерзания грунта толщина эквивалентного слоя теплоизоляции снежного и ледяного покрова

, (А.20)
где hл - толщина льда при промерзании поверхностного потока, м;

- коэффициент теплоотдачи, Дж/(м
2·с·°C);
Ri - средневзвешенное термическое сопротивление снежного покрова, вычисляемое по формуле

, (А.21)
где hij - среднемесячная толщина снежного покрова i-го года и j-го месяца, м;

- коэффициент теплопроводности снежного покрова
j-го месяца;
tij - среднемесячная температура воздуха i-го года и j-го месяца, °C.
А.3.3 Вычисленные глубины промерзания грунта суммируют с толщиной льда промерзания поверхностного потока. Суммарные глубины промерзания и суммы жидких осадков записывают в таблице ранжированными рядами с указанием эмпирической вероятности превышения. По данным таблицы на специальной клетчатке строят кривые обеспеченности (см.
рисунок А.1).
Затем по
формулам (А.1) -
(А.4) определяют расчетные вероятности сумм жидких осадков и глубин промерзания, которые откладывают на горизонтальной оси графика (см.
рисунок А.1) и по кривым обеспеченности наводят расчетные сумму жидких осадков и глубину промерзания. После этого по
формулам (А.1) -
(А.4) вычисляют переходные коэффициенты, а затем по
формулам (А.1),
(А.14) и
(А.15) - прогнозируемые объем наледи, ее среднюю и максимальную толщину.
А.4 Прогнозирование параметров наледей подземных вод
А.4.1 К этой группе относятся все наледи, которые питаются водами, фильтрующими по рыхлым отложениям как верхнего водоносного горизонта, так и глубинных источников, разгружающихся в указанные отложения. Сюда относятся небольшие водотоки, на которых поздней осенью поверхностной воды в русле не бывает. Сток зимой происходит фильтрацией в речном аллювии.
А.4.2 Прогнозирование расчетных параметров наледей подземных вод проводят так же, как и наледей смешанного питания, вероятностным методом переходных коэффициентов.
Так как поверхностного зимнего стока нет, глубину промерзания определяют только для грунтового потока. Для ряда 20 - 25 лет составляют таблицы среднемесячных температур воздуха, сумм жидких осадков и толщины снежного покрова. По
формуле (А.16) вычисляют глубины промерзания грунта. Суммы жидких осадков и глубины промерзания записывают в таблице ранжированными рядами и строят кривые обеспеченности. По
формулам (А.8) -
(А.9) определяют расчетные вероятности

и
dfр и по кривым обеспеченности находят расчетные сумму жидких осадков и глубину промерзания.
А.5 Прогнозирование параметров наледей поверхностных вод
А.5.1 К этому типу относятся наледи, которые питаются только поверхностными водами. Они развиваются на реках со значительной глубиной воды. Зимой такие реки до дна не промерзают. Поэтому при прогнозировании учитывают стеснение потока только нарастанием речного льда.
| | ИС МЕГАНОРМ: примечание. В официальном тексте документа, видимо, допущена опечатка: п. А.1.5 отсутствует. | |
А.5.2 Как при наледях смешанного питания, при прогнозировании наледей поверхностных вод для ряда 20 - 25 лет составляют таблицы среднемесячных температур воздуха согласно указаниям пункта А.1.5, толщины снежного покрова и сумм жидких осадков.
Толщину нарастания льда при промерзании поверхностного потока определяют по формуле

, (А.22)
где hэ - эквивалентная толщина льда, определяемая по формуле

, (А.23)
где hло - начальная толщина льда, м;

- период промерзания, сут.

и

- соответственно коэффициент теплопроводности льда и снега, Вт/(м·°C);

- коэффициент теплоотдачи, Дж/(м
2·с·°C).
Вычисленные толщины льда и суммы жидких осадков записывают в таблице ранжированными рядами с указанием эмпирической вероятности превышения. По данным таблицы строят кривые обеспеченности

и
hл.
По
формулам (А.8) -
(А.19) определяют расчетные вероятности сумм жидких осадков и толщины нарастания льда, по кривым обеспеченности находят расчетные сумму жидких осадков и толщину нарастания льда.
По
формулам (А.2) -
(А.4) вычисляют переходные коэффициенты, а затем по
формулам (А.1),
(А.4) и
(А.14) - прогнозируемые объем наледи, ее среднюю и максимальную толщину. При этом во все формулы вместо глубины промерзания
df подставляют толщину льда
hл.
А.6 Прогнозирование параметров ключевых наледей
А.6.1 Ключевые наледи формируются подземными водами глубинных источников, выходящих непосредственно на поверхность в виде ключей (на склонах речных долин, из разломов обнаженных коренных пород). Объем ключевой наледи зависит от дебита источника и продолжительности морозного периода. Дебит подземных источников изменяется в зависимости от количества предшествующих жидких осадков.
А.6.2 Прогнозирование расчетных параметров ключевых наледей проводят также вероятностным методом переходных коэффициентов. Прогнозируемый объем ключевой наледи

с заданной вероятностью превышения определяют по формуле

, (А.24)
где

- коэффициент надежности, принимаемый равным 1,20;

- объем ключевой наледи в год изысканий (определяемый весной в конце морозного периода);
kx и

- коэффициенты, учитывающие соответственно жидкие осадки и продолжительность морозного периода.
Коэффициент, учитывающий осадки

, (А.25)
где

- сумма жидких осадков с расчетной вероятностью превышения, определяемая по кривой обеспеченности;

- сумма жидких осадков в летне-осенний период в год, предшествующий году определения объема природной наледи. Осадки вычисляют начиная с июня.
Коэффициент, учитывающий продолжительность морозного периода

, (А.26)
где

- продолжительность морозного периода с расчетной вероятностью превышения, определяется по кривой обеспеченности, сут;

- продолжительность морозного периода в год изысканий (определения объема наледи), сут.
А.6.3 По данным метеостанции для ряда 20 - 25 лет составляют таблицы сумм жидких осадков и продолжительности морозного периода, которые располагаются ранжированными рядами с указанием эмпирической вероятности превышения. По данным таблицы, на клетчатке вероятностей строят кривые обеспеченности сумм жидких осадков и продолжительности морозного периода.
Определяют расчетные вероятности превышения суммы жидких осадков и продолжительности морозного периода по формулам:

; (А.27)

, (А.28)
где P(Vнр) - заданная (нормативная) вероятность превышения объема наледи.
Определив расчетные вероятности суммы жидких осадков и продолжительности морозного периода, по кривым обеспеченности находят расчетную сумму жидких осадков и продолжительность морозного периода. После этого по
формулам (А.23) и
(А.25) вычисляют переходные коэффициенты, затем по
формулам (А.14),
(А.15) и
(А.24) - прогнозируемые объем наледи, ее среднюю и максимальную мощность.
А.7 Прогнозирование параметров наледей на потенциально наледных водотоках
А.7.1 К этой группе относятся водотоки, на которых в период изысканий природные наледи не обнаружены, но по данным гидрогеологического и мерзлотно-геологического обследования в суровые зимы и после дождливой осени они могут развиваться. Строительство дорожных сооружений нарушает естественный водно-тепловой режим водотока. Во многих случаях это приводит к активизации наледного процесса. Наледи могут появиться там, где раньше их не было.
А.7.2 Расчетные толщины наледей поверхностных вод средняя и максимальная

и

, вызванных нарушением естественных водно-тепловых условий водотока при строительстве и образующихся по схеме I-а
(рисунок А.3), могут быть определены по формулам

; (А.29)

, (А.30)
где

- коэффициент надежности, принимаемый равным 1,20;
D - параметр, значения которого определяют по графикам
(рисунок А.4) в зависимости от отношения величин
hп/(
Hв -
df);
Hв - глубина потока в начале ледостава;
df - глубина промерзания выше стесненного участка;
hп - глубина потока в зоне стеснения;
l - уклон водотока;
hс - толщина снега, м;

- плотность снега;

- коэффициент формы наледи.
I-а - на поверхностных водотоках;
II-а - при грунтовом потоке:
1 - речной лед; 2 - снег; 3 - аллювиальные отложения;
4 - водоупор; 5 - мерзлый грунт; Q2 - излив
наледеобразующей воды
Рисунок А.3 - Схемы образования наледей, вызванных
нарушением естественных водно-тепловых условий
А.7.3 Расчетная толщина наледей грунтовых вод, вызванных нарушением естественных условий при строительстве и образующихся по схеме II-а (см.
рисунок А.3), может быть определена по формуле

, (А.31)
где

; (А.32)

; (А.33)

; (А.34)

; (А.35)

; (А.36)

,
где

- коэффициент сопротивления грунтовой перемычки;

- коэффициент, значения которого определяют из условий (
А.35,
А.36);
dfм - максимальная глубина промерзания под искусственным сооружением или на естественном участке, м;

- глубина залегания зеркала грунтовых вод, м;

- коэффициент, определяемый в зависимости от отношения глубины залегания зеркала грунтовых вод к глубине залегания водоупора:
| 0,03 | 0,05 | 0,10 | 0,15 | 0,20 | 0,25 | 0,30 |
| 0,26 | 0,35 | 0,47 | 0,60 | 0,67 | 0,73 | 0,80 |
Максимальная толщина грунтовой наледи

. (А.37)
а - при малых значениях D; б - при больших значениях D
Рисунок А.4 - Графики для определения
параметра
D при

Если перед ледоставом на водотоке наблюдается поверхностный сток, параметры наледи смешанных вод могут быть определены по формулам

; (А.38)

. (А.39)
(рекомендуемое)
РЕКОМЕНДАЦИИ ПО ПРОЕКТИРОВАНИЮ СПЕЦИАЛЬНЫХ
ВОДОПРОПУСКНЫХ И ИСКУССТВЕННЫХ СООРУЖЕНИЙ
Б.1 Свободный пропуск наледей через зону мостовых сооружений
Б.1.1 Мосты на водотоках с наледями необходимо проектировать по принципу свободного пропуска (рисунок Б.1). Преимущество данного принципа проектирования состоит в том, что при свободном пропуске наледеобразующая вода небольшими слоями свободно стекает через отверстие искусственного сооружения в низовую сторону, постепенно наращивая мощность наледного льда. Если отверстие сооружения и пойменные насыпи имеют высоту более максимального уровня наледи и запас для стока весенних вод, то никаких работ по борьбе с наледью в течение всей зимы не требуется.
а - фасад моста; б - опора с вертикальными сваями;
в - опора на двух вертикальных сваях-столбах; г - опора
на двух наклонных сваях-столбах; д - одностолбчатая опора;
1 - уровень ледостава; 2 - отметка заложения опор
Рисунок Б.1 - Конструкция свайно-эстакадных мостов
на водотоках с наледями
Б.1.2 На водотоках с наледями высота подмостового габарита
HГ должна обеспечивать свободный пропуск в течение всего зимнего периода наледеобразующих вод и весеннего паводка по поверхности наледи
(рисунок Б.2). Это условие определяют по формуле

, (Б.1)
где Zmaxр - максимальная толщина наледи с заданной обеспеченностью;
hв - высота, необходимая для пропуска по наледи расчетного расхода весенних вод;

- просвет от расчетного уровня воды до низа пролетного строения, принимаемый по
разделу 5 СП 35.13330.2011.
Б.1.3 Так как на водотоках с наледями русло блуждает, фундаменты всех промежуточных опор моста необходимо закладывать на одной отметке, вычисляя ее от отметки дна русла в наиболее глубоком месте русла. Глубину заложения определяют по условиям обеспечения устойчивости опоры при расчетном расходе воды с учетом возможного размыва согласно указаниям
СП 35.13330.2011.
Б.1.4 На водотоках с блуждающим руслом необходимо обеспечить проведение работ, фиксирующих русло в проектном положении.
Б.1.5 Пойменные насыпи на подходах к искусственным сооружениям целесообразно отсыпать из дренирующих грунтов. Бровка земляного полотна подходов должна возвышаться над прогнозируемым уровнем наледи расчетной обеспеченности не менее 0,5 м.
УВВ - уровень высокой воды; УНР - уровень наледи расчетный;
УНИ - уровень наледи в год изысканий; УЛ - уровень ледостава
Рисунок Б.2 - Схема для определения подмостового габарита
и глубины заложения опор моста на водотоках с наледями
Б.2 Проектирование водопропускных труб
Б.2.1 Водопропускные трубы следует проектировать на водотоках с небольшими наледями, когда их прогнозируемая толщина с расчетной обеспеченностью не превышает 2/3 высоты отверстия трубы. В необходимых случаях трубы следует проектировать в комплексе с противоналедными устройствами.
Б.2.2 При благоприятных грунтовых условиях (гравий, галька, пески) на водотоках с наледями можно применять прямоугольные или круглые трубы на гравийно-песчаных подушках или фундаментах из сборных плит без противофильтрационных экранов (рисунок Б.3, а, б). Чтобы глубина промерзания под трубой не превышала глубину промерзания в бытовых условиях, в основании трубы в ряде случаев могут быть сделаны теплоизоляционные подушки (рисунок Б.3).
а - прямоугольная труба на фундаменте из сборных плит;
б - круглая на гравийно-песчаной подушке;
в - круглая на фундаменте из лекальных железобетонных блоков
с теплоизоляционной подушкой; 1 - граница укрепления откоса;
2 - сборные звенья трубы; 3 - фундамент из сборных
железобетонных плит; 4 - уровень грунтовых вод;
5 - граница сезонного промерзания; 6 - водоупор;
7 - гравийно-песчаная подушка; 8 - лекальные блоки
фундамента; 9 - теплоизоляционная подушка
Рисунок Б.3 - Конструкция труб на водотоках с наледями
при благоприятных грунтовых условиях
Б.2.3 Толщина теплоизоляционной подушки HТП под трубой при применении естественных теплоизоляционных материалов:

, (Б.2)

, (Б.3)
где
dfф и
df - глубина промерзания соответственно под фундаментом трубы при отсутствии теплоизоляционной подушки и с верховой стороны трубы в естественных условиях (определяют по
формуле Б.4);
hф - толщина плиты фундамента, м;

и

- коэффициенты теплопроводности соответственно мерзлого грунта и материала теплоизоляционной подушки, Вт/(м·°C);
LГР и LТП - количество скрытой теплоты льдообразования соответственно в единице объема грунта и материала теплоизоляции, Дж/м3.

, (Б.4)
где 0,8 - понижающий коэффициент, вводится по согласованию с ВНИИ транспортного строительства в связи с тем, что
формула (А.15) не учитывает фильтрацию и тепловой поток к фронту промерзания от нижележащего грунта;

- коэффициент теплопроводности мерзлого грунта;
tв - средняя температура воздуха за период промерзания, °C;
tз - температура замерзания грунта, °C;

- длительность периода промерзания, с;
q - расход тепла на замерзание 1 м3 грунта, Дж/м3;
Cм - объемная теплоемкость мерзлого грунта, Дж/(м3·°C);
S - средняя за зиму толщина эквивалентного слоя, характеризующая условия теплоизоляции грунта, м.
Толщину теплоизоляционной подушки из искусственных материалов (экстрадированный полистирол) определяют из условия, что глубина промерзания под фундаментом трубы была не более глубины промерзания в естественных условиях. При этом глубину промерзания под фундаментом определяют при термическом сопротивлении, вычисляемом по формуле

, (Б.5)
где
hф и

- соответственно толщина и коэффициент теплопроводности фундамента;
H
ТП и

- толщина и коэффициент теплопроводности теплоизоляционной подушки.
При слабых и многолетнемерзлых грунтах в основании (сильно льдистых и пучинистых) могут быть применены круглые железобетонные трубы на свайном основании (рисунок Б.4).
1 - граница укрепления откоса; 2 - сборные звенья трубы
длиной 2 - 3 м; 3 - железобетонная насадка; 4 - граница
сезонного промерзания; 5 - сваи на расстоянии, равном длине
сборных звеньев трубы; 6 - уровень грунтовых вод;
7 - верхняя граница многолетней мерзлоты
Рисунок Б.4 - Конструкция круглой железобетонной трубы
на однородном свайном основании
При этой конструкции длинномерные звенья трубы (2 - 3 м) опираются на фасонные насадки свай. Конструкция таких труб обеспечивает минимальное нарушение естественного мерзлотно-технологического режима водотоков. При аналогичных условиях и наледях (несколько больших размеров в отдельных случаях) может быть целесообразна свайно-щитовая труба (рисунок Б.5).
1 - насыпь; 2 - защитный слой цементного раствора;
3 - гидроизоляция; 4 - плита перекрытия; 5 - насадки
(ригели); 6 - закладные плиты; 7 - сваи; 8 - верхняя граница
многолетней мерзлоты; 9 - растительный мохо-торфяной слой;
10 - укрепление растительного слоя деревянным настилом,
покрытым галькой и гравием; 11 - щебеночная подушка
Рисунок Б.5 - Конструкция железобетонной
свайно-щитовой трубы
Б.2.4 В глубоких логах и наледях большой толщины рациональна конструкция двухъярусной трубы, предложенная С.И. Гапеевым (рисунок Б.6).
1 - железобетонные звенья трубы; 2 - отверстия
в железобетонных звеньях размером 0,5 x 1,0 м;
3 - крылья оголовка; 4 - полые сборные звенья
фундамента, заполняемые камнем и галькой
Рисунок Б.6 - Железобетонная двухъярусная труба
для водотоков с наледями
Б.2.5 Фундамент трубы состоит из железобетонных полых звеньев, заполняемых камнем и галькой. На фундаментные блоки в два яруса устанавливают прямоугольные блоки трубы и крылья оголовков. По высоте труба имеет два отверстия размером 2 x 2 м. Между верхним и нижним ярусами в звеньях трубы делают отверстия размером 0,5 x 1,0 м. Если зимой образуется наледь толщиной 2,5 - 3,0 м и нижний ярус трубы окажется заполненным льдом, паводковые воды будут проходить через отверстия между ярусами трубы, и лед нижнего яруса будет подвергаться быстрому термоэрозионному разрушению.
Б.2.6 В районах с местными каменными материалами трубы на водотоках с наледями целесообразно строить в комплексе с фильтрующими насыпями. Нижнюю часть насыпи на высоту 1,0 - 1,5 м возводят из камня, над которой устанавливают трубу (рисунок Б.7). Фильтрующая насыпь выполняет роль фундамента трубы и одновременно пропускает малые расходы воды. Труба, поднятая на высоту 1,0 - 1,5 м над дном лога, меньше подвержена затоплению наледью. Весной она обеспечивает пропуск максимального расхода воды, а затем большую часть года находится в сухом состоянии, что увеличивает ее долговечность.
1 - насыпь; 2 - дренирующий грунт; 3 - сборные звенья
круглой трубы; 4 - фильтрующая насыпь
Рисунок Б.7 - Железобетонная труба с фильтрующей насыпью
На суходолах с небольшими расходами и возможностью образования наледей малой толщины (не более 0,4 м) вместо труб допускается возводить фильтрующие насыпи (рисунок Б.8).
1 - грунт; 2 - каменная отсыпка
Рисунок Б.8 - Фильтрующая насыпь
(рекомендуемое)
РАСЧЕТЫ СИСТЕМ ТРУБЧАТОГО ДРЕНАЖА
В.1 Методика расчета притока и понижения уровня грунтовых вод
В.1.1 Понижение уровня грунтовых вод в зоне действия однолинейного дренажа совершенного типа
(рисунок В.1) и единичный односторонний приток воды, поступающей к нему, определяют по формулам

, (В.1)

, (В.2)

.
Рисунок В.1 - Схема к расчету однолинейного горизонтального
дренажа совершенного типа
Значения функций

и

определяют по графикам, представленным соответственно на рисунках В.2,
В.3.
Рисунок В.2 - График функции

Рисунок В.3 - График функции

В.1.2 Понижение уровня грунтовых вод в зоне действия однолинейного дренажа несовершенного типа
(рисунок В.4) и единичный односторонний приток воды, поступающей к нему, определяют по формулам

(В.3)

; (В.4)

.
Рисунок В.4 - Схема к расчету однолинейного горизонтального
дренажа несовершенного типа
В.1.3 Расчет двухлинейного дренажа совершенного и несовершенного типов состоит в определении понижения уровня грунтовых вод в наружной и внутренней зонах и притока к нему из этих зон.
Понижение уровня грунтовых вод во внутренней зоне двухлинейного дренажа совершенного типа определяют по формулам:

, (В.5)

.
Единичный приток воды, поступающей к дренам из внутренней зоны двухлинейного дренажа совершенного типа

, (В.6)

.
Понижение уровня грунтовых вод в наружной зоне действия двухлинейного дренажа несовершенного типа
(рисунок В.9) определяют по
формуле (В.3), а единичный приток воды к дренажу из этой зоны - по
формуле (В.4).
Рисунок В.5 - Графики для определения величины

В.1.4 Понижение уровня грунтовых вод во внутренней зоне двухлинейного дренажа несовершенного типа определяют из выражения

, (В.7)

.
Значения функций

и

принимаются соответственно по графикам, представленным на
рисунках В.2 и
В.3.
Единичный приток воды, поступающий к дренам из внутренней зоны двухлинейного дренажа несовершенного типа, рассчитывается по формуле

, (В.8)

.
Значения функции

определяют по графику (см.
рисунок В.7).
В
формулах (В.1) -
(В.8) приняты следующие обозначения:
Q - расход дренажа, м
3/сут;
t - время, сут;
a - коэффициент уровнепроводности, можно принять равным 15 - 50 м
2/сут для суглинков, 50 - 100 м
2/сут для супесей;
T - водопроводимость пласта м
2/сут;

- параметр, учитывающий дополнительное поступление воды из капиллярной зоны и за счет сжатия грунтового потока, можно принять равным

для суглинков,

для супесей; в
0 - ширина полосы инфильтрации, м;

- расстояние от оси дренажа до точки, в которой определяется понижение уровня грунтовых вод, м;

,

,

,
y - расчетные параметры, определяемые по графику или по формулам;
v - расстояние от оси симметрии до оси дренажа в схеме двухлинейного горизонтального дренажа совершенного типа, м.
Рисунок В.6 - Схема к расчету двухлинейного горизонтального
дренажа совершенного типа
Рисунок В.7 - Графики функции

Рисунок В.8 - Графики функции

Рисунок В.9 - Схема к расчету двухлинейного горизонтального
дренажа несовершенного типа
(рекомендуемое)
МЕТОДИКА ТЕПЛОТЕХНИЧЕСКОГО РАСЧЕТА ВЫПУСКА ВОДЫ
ИЗ ЗАКРЫТОГО ДРЕНАЖА
Расчет выполняют в такой последовательности:
Г.1.1 Определяют термическое сопротивление трубопровода отводной линии, R, м2·°C/Вт:

, (Г.1)
где

- коэффициент теплопроводности мерзлого грунта, Вт/м·°C,
hпр - приведенная глубина заложения трубопровода на участке отводной линии, м; определяют по формуле

, (Г.2)
где h - глубина заложения трубопровода от поверхности земли, м;

,

- толщина, м, и коэффициент теплопроводности снежного покрова, Вт/м·°C;

,

- толщина, м, и коэффициент теплопроводности слоя теплоизоляции траншеи, Вт/м·°C;
dт - диаметр талика вокруг трубопровода, м;
D - наружный диаметр трубопровода, м;

- коэффициент теплопроводности талого грунта, Вт/м·°C.
Г.1.2 Назначают вариант открытого выпуска с конструкцией выпускного оголовка в виде трубопровода под обваловкой со скошенным торцом и подпорной стенкой со стороны водоотводной канавы (
рисунок Г.1, а).
Размеры этой конструкции выпускного оголовка определяют из условия
Rв >= R, (Г.3)
где Rв - термическое сопротивление трубопровода на участке выпуска, м2·°C/Вт;

, (Г.4)
где Rв(об) и Rвн - термическое сопротивление теплопередаче соответственно в атмосферу через обваловку трубопровода и подземного трубопровода в окружающий грунт, м2·°C/Вт;

- эффективный угол рассеивания тепла трубопровода в атмосферу, учитывающий влияние подпорной стенки, град.
Величину Rв(об) определяют по формуле

(Г.5)
где

,

,

- толщина слоя, м, соответственно - грунта, наружной теплоизоляции конструкции и снега (см.
рисунок Г.1, б);

- коэффициент теплоотдачи поверхности, принимаемый равным 20 ккал/ч·м
2·°C (23,2 Вт/м
2·°C).
а - конструкция оголовка выпуска открытого типа;
б - схема к определению угла

;
1 - трубопровод;
2 - теплоизоляция трубы; 3 - грунт обваловки;
4 - теплоизоляция обваловки; 5, 6 - застенная и съемная
теплоизоляция; 7 - подпорная стенка; 8 - откос водоотводной
канавы; 9 - откос земляного валика; 10 - снежный покров
Рисунок Г.1 - Схемы к теплотехническому расчету дренажа
Величину Rвн определяют по формуле

, (Г.6)
где dиз.т - приведенная глубина заложения трубопровода на выпуске, м.

, (Г.7)
где

- наружный диаметр теплоизоляции трубопровода, м;

- коэффициент теплопроводности льда, Вт/м·°C;
Dл - диаметр, м, живого сечения водного потока трубопровода, оледеневающего на участке lв
Dл = 0,277Q0,4-0,2iв >= 0,02 - 0,03 м, (Г.8)
где Q - расход дренажа в расчетный период, м3/с,
iв - гидравлический уклон напорного оледеневшего трубопровода на выпуске,


, (Г.9)
где
i - уклон местности по трассе отводной линии,

;
l - полная длина трубопровода отводной линии, м;
lв - длина конструкции выпуска, в пределах которой возможно внутреннее оледенение трубопровода отводной линии, м.
Принимают lв = 2H, где H - максимальная высота обваловки трубопровода. Эффективный угол определяют по формуле

, (Г.10)
где

- фактический угол рассеивания; определяют графическим построением по схеме (см.
рисунок Г.1,
б), град;
K - безразмерный коэффициент влияния подпорной стенки

, (Г.11)
Fст - площадь поверхности подпорной стенки, вступающей в теплообмен с атмосферой, м2;
Rст - сопротивление теплопередаче через плоскую стенку, м2/°C·Вт,

. (Г.12)
Г.1.3 По расходу и температуре воды в дренаже, соответствующим зимнему критическому периоду, определяют длину отводной линии l. Для этого методом последовательных приближений решают относительно l уравнение

, (Г.13)
где tвып - температура воды на выпуске, °C;
K1, K2 - размерные коэффициенты, равные 5,433 Вт/м4 и 1160 Вт/м °C;
Q - расход дренажа, м3/ч;
tдрен, tг - температура соответственно воды в дренаже и грунта в естественных условиях на глубине заложения оси;
tср - средняя температура среды трубопровода на выпуске, °C.
Температуру воды на выпуске задают в пределах от 0,05 до 0,1 °C. Среднюю температуру среды трубопровода на выпуске определяют по формуле

, (Г.14)
где tв, tгв - температура соответственно воздуха в расчетный период и грунта на глубине заложения трубопровода выпуска, °C.
Значения температуры грунта
tг на глубине
h заложения трубопровода отводной линии и
tгв на глубине

заложения трубопровода выпуска определяют по данным многолетних наблюдений (за срок не менее 10 лет), а при их отсутствии - теплотехническим расчетом.
Если при различных вариантах значений расчетных параметров, входящих в
формулу (Г.13), длина отводной линии не превышает 5 - 10 м и по условиям местности устройство открытого выпуска на этом расстоянии оказывается неудобным, переходят к проектированию закрытого выпуска типа поглощающей траншеи, заполненной обратным каменным фильтром, которая должна поглощать расход воды, сбрасываемой дренажем в критический период. При этом учитывают увеличение свободной пористости грунта и возрастание потерь воды траншеей в грунт по мере снижения уровня грунтовых вод в связи с прекращением их инфильтрационного питания.
Г.2 Расчет отверстий дренажных труб
Число отверстий на 1 м трубы определяют по формуле

, (Г.15)
где Qдр - водозахватная способность трубчатого дренажа, которая должна быть несколько больше удельного дебита дренажа;
k - коэффициент запаса на зарастание отверстий в процессе эксплуатации, равный 1,5 - 2;
W - площадь отверстия;
g - ускорение свободного падения тела;
H - потери напора при истечении через отверстие. Эти потери, как нежелательные для работы дренажа, должны быть как можно меньше, поэтому в расчетах можно принимать H = 1 - 5 см;

- коэффициент расхода отверстий, принимаемый в пределах 0,2 - 0,6 в зависимости от отношения

(
d17 - диаметр частиц грунта или обсыпки, меньше которых по объему должно быть 17%;
t - диаметр круглого отверстия или ширина прямоугольного отверстия - щели).
| 0,4 | 0,6 | 0,8 | 1,0 | 1,25 | 1,5 | 2 | 3 | 5 | 8 |
| 0,27 | 0,24 | 0,22 | 0,2 | 0,25 | 0,3 | 0,37 | 0,46 | 0,56 | 0,6 |
(рекомендуемое)
РАСЧЕТЫ БЕСТРУБНОГО ДРЕНАЖА,
ОБРАЗОВАННОГО БУРОВЗРЫВНЫМ СПОСОБОМ
Д.1 Условия применения и требования к конструкции беструбного дренажа, образованного буровзрывным способом
Сфера применения беструбного дренажа различной конструктивно-технологической разновидности показана в таблице Д.1.
Таблица Д.1
Сфера применения беструбного дренажа различной
конструктивно-технологической разновидности
Конструктивно-технологическая разновидность беструбного дренажа | Схема дренажно-водоотводного канала беструбного дренажа | Характеристика условий применения | Сезон строительства |
1 Дренажно-водоотводный канал в виде линейной зоны рыхления с поверхности до глубины 4 - 10 м [на 1 - 2 м ниже слоев сезонного оттаивания (hот) и сезонного промерзания (hпр)] | Поперечный разрез | Для дренирования и отвода надмерзлотных (а), грунтовых и подземных (б) вод при близком залегании скальных пород крепких и средней крепости независимо от температуры мерзлых пород | В течение всего года |
2 Дренажно-водоотводный канал в виде линейной зоны трещиноватости под толщей вечномерзлых пород, создаваемый камуфлетным взрывом | Продольный разрез | Для дренирования и отвода подземных вод в условиях маломощных вечномерзлых скальных пород (H < 30 м). Выпуск дренажа в подрусловой талик ближайшего водотока | В летний период |
3 Дренажно-водоотводный канал в виде линейной зоны трещиноватости в вечномерзлых породах, создаваемый камуфлетным взрывом и гидравлическим оттаиванием двухстадийным с водносолевым раствором, в одну стадию подогретой водой | Продольный разрез | Для дренирования и отвода подземных вод в условиях низкотемпературных скальных вечномерзлых пород с t = -3 °C, низкотемпературных скальных вечномерзлых пород с t от -2 °C до -3 °C и при температуре подземных вод ниже 1,5 °C | В летний период |
Если водоупором грунтовых вод, питающих наледь, являются вечномерзлые грунты (скально-щебенистые или галечно-гравийные), то буровзрывной способ устройства дренажа может быть успешно применен в южной зоне распространения вечномерзлых грунтов (восточная часть БАМа). В этих районах глубина сезонного протаивания крупнообломочных скальных грунтов достигает 6,0 м. В хорошо дренирующих грунтах поверхность вечномерзлых грунтов опускается на глубину более 6,0 м, где возникает постоянный талик. Поэтому целесообразно буровзрывной дренаж закладывать на глубину 6 - 7 м.
Чтобы поверхностная и грунтовая вода непрерывно (зимой и летом) циркулировала по такому дренажу, во избежание его перемерзания в пределах дренажа следует убрать всю растительность, включая мохо-торфяной слой.
(рекомендуемое)
МЕТОДИКА РАСЧЕТА АККУМУЛИРУЮЩЕЙ ЕМКОСТИ
ДЛЯ УСТРОЙСТВА ВЕРТИКАЛЬНОГО ДРЕНАЖА
Е.1 Вертикальный дренаж с предварительным устройством водоаккумулирующей емкости в скальной породе целесообразно применять в условиях циркуляции подземной или грунтовой воды с расходом до 1,5 л/с по водоносному массиву трещиноватой горной породы, характеризуемой коэффициентом фильтрации порядка 1 м/сут.
Е.2 Водоаккумулирующую емкость следует располагать ниже водоупорной поверхности с нагорной стороны от проектируемой выемки.
Е.3 Суммарный объем трещин в пределах образуемой взрывным способом аккумулирующей емкости можно определить по формуле

, (Е.1)
где K - коэффициент фильтрации естественного водоносного пласта, м/сут;
h - мощность естественного водоносного пласта, м;
B - ширина полосы пласта, м;
i - средний гидравлический градиент, который находят из выражения

,
i0 - уклон водоупора естественного пласта, %;
a - коэффициент уровнепроводности, м2/сут;

- коэффициент гравитационной водоотдачи трещиноватых пород водоаккумулирующего пласта,

;

- период наледеобразования или продолжительность перерыва между откачками воды из скважины, сут.
Схема устройства водонакопительной емкости для периодической откачки подземных вод в целях ликвидации наледи в выемке и пример понижения уровня подземных вод показаны на рисунке Е.1.
а - план; б - поперечный профиль
1 - водоносный пласт (тектоническая зона);
2 - уровень подземных вод до устройства водоаккумулирующей
емкости; 3 - уровень вод после откачки воды из емкости;
4 - уровень воды в водоаккумулирующей емкости;
5 - литологическая граница грунтов; 6 - скважины
для взрывания; 7 - водопонижающая скважина;
8 - передвижная электростанция; 9 - выемка
Рисунок Е.1 - Схема размещения и устройства
водоаккумулирующей емкости
Исходные данные.
Область водоносного массива в плане представляет пластполосу шириной 100 м и длиной 2150 м. Предполагаемая емкость размерами 100 x 100 м, глубиной 80 м находится на расстоянии 650 м ниже выявленной границы питания и 500 м выше осушаемой выемки. На расстоянии 1,5 км ниже емкости находится река. Предполагаем, что емкость после взрыва будет не обводнена, а затем начнется ее заполнение 4 за счет понижения уровня подземных вод 2 в водоносном массиве 1. Для осушения водонакопительной емкости производится периодическая откачка воды в течение всего зимнего периода (160 сут). Испарение не учитывается, а весь поток поверхностных и подземных вод включает расход подземного потока на границе питания.
По данным натурных исследований в течение 5 мес в пределах исследуемой области коэффициент фильтрации изменяется от 0,1 до 0,2, а в емкости принимается равным 100 м/сут, коэффициент водоотдачи изменяется от 0,01 до 0,02, а в емкости равен 0,05. Исследуемая область фильтрации в плане покрывается прямоугольной неравномерной сеткой скважин 6. Шаг разностной сетки в плоскости составляет 25 - 50 м, емкости - 25 м. На всех участках границы емкости принимается нулевой расход, а на участке со стороны косогора постоянный приток воды Q = 0,8 м2/сут на единицу длины.
Расчет выполнен по методике и программе, разработанной в лаборатории фильтрации института Гидродинамики СО РАН.
Расчеты показывают, что устройство водоаккумулирующей емкости на косогоре позволит понизить уровень подземных вод 2 до уровня 3 в выемке через 40 сут на 2 м, через 60 сут на 5 м, через 120 сут на 7 м, а через 160 сут на 8,5 м.
(рекомендуемое)
РАСЧЕТ ПРОТИВОНАЛЕДНЫХ УДЕРЖИВАЮЩИХ СООРУЖЕНИЙ
(ВАЛЫ, ЗАБОРЫ)
Ж.1 Расчету подлежат размеры нарушенных (уширенных) русел водотоков, площади растекания перед удерживающими сооружениями, объем наледи, размеры противоналедных сооружений.
Ж.2 Для проектирования противоналедных удерживающих сооружений необходимы следующие исходные данные:
- расход ручья или ключа в осенне-зимний период;
- размеры и уклоны логов и склонов в месте постройки противоналедных удерживающих сооружений;
- среднемесячная температура наружного воздуха;
- среднемесячная абсолютная влажность воздуха;
- среднемесячные потери тепла открытой водной поверхностью
(рисунок Ж.1).

, (Ж.1)
где П - доля неба, покрытая облаками. Можно считать, что в дни, когда есть осадки, небо полностью покрыто облаками;
n - количество дней в месяце с осадками;
m - количество дней в месяце;
i - количество месяцев в зимний период.
Ж.3 Расход водотока определяют по осенним замерам как среднюю величину за ряд лет. Остальные данные принимают по климатологическим справочникам.
Ж.4 При расчете можно пренебречь обменом тепла с ложем водотока, что практически сводится к отказу потерь тепла наледными водами при протекании их по поверхности льда, имеющей отрицательную температуру. Это допущение идет в запас при определении размеров как уширенного русла, так и площади растекания наледных вод перед удерживающими противоналедными сооружениями.
Таблица Ж.1
Упругость насыщенного водяного пара над водой и льдом
и максимальное его содержание в воздухе <1>
--------------------------------
<1> Таблица составлена по работе Р.В. Донченко "Теплопотери с открытой водной поверхности в зимнее время на реках СССР". Труды ГГИ, выпуск 83, Л., 1960.
Температура воздуха, °C | Упругость водяного пара, мм рт. ст. | Количество пара в воздухе (над льдом), e, м3 |
Над льдом | Над переохлажденной водой |
0 | 4,579 | 4,579 | 4,89 |
-5 | 3,013 | 3,163 | 3,37 |
-10 | 1,950 | 2,149 | 2,31 |
-20 | 0,776 | - | 1,05 |
-30 | 0,286 | - | 0,44 |
-40 | 0,097 | - | 0,117 |
-50 | 0,030 | - | 0,038 |
-60 | 0,008 | - | 0,011 |
Примечание
1 Значение теплопотерь для районов, расположенных между указанными пунктами, определяют методом интерполяции.
Рисунок Ж.1 - Средние многолетние теплопотери
W0
с водной поверхности рек в период замерзания, Вт/м2
Для перевода кДж/м2 в Вт/м2 применяют коэффициент 87. Для точного определения W0 для определенного водного объекта следует обратиться в местную гидрологическую службу.
Пример - Определить параметры наледи и размеры удерживающего противоналедного вала на юге Якутии, в районе, при следующих исходных данных в начале ноября: расход водотока Q = 1,5 л/с = 130 м3/сут., температура воды t = +0,5... +0,8 °C, уклон главного лога iр = 0,01, ширина лога aл = 40 м, уклоны склонов соответственно левого и правого: iл = iп = 0,10.
Решение - Полагаем, что наледь, образуемая водотоком на участке уширенного русла (наледном поясе), будет задерживаться земляным валом. В рассматриваемом районе (см.
рисунок Ж.1) среднемесячные потери тепла водотоком в ноябре составляют
W0 = 250·87 = 21750 кДж/сут.
Приняв ширину наледного пояса B = 2,5 м, определяем его длину L по формуле

, (Ж.2)
принимаем L = 10 м, B = 2,5 м.
Возможная толщина нарастания наледи в течение одних суток по формуле:

, (Ж.3)
где

- скрытая теплота, выделяемая при переходе воды в лед, принимаем 80 ккал/кг (336 кДж/кг);
При толщине нарастания наледи за одни сутки hл = 0,065 м, и объеме воды, накапливаемом перед валом за одни сутки, Qв = Q = 130 м3/сут, определяем площадь растекания воды перед валом по формуле

. (Ж.4)
При ширине лога aл = 40 м его расчистка и планировка выполняются на длине.

.
Объем наледи без учета снега при полном ее удержании за время всего наледного периода T = 150 суток определяем по формуле
Vн = 1,25·1,1·
QT = 1,25·1,1·130·150 = 26813 м
3. (Ж.5)
С учетом формы лога определяем показатели

. (Ж.6)
Принимаем толщину наледи
hн = 3,2 м и определяем, какой объем наледи будет располагаться на склоновых участках лога (v
1) и в русловой части лога (v
2). По
рисунку Ж.2,
а, при показателе 2000 и
hн = 3,2 м определяем v
1 = 9000 м
3. По
рисунку Ж.2,
б, при показателе 100 и
hн = 3,2 м получаем объем наледи на 1 пог. м ширины лога 420 м
3. При
aл = 40 м определяем v
2 = 420·40 = 16800 м
3. Общий объем наледи будет равен v = v
1 + v
2 = 9000 + 16800 = 25800 м
3, что с небольшой разницей совпадает с объемом наледи, рассчитанным по
формуле (Ж.5). Можно считать, что толщина наледи принята правильно. Тогда высоту
Hв и длину
Lв противоналедного вала, а также длину распространения наледи по логу (
l) определяем расчетом:
Hв = hн + 0,5 = 3,60 + 0,50 = 4,10 м,
Lв = Hв:iл + aл + Hвiл = 4,10·0,1 + 30 + 4,10·0,1 = 112 м,
l = hнiр = 3,6·0,01 = 360 м.
Участок уширенного русла водотока (наледный пояс) должен быть удален от вала, удерживающего наледь в зимний период, на расстояние более 360 м.
а - на склоновых участках лога; б - в русле лога
Рисунок Ж.2 - Графики зависимости объема наледи
от ее толщины, формы поперечного сечения лога,
уклонов главного русла и склонов
| Технический регламент Таможенного союза ТР ТС 014/2011. Безопасность автомобильных дорог (Утвержден Решением Комиссии Таможенного союза от 18 октября 2011 г. N 827) |
| Федеральный закон от 8 ноября 2007 г. N 257-ФЗ "Об автомобильных дорогах и о дорожной деятельности в Российской Федерации и о внесении изменений в отдельные законодательные акты Российской Федерации" |
| Федеральный закон от 10 января 2002 г. N 7-ФЗ "Об охране окружающей среды" |
УДК 625.748:006.354 | |
Ключевые слова: автомобильные дороги, защитные дорожные сооружения, наледи, наледообразование, грунтовые наледи, мерзлотный пояс, противоналедная защита |