Главная // Актуальные документы // ГОСТ Р (Государственный стандарт)СПРАВКА
Источник публикации
М.: Стандартинформ, 2021
Примечание к документу
Документ включен в
Перечень документов в области стандартизации, в результате применения которых на добровольной основе обеспечивается соблюдение требований Федерального
закона от 30.12.2009 N 384-ФЗ "Технический регламент о безопасности зданий и сооружений" (
Приказ Росстандарта от 02.04.2020 N 687).
Документ
введен в действие с 01.06.2021 с правом досрочного применения.
Название документа
"ГОСТ Р 59411-2021. Национальный стандарт Российской Федерации. Трубопроводы промысловые из стеклопластиковых труб. Правила проектирования и эксплуатации"
(утв. и введен в действие Приказом Росстандарта от 31.03.2021 N 178-ст)
"ГОСТ Р 59411-2021. Национальный стандарт Российской Федерации. Трубопроводы промысловые из стеклопластиковых труб. Правила проектирования и эксплуатации"
(утв. и введен в действие Приказом Росстандарта от 31.03.2021 N 178-ст)
Утвержден и введен в действие
агентства по техническому
регулированию и метрологии
от 31 марта 2021 г. N 178-ст
НАЦИОНАЛЬНЫЙ СТАНДАРТ РОССИЙСКОЙ ФЕДЕРАЦИИ
ТРУБОПРОВОДЫ ПРОМЫСЛОВЫЕ ИЗ СТЕКЛОПЛАСТИКОВЫХ ТРУБ
ПРАВИЛА ПРОЕКТИРОВАНИЯ И ЭКСПЛУАТАЦИИ
Field pipelines from glass-fiber reinforced plastic pipes.
Rules of design and operation
ГОСТ Р 59411-2021
Дата введения
1 июня 2021 года
с правом досрочного применения
1 РАЗРАБОТАН Обществом с ограниченной ответственностью "Татнефть-Пресскомпозит" (ООО "Татнефть-Пресскомпозит") и Акционерным обществом "Всесоюзный научно-исследовательский институт по строительству, эксплуатации трубопроводов и объектов ТЭК - инжиниринговая нефтегазовая компания" (АО ВНИИСТ)
2 ВНЕСЕН Техническим комитетом по стандартизации ТК 023 "Нефтяная и газовая промышленность"
3 УТВЕРЖДЕН И ВВЕДЕН В ДЕЙСТВИЕ
Приказом Федерального агентства по техническому регулированию и метрологии от 31 марта 2021 г. N 178-ст
4 ВВЕДЕН ВПЕРВЫЕ
Правила применения настоящего стандарта установлены в статье 26 Федерального закона от 29 июня 2015 г. N 162-ФЗ "О стандартизации в Российской Федерации". Информация об изменениях к настоящему стандарту публикуется в ежегодном (по состоянию на 1 января текущего года) информационном указателе "Национальные стандарты", а официальный текст изменений и поправок - в ежемесячном информационном указателе "Национальные стандарты". В случае пересмотра (замены) или отмены настоящего стандарта соответствующее уведомление будет опубликовано в ближайшем выпуске ежемесячного информационного указателя "Национальные стандарты". Соответствующая информация, уведомление и тексты размещаются также в информационной системе общего пользования - на официальном сайте Федерального агентства по техническому регулированию и метрологии в сети Интернет (www.gost.ru)
1.1 Настоящий стандарт распространяется на проектирование, производство и приемку строительно-монтажных работ при сооружении, реконструкции и капитальном ремонте и эксплуатацию промысловых трубопроводов из стеклопластиковых труб (далее - трубопроводы) и соединительных деталей (фитингов) номинальным диаметром от DN 50 до DN 450 включительно, допустимым рабочим давлением Pраб, не превышающим 21,0 МПа, и температурой рабочей среды не выше плюс 100 °C.
1.2 Состав трубопроводов, на которые распространяется настоящий стандарт:
- нефтепроводы для подачи нефти от пункта сбора нефти и дожимной насосной станции к центральному пункту сбора;
- нефтепроводы для перекачки товарной нефти от центрального пункта сбора до сооружения магистрального транспорта;
- ингибиторопроводы для подачи ингибиторов к скважинам или другим объектам обустройства нефтяных и газонефтяных месторождений;
- выкидные трубопроводы для подачи продуктов скважин к замерным установкам, в том числе расположенные на кустовых площадках скважин;
- деэмульгаторопроводы для подачи деэмульгатора к объектам дожимных насосных станций и установок предварительного сбора воды;
- трубопроводы систем заводнения нефтяных пластов и систем захоронения пластовых и сточных вод в глубокие поглощающие горизонты;
- подводящие водоводы низкого давления от установки предварительного сброса вод до кустовой насосной станции;
- трубопроводы сточных вод давлением более 10 МПа для подачи воды в скважины для закачки в поглощающие пласты, в том числе расположенные на кустовых площадках скважин.
Настоящий стандарт не распространяется на трубопроводы для перекачки продукции с высоким содержанием сероводорода (парциальное давление не менее 1,0 МПа или объемная концентрация не менее 6,0%).
В настоящем стандарте использованы нормативные ссылки на следующие документы:
ГОСТ 12.4.124 Система стандартов безопасности труда. Средства защиты от статического электричества. Общие технические требования
ГОСТ 17.1.3.05 Охрана природы. Гидросфера. Общие требования к охране поверхностных и подземных вод от загрязнения нефтью и нефтепродуктами
ГОСТ 17.1.3.10 Охрана природы. Гидросфера. Общие требования к охране поверхностных и подземных вод от загрязнения нефтью и нефтепродуктами при транспортировании по трубопроводу
ГОСТ 17.4.3.02 Охрана природы. Почвы. Требования к охране плодородного слоя почвы при производстве земляных работ
ГОСТ 17.5.1.01 Охрана природы. Рекультивация земель. Термины и определения
ГОСТ 17.5.3.04 Охрана природы. Земли. Общие требования к рекультивации земель
ГОСТ 17.5.3.06 Охрана природы. Земли. Требования к определению норм снятия плодородного слоя почвы при производстве земляных работ
ГОСТ 24297 Верификация закупленной продукции. Организация проведения и методы контроля
ГОСТ 34645-2020 Трубы и детали трубопроводов из реактопластов, армированных стекловолокном. Методы получения гидростатического проектного базиса и расчетного значения давления
ГОСТ Р 55990-2014 Месторождения нефтяные и газонефтяные. Промысловые трубопроводы. Нормы проектирования
ГОСТ Р 56277-2014 Трубы и фитинги композитные полимерные для внутрипромысловых трубопроводов. Технические условия
СП 18.13330 Производственные объекты. Планировочная организация земельного участка (Генеральные планы промышленных предприятий. Актуализированная редакция СНиП II-89-80*)
СП 20.13330.2016 "СНиП 2.01.07-85 Нагрузки и воздействия. Актуализированная редакция"
СП 25.13330.2012 "СНиП 2.02.04-88 Основания и фундаменты на вечномерзлых грунтах. Актуализированная редакция"
СП 68.13330 "СНиП 3.01.04-87 Приемка в эксплуатацию законченных строительством объектов. Основные положения. Актуализированная редакция"
СП 86.13330.2014 "СНиП III-42-80 Магистральные трубопроводы. Актуализированная редакция"
СП 227.1326000 Пересечения железнодорожных линий с линиями транспорта и инженерными сетями
СП 249.1325800 Коммуникации подземные. Проектирование и строительство закрытым и открытым способами
СП 284.1325800.2016 Трубопроводы промысловые для нефти и газа. Правила проектирования и производства работ
СП 425.1325800 Инженерная защита территории от эрозионных процессов. Правила проектирования
Примечание - При пользовании настоящим стандартом целесообразно проверить действие ссылочных стандартов (сводов правил) в информационной системе общего пользования - на официальном сайте Федерального агентства по техническому регулированию и метрологии в сети Интернет или по ежегодному информационному указателю "Национальные стандарты", который опубликован по состоянию на 1 января текущего года, и по выпускам ежемесячного информационного указателя "Национальные стандарты" за текущий год. Если заменен ссылочный документ, на который дана недатированная ссылка, то рекомендуется использовать действующую версию этого документа с учетом всех внесенных в данную версию изменений. Если заменен ссылочный документ, на который дана датированная ссылка, то рекомендуется использовать версию этого документа с указанным выше годом утверждения (принятия). Если после утверждения настоящего стандарта в ссылочный документ, на который дана датированная ссылка, внесено изменение, затрагивающее положение, на которое дана ссылка, то это положение рекомендуется применять без учета данного изменения. Если ссылочный документ отменен без замены, то положение, в котором дана ссылка на него, рекомендуется применять в части, не затрагивающей эту ссылку. Сведения о действии сводов правил целесообразно проверять в Федеральном информационном фонде стандартов.
В настоящем стандарте применены следующие термины с соответствующими определениями:
3.1 балластировка трубопровода: Установка на трубопроводе балластирующих устройств, обеспечивающих его проектное положение на обводненных и заболоченных участках трассы и переходах через водные преграды и болота, а также на мерзлых грунтах, теряющих устойчивость.
3.2 водная преграда: Естественное или искусственное водное препятствие (река, озеро, пролив, лиман, канал, водохранилище и т.п.) шириной в межень по зеркалу воды не менее 10 м и глубиной не менее 1,5 м или шириной по зеркалу воды в межень не менее 25 м независимо от глубины.
3.3 деформация: Изменение формы и размеров конструкций (или части ее), а также потеря устойчивости под влиянием нагрузок и воздействий.
3.4
естественные и искусственные препятствия: Реки, ручьи, озера, пруды, протоки и болота, овраги, балки; водохранилища, каналы, железные и автомобильные дороги, пересекаемые трубопроводом. |
3.5 заглубление трубопровода: Расстояние от верхней образующей трубопровода до поверхности земли.
Примечание - При наличии балластирующей конструкции расстояние определяют от верхней точки балластирующего устройства до поверхности земли.
3.6
запорная арматура: Арматура, предназначенная для перекрытия потока рабочей среды с определенной герметичностью. |
3.7
защитный футляр (кожух): Конструкция из трубы диаметра большего, чем основной диаметр трубопровода, предназначенная для восприятия внешних нагрузок и предохраняющая от выброса транспортируемого вещества на пересечениях искусственных и естественных препятствий. |
3.8 нагрузка: Силовое воздействие, вызывающее изменение напряженно-деформированного состояния конструкции (трубопровода).
3.9 номинальное давление, PN: Наибольшее избыточное давление при температуре среды 293 К (20 °C), при котором допустима длительная работа труб и соединительных деталей, имеющих заданные размеры, обоснованные расчетом на прочность при выбранных материалах и характеристиках их прочности.
3.10
овализация: Отклонение периметра от окружности, когда поперечное сечение трубы имеет форму эллипса. |
3.11 переход: Участок трубопровода на пересечении с искусственным или естественным препятствием, отличный по конструктивному исполнению от прилегающих участков трубопровода.
3.12 рабочее давление (нормативное): Устанавливаемое в проектной документации наибольшее избыточное давление, при котором обеспечивается заданный режим эксплуатации трубопровода, соединительных деталей и трубопроводной арматуры при выбранных материалах и заданной температуре.
3.13 соединительные детали (фитинги): Элементы трубопровода, состоящие из реактопластов, армированных стекловолокном, и предназначенные для изменения направления его оси, ответвления от него, изменения его диаметра, соединения с запорной арматурой, герметизации концов и др.
Примечание - К соединительным деталям относятся: отводы, переходы, тройники, переходные кольца, днища и др.
3.14
срок службы: Календарная продолжительность эксплуатации от начала эксплуатации объекта или ее возобновления после капитального ремонта до момента достижения предельного состояния. |
3.15 стеклопластиковая труба (труба): Изделие трубного производства, состоящее из реактопластов, армированных стекловолокном, изготовленное методом намотки.
3.16 трасса трубопровода: Положение оси трубопровода, определяемое на местности ее проекцией на горизонтальную и вертикальную плоскость.
3.17
трубопровод промысловый: Трубопровод для транспортирования газообразных и жидких продуктов, прокладываемый между площадками отдельных промысловых сооружений (включая площадки, расположенные на разных промыслах), а также к объектам магистрального транспортирования нефти и газа. Примечание - Границы промыслового трубопровода определяются составом проекта. |
В настоящем стандарте применены следующие сокращения:
ВТУ - внутритрубное устройство;
ГСМ - горюче-смазочные материалы;
ДНС - дожимная насосная станция;
ММГ - многолетнемерзлые грунты;
НСМ - нетканый синтетический материал;
ПДК - предельно допустимая концентрация;
ПКГУ - полимерно-контейнерный грунтозаполненный утяжелитель;
ППР - проект производства работ;
ЦПС - центральный пункт сбора.
5 Технические характеристики труб и соединительных деталей
5.1 Трубы и соединительные детали (фитинги), применяемые для строительства трубопроводов, должны соответствовать положениям настоящего стандарта, действующих национальных и/или межгосударственных стандартов, технических условий (стандартов организаций) на их производство и изготавливаться в соответствии с конструкторской и технологической документацией производителя, утвержденной в установленном порядке.
Каждая партия труб и соединительных деталей (фитингов), поставляемых на строительство, должна быть снабжена паспортом (сертификатом) завода-изготовителя и укомплектована руководством по монтажу и эксплуатации. Применение изделий, не имеющих сопроводительного документа (паспорта или сертификата), подтверждающего их соответствие вышеуказанным нормативным документам, не допускается.
5.2 Производитель труб и соединительных деталей (фитингов) предоставляет подтверждающие документы о проведении испытаний на определение гидростатического проектного базиса по процедуре, описанной в
7.4, ГОСТ 34645-2020 (метод Б).
5.3 Трубы следует изготавливать длиной от 5,0 до 12,0 м. Допускается другая длина трубы в отдельных случаях, предусмотренных техническими решениями в проектной документации для отдельно взятого объекта, по согласованию с заказчиком.
5.4 Технические характеристики труб и фитингов (прочностные характеристики, характеристики пожарной опасности материала труб) должны соответствовать ГОСТ Р 56277-2014
(раздел 5), ГОСТ Р 53201-2008
(раздел 5) или другим действующим национальным и/или межгосударственным стандартам, техническим условиям (стандартам организаций) на их производство с учетом требований области применения настоящего стандарта.
5.5 Трубы и фитинги должны обеспечивать установленный в
5.6 срок службы трубопровода во всех грунтовых условиях и под водой, а также обладать стойкостью к транспортируемой среде.
5.6 Трубопроводы должны иметь срок службы не менее 20 лет.
5.7 Трубы и соединительные детали (фитинги) могут быть изготовлены в двух исполнениях:
- для подземной прокладки;
- для надземной (наземной) прокладки.
В состав конструкции труб и соединительных деталей, предназначенных для надземной (наземной) прокладки, вводится наполнитель, поглощающий ультрафиолетовое излучение.
Допускается нанесение в заводских условиях на поверхность труб специальной краски для защиты от ультрафиолетового воздействия и обеспечения пожарной безопасности в соответствии с действующей нормативной документацией.
5.8 Конструкция и материалы труб должны предотвращать накопление и обеспечивать снятие зарядов статического электричества.
Максимально допустимое значение накопленного заряда статического электричества - 0,2 мДж.
При проектировании трубопроводов необходимо принять во внимание следующие факторы:
- используются ли трубопроводы для транспортирования сред, способных генерировать электростатические разряды;
- входят ли трубопроводы в контакт при трении об изолирующий материал;
- используются ли трубопроводы в опасных зонах.
В проектной документации необходимо определить и документально зафиксировать значения электропроводности транспортируемой среды, электростатических диссипативных свойств и требования к механизму заземления для систем трубопроводов, расположенных в опасных зонах.
На поверхности трубопроводов должны быть размещены надежно заземленные электрически изолированные металлические объекты значительных размеров (например, соединительные фланцы).
В случае, если не зафиксировано существенной электростатической опасности (опасного уровня электростатических зарядов) и трубопровод не проходит через опасную зону, то необходимость в заземлении трубопроводов отсутствует.
При наличии опасного уровня электростатических зарядов и если трубопровод проходит через опасную зону, трубопроводы должны быть наделены свойствами электропроводности для организации токопровода к земле, а сопротивление заземления в любой точке системы трубопроводов не должно превышать значения 106 Ом.
5.9 Виды применяемых соединений труб и соединительных деталей:
- раструбное;
- муфтовое;
- фланцевое.
Раструбное соединение может быть выполнено в одном из двух исполнений:
- с гладкими концами трубы и раструба;
- раструбно-ниппельное.
Соединительные детали и соединения должны быть равнопрочными применяемым трубам, параметры (номинальный диаметр
DN и номинальное давление
PN) соединительных деталей должны соответствовать аналогичным параметрам труб. Контроль качества соединений выполняется в соответствии с
разделами 12 и
16.
Соединение стеклопластиковых и стальных труб следует выполнять с помощью фланцевых соединений (только для надземной и наземной прокладки) или с использованием металлических патрубков (переводников), с резьбой с одной стороны и фаской под сварку с другой.
5.10 Концевые посадочные поверхности защищают от механических ударов и повреждений предохранительными неметаллическими крышками или материалами, обеспечивающими их сохранность при транспортировании, складировании и хранении.
5.11 Каждая труба и фитинг должны иметь четкую, легко читаемую маркировку согласно ГОСТ Р 53201-2008
(подраздел 5.8) или ГОСТ Р 56277-2014
(подраздел 5.7).
6 Конструктивные характеристики трубопроводов
6.1.1 Выбор трассы проектируемого трубопровода следует производить согласно СП 284.1325800.2016
(раздел 8) или ГОСТ Р 55990-2014
(раздел 8) в соответствии с заданием на проектирование.
6.1.2 Класс и категорию трубопровода следует определять согласно
СП 284.1325800 или
ГОСТ Р 55990 в соответствии с заданием на проектирование.
6.1.3 Расстояния от оси подземных трубопроводов до зданий, сооружений и других инженерных коммуникаций принимают в зависимости от класса и диаметра трубопровода, транспортируемого продукта, назначения объектов, степени обеспечения их безопасности и определяют в проектной документации для конкретных условий на основе расчета анализа опасностей и оценки риска аварий на опасных производственных объектах, а также в соответствии с
[1], но не менее значений, приведенных в СП 284.1325800.2016
(таблица 7) или ГОСТ Р 55990-2014
(таблица 6) в соответствии с заданием на проектирование.
6.1.4 При проектировании следует предусматривать подземную прокладку трубопровода.
Надземная (наземная) прокладка допускается на отдельных участках на неустойчивых грунтах, на переходах через водные преграды, овраги, балки, на участках пересечения коридора подземных коммуникаций и др. В каждом конкретном случае надземная (наземная) прокладка должна иметь соответствующее обоснование.
6.1.5 Надземная (наземная) прокладка водоводов допускается при соответствующем обосновании при наличии эффективной системы обогрева и теплоизоляции трубопроводов.
6.1.6 Разрешается совместная в одной траншее прокладка трубопроводов одного или различных назначений.
Количество трубопроводов, укладываемых в одну траншею, определяется проектной документацией исходя из условий обеспечения надежности, безопасности эксплуатации трубопроводов и удобства выполнения строительно-монтажных и ремонтных работ, но не более четырех трубопроводов одного или различных назначений номинальным диаметром не более DN 300.
Расстояние в свету между трубопроводами в одной траншее должно соответствовать ГОСТ Р 55990-2014
(п. 8.7).
6.1.7 Внутренний диаметр трубопроводов должен определяться гидравлическим расчетом в соответствии с нормами технологического проектирования и положениями
раздела 7.
6.1.8 Толщина стенки труб должна соответствовать изготовляемому сортаменту труб при определенном внутреннем диаметре и давлении. Достаточность толщины стенки должна подтверждаться расчетом на прочность и устойчивость трубопровода в соответствии с положениями
раздела 8.
6.1.9 Места установки запорной арматуры должны определяться проектной документацией исходя из условий обеспечения безопасности и надежности, с учетом СП 284.1325800.2016 (
п. 9.2.1 -
9.2.3) или ГОСТ Р 55990-2014
(подраздел 9.2) в соответствии с заданием на проектирование. Допускается наземная и надземная установка запорной арматуры.
6.1.10 Конструкция трубопроводной арматуры должна обеспечивать герметичность затворов, соответствующую классу А по ГОСТ 9544-2015
(таблица 2).
6.1.11 Необходимость установки узлов пуска и приема ВТУ определяется заданием на проектирование.
6.1.12 При проектировании отдельных участков трубопровода (подземных и надземных), выполняемых из стальных труб и деталей, следует руководствоваться
СП 284.1325800 или
ГОСТ Р 55990 в соответствии с заданием на проектирование.
При этом для надземных участков (узлов задвижек) рекомендуется предусмотреть молниезащиту согласно
[2], чтобы исключить занос высокого потенциала и статического электричества и возможное повреждение соединения стальной и стеклопластиковой трубы при прямых ударах молнии. Для создания электрической непрерывности растекания тока на фланцевых соединениях надземного участка должны быть установлены перемычки.
6.1.13 Не допускается применение стеклопластиковых труб на промысловых трубопроводах, подверженных вибрационным нагрузкам, критический (максимальный) уровень которых определяется на основании требований нормативных технических документов (технических условий) заводов - изготовителей стеклопластиковых труб, утвержденных в установленном порядке.
6.1.14 Проектирование и строительство временных дорог и технологических проездов следует осуществлять в соответствии с
СП 284.1325800.
6.1.15 При наличии уклонов более 20° следует принимать меры против сползания грунта и размыва его ливневыми водами. Способ укрепления грунта должен быть указан в проекте на основании действующих нормативных документов с учетом
СП 425.1325800.
6.1.16 По указанию заказчика допускается применение устройств для снятия статического электричества в составе отдельных частей трубопровода в соответствии с
ГОСТ 12.4.124.
6.2 Подземная прокладка трубопроводов
6.2.1 Заглубление трубопроводов и ширина траншеи по дну как для одного трубопровода, так и для нескольких, уложенных в одну траншею, следует принимать согласно СП 284.1325800.2016 (
п. 9.3.1 -
9.3.4) или ГОСТ Р 55990-2014
(п. 9.3.1) в соответствии с заданием на проектирование.
6.2.2 На участках прокладки трубопроводов на ММГ выбор принципа использования ММГ как оснований должен производиться в соответствии с
СП 25.13330 в зависимости от режима эксплуатации рассматриваемого трубопровода, свойств грунтов основания и мероприятий по охране окружающей среды.
При прокладке трубопроводов с использованием грунтового основания по II принципу согласно СП 25.13330.2012
(п. 6.1.1) при расчете трубопроводов на прочность и устойчивость должны учитываться дополнительные напряжения от изгиба, вызываемые неравномерной осадкой основания (его просадочностью).
Для трубопроводов, прокладываемых в районе распространения ММГ, следует предусмотреть теплоизоляцию.
6.2.3 При пересечении участков пучинистых грунтов расчет "холодных" трубопроводов (температура транспортируемого продукта ниже 0 °C) производят путем определения размеров зоны промерзания вокруг трубопровода, параметров пучения и оценки прочности и устойчивости трубопровода вследствие его взаимодействия с грунтом.
6.2.4 Проектирование трубопроводов, предназначенных для прокладки в районах с сейсмичностью 7 баллов и выше, производят с учетом сейсмических воздействий, с подбором соответствующих типов соединений (муфтовых или резьбовых), а также с учетом ГОСТ Р 55990-2014
(подраздел 9.8).
6.2.5 Трубопровод должен прилегать к дну подготовленной траншеи по всей длине, без провисов и зазоров. При выявлении зазоров выполняют подсыпку провисающих участков грунтом с его уплотнением.
В местах "стыковки" участков с грунтами разной степени просадочности (с отличающимися структурами) необходимо обеспечивать уплотнение "подушки" до значения не менее 90% от своей максимальной плотности, чтобы не допустить появления в трубопроводе дополнительных изгибных напряжений.
6.2.6 Прокладка трубопроводов в грунтах с наличием щебня или других каменистых включений в скальных и мерзлых грунтах должна предусматриваться с подсыпкой дна траншеи песком или мягким грунтом высотой слоя не менее 10 см (от верха выступающих неровностей дна траншеи) и присыпкой трубы на высоту не менее 20 см.
Уклон стенок траншеи должен быть равным 1:0,5 (см.
рисунок А.1, приложение А).
В качестве подстилающего слоя вместо подсыпки могут применяться штучные податливые изделия: мешки из геотекстильных материалов, заполненные песком, резиновой крошкой, полимерной ватой и другими аналогичными материалами. Для предохранения трубопровода от механических повреждений вместо подсыпки и присыпки допускается применять футеровку трубопровода в соответствии с
13.3.
6.2.7 В слабонесущих грунтах перед укладкой трубопровода необходимо укрепить дно траншеи.
Для этого траншея отрывается большей глубины (на 20 см), и на дне укладывается уплотняющая подсыпка основания из гравия или щебня высотой не менее 20 см. Подсыпку необходимо уплотнить виброуплотнителями (или другим способом) до значения не менее 70% от своей максимальной плотности. После утрамбовки уплотняющей подсыпки необходимо предусмотреть подсыпку дна траншеи песком или мягким грунтом в соответствии с
6.2.6 (см.
рисунок 1).
1 - уплотняющая подсыпка; 2 - мягкая подсыпка (подушка);
3 - мягкая боковая подсыпка; 4 - мягкая присыпка;
5 - засыпка минеральным грунтом; 6 - засыпка плодородным
грунтом; 7 - наружный диаметр трубопровода de
Рисунок 1 - Поперечное сечение траншеи с уложенным
трубопроводом на слабонесущих грунтах
6.2.8 Предельно допустимые радиусы упругого изгиба трубопровода для осуществления изменения направления его оси (поворота трассы) в горизонтальной или вертикальной плоскостях должны определяться расчетом из условий прочности труб и соединений при суммарных нагрузках от действий внутреннего давления, продольных усилий и выталкивающей силы на обводненных участках трассы.
Допустимые радиусы изгиба стеклопластиковых труб приводят в проектной документации, но не менее значений, указанных в ГОСТ Р 56277-2014
(таблица 10).
При невозможности размещения кривой упругого изгиба для осуществления поворота трассы трубопровода следует применять соединительные детали - отводы.
6.2.9 На переходах через водные преграды, участках трубопровода с высоким уровнем грунтовых вод (выше отметки дна траншеи) предусматривают его балластировку. Тип и марку балластирующего устройства определяют в проектной документации с учетом СП 86.13330.2014
(раздел 13) в зависимости от природно-климатических условий, агрессивности среды, диаметра трубопровода на основе расчета трубопровода на устойчивость против всплытия.
6.2.10 Конструкции балластирующих устройств должны оказывать на трубопровод рассредоточенное воздействие во избежание возникновения недопустимых деформаций труб.
В зависимости от диаметра трубопровода и характеристик гидрогеологических условий могут применяться следующие виды балластирующих устройств и средств закрепления трубопроводов:
- ПКГУ каркасного типа;
- ПКГУ бескаркасного типа, представляющий собой плотные емкости из геосинтетических материалов, технических тканей, заполненные песком или минеральным грунтом;
- полотнища из негниющих синтетических материалов, позволяющих консолидировать минеральный грунт над трубопроводом;
- кольцевые железобетонные и чугунные утяжелители;
- сплошное обетонирование;
- анкерные устройства с мягкими силовыми поясами.
6.2.11 Выбор конструкций балластирующих устройств должен определяться расчетом исходя из условия, что овализация поперечного сечения трубопровода с учетом всех нагрузок и воздействий в зависимости от диаметра трубы не должна превышать 5%.
6.2.12 Тип балластирующих устройств, места и шаг установки определяются проектной документацией. При этом места установки балластирующих устройств на теле трубы следует располагать между соединениями труб. Расстояние от соединений труб до края балластирующего устройства следует принимать равным не менее 0,5 м.
6.2.13 На русловых участках подводных переходов, выполняемых траншейным способом, и переходах через болота с положением опорного горизонта минерального грунта на глубинах, позволяющих осуществлять укладку и ремонт трубопровода, для балластировки трубопроводов должны использоваться кольцевые железобетонные или чугунные утяжелители либо сплошное обетонирование труб.
6.2.14 Анкерные устройства применяются для закрепления на проектной отметке трубопроводов на обводненных, заболоченных и периодически затопляемых участках трассы с устойчивыми подстилающими грунтами, а также на болотах с мощностью торфа до 3 м.
Применение винтовых анкерных устройств для закрепления на болотах с мощностью торфа более 3 м должно определяться в проектной документации.
При закреплении трубопровода анкерными устройствами в качестве силовых поясов используют технические ткани или стропные ленты.
6.2.15 ПКГУ каркасного типа применяют на участках прогнозируемого обводнения, а также на болотах при мощности торфяной залежи не более глубины траншеи. Конструкцию ПКГУ каркасного типа заполняют грунтом после установки на трубопровод.
6.2.16 Балластировку трубопроводов ПКГУ бескаркасного типа проводят на участках прогнозируемого обводнения и на обводненных территориях слабонесущих грунтов, а также на заболоченных участках и болотах с мощностью торфяной залежи более глубины траншеи.
Балластировку минеральным грунтом в сочетании с синтетическими материалами применяют на участках с прогнозируемым обводнением и на болотах мелкого заложения (до верха трубопровода) при отсутствии воды в траншее в момент производства работ. При этом используются синтетические плотные ткани или НСМ. Засыпка производится одноковшовым экскаватором, как правило, местным грунтом (из отвала).
6.2.17 При определении балластирующих свойств минеральных грунтов засыпки должны учитываться конкретные грунтовые условия и сезон производства работ.
Минеральный грунт для заполнения ПКГУ должен быть естественной влажности, иметь плотность не менее 1,4 т/м3 с размерами фракции не более 50 мм в поперечнике. Попадание снега и льда в емкости ПКГУ не допускается. Не допускается применение минеральных, пылеватых и органических грунтов.
6.3 Наземная (в насыпи) прокладка трубопроводов
6.3.1 Наземная (в насыпи) прокладка трубопроводов допускается на участках трассы с резко пересеченным рельефом местности, в заболоченных местах и обводненной местности при соответствующем обосновании в проектной документации.
6.3.2 Поперечный профиль насыпи устанавливается согласно СП 284.1325800.2016
(п. 9.4.2).
6.4 Надземная прокладка трубопроводов
6.4.1 Надземная прокладка трубопроводов при соответствующем обосновании допускается на отдельных участках на неустойчивых грунтах, на переходах через водные преграды, овраги, балки, на участках пересечения коридора подземных коммуникаций, в районах горных выработок, оползней и районах распространения ММГ и должна производиться в соответствии с действующей нормативной документацией.
6.4.2 Надземная прокладка должна осуществляться преимущественно в виде балочных систем, подразделяющихся на виды:
- прямолинейная прокладка без компенсации продольных перемещений;
- прокладка трубопроводов с компенсацией продольных перемещений (однопролетные консольные переходы, многопролетные системы с Г, П и Z-образными, трапецеидальными и треугольными компенсаторами).
6.4.3 Величина пролетов трубопроводов назначается в зависимости от принятой схемы и конструкции надземной прокладки согласно
8.8.2.
6.4.4 Конструкции опор надземных трубопроводов и методы их сооружения должны обеспечивать проектное положение трубопроводов в процессе эксплуатации. Опоры следует проектировать из негорючих материалов.
6.4.5 При надземной прокладке в целях повышения уровня пожарной безопасности трубопровода допускается при соответствующем обосновании включение вставок из негорючих материалов, параметры которых устанавливают в проектной документации.
6.5 Переходы через естественные и искусственные препятствия
6.5.1 Подводные переходы через водные преграды шириной более 25 м должны выполняться из стальных труб.
6.5.2 Из стеклопластиковых труб допускается осуществлять пересечение болот и водных преград шириной до 25 м. Прокладку подводных переходов предусматривают с заглублением в дно пересекаемых водных преград. Заглубление трубопровода на участках подводных переходов определяют с учетом характера водной преграды, прогнозируемых деформаций русла, берегов, поймы в период эксплуатации перехода, перспективного дноуглубления и гидротехнического строительства.
При проектировании подводных переходов отметку верха забалластированного трубопровода назначают не менее чем на 0,5 м ниже прогнозируемого предельного профиля размыва русла реки, определяемого на основании инженерных изысканий, с учетом возможных деформаций русла в течение 25 лет после окончания строительства перехода, но не менее 1,0 м от естественных отметок дна водоема.
При пересечении водных преград, дно которых сложено скальными породами, заглубление трубопровода принимают не менее 0,5 м, считая от верха забалластированного трубопровода до дна водоема.
6.5.3 Прокладка трубопровода на болотах предусматривается прямолинейно или с минимально допустимым радиусом упругого изгиба и минимальным числом поворотов. При этом должны быть обеспечены прочность трубопровода, общая устойчивость его в продольном направлении и против всплытия.
6.5.4 Укладку трубопровода при переходах через болота в зависимости от мощности торфяного слоя и водного режима необходимо предусматривать непосредственно в торфяном слое или на минеральном основании.
В проектной документации должны быть разработаны технические решения прокладки трубопровода на участках перехода основания из минерального грунта на основание из торфяного грунта. Конструктивные решения трубопровода на участках "минеральный грунт - торф" должны проверять расчетом на прочность и устойчивость с учетом дополнительных напряжений изгиба вследствие осадки торфяного основания.
6.5.5 Переходы трубопроводов через автомобильные и железные дороги необходимо предусматривать в местах прохождения дорог по насыпям либо в местах с нулевыми отметками и, в исключительных случаях при соответствующем обосновании, в местах прохождения дорог в выемках.
Прокладка трубопровода в теле насыпи дороги не допускается.
| | ИС МЕГАНОРМ: примечание. В официальном тексте документа, видимо, допущена опечатка: пункт 10.2.8 в ГОСТ Р 55990-2014 отсутствует. Возможно, имеется в виду пункт 10.3.2. | |
Угол пересечения трубопровода с железными и категорированными автомобильными дорогами определяется согласно ГОСТ Р 55990-2014
(п. 10.2.8).
6.5.6 Участки трубопроводов на переходах через водные преграды, железные и автомобильные дороги всех категорий необходимо прокладывать в защитном футляре (кожухе) из труб, материал которых выбирается на основе условий обеспечения прочности, долговечности и надежности. Диаметр защитных футляров (кожухов) определяется из условия производства работ и конструкции переходов. Трубопровод оснащается опорными кольцами, обеспечивающими механическую защиту поверхности труб. Тип и материал опорных колец, их количество и расстояние между ними должны определяться из условия производства работ и конструкции перехода, его длины и нагрузок на трубопровод. Пример конструкции перехода трубопровода через дорогу в защитном футляре (кожухе) приведен на
рисунке А.2 (приложение А).
Концы защитного футляра (кожуха) должны выводиться на следующее расстояние:
- 50 м от подошвы откоса насыпи или бровки откоса, выемки, а при наличии водоотводных сооружений - от крайнего водоотводного сооружения - при прокладке трубопроводов через железные дороги;
- 25 м, но не менее 2 м от подошвы насыпи - при прокладке трубопровода через автомобильные дороги I и II категории - от бровки земляного полотна.
Концы защитных футляров (кожухов), устанавливаемых на участках переходов трубопроводов через автомобильные дороги III, IV и V категорий, должны выводиться на 5 м от бровки земляного полотна.
На одном из концов защитного футляра (кожуха) (на трубопроводах, транспортирующих газ или нефть и иную продукцию с газовым фактором более 300 м3/т), устанавливается вытяжная свеча высотой от уровня земли не менее 5 м на расстоянии по горизонтали не менее:
- 50 м - для железных дорог - от подошвы откоса насыпи или бровки откоса выемки, а при наличии водоотводных сооружений - от крайнего водоотводного сооружения;
- 25 м - для автомобильных дорог - от подошвы земляного полотна.
6.5.7 При взаимном пересечении трубопроводов расстояние между ними в свету принимают не менее 350 мм, а пересечение выполняют под углом не менее 60°.
6.5.8 Пересечения трубопроводов с другими инженерными сетями должны проектироваться в соответствии с
СП 18.13330.
6.5.9 Пересечения трубопроводов с воздушными линиями электропередачи следует проектировать в соответствии с
[3].
6.5.10 Заглубление участков трубопроводов, прокладываемых под железными дорогами общей сети, должно быть не менее 2 м от подошвы рельса до верхней образующей защитного футляра (кожуха), а в выемках и на нулевых отметках, кроме того, не менее 1,5 м от дна кювета, лотка или дренажа. При прокладке перехода методом прокола или горизонтального направленного бурения - не менее 3,0 м от подошвы рельса.
Заглубление участков трубопроводов, пересекающих земляное полотно, сложенное пучинистыми грунтами, на переходах через железные дороги общей сети и промышленных предприятий колеи 1524 мм, следует определять расчетом из условий, при которых исключается влияние тепловыделений или стока тепла на равномерность морозного пучения грунта. При невозможности обеспечения заданного температурного режима за счет заглубления трубопроводов следует предусматривать иные необходимые меры.
6.5.11 Заглубление участков трубопроводов, прокладываемых под автомобильными дорогами всех категорий, принимают не менее 1,4 м от верха покрытия дороги до верхней образующей защитного футляра, а в выемках и на нулевых отметках, кроме того, не менее 0,4 м от дна кювета, водоотводной канавы или дренажа.
7 Особенности гидравлического расчета
7.1 Гидравлический расчет трубопроводов должен выполняться в соответствии с условиями технологического проектирования объектов сбора, транспорта, подготовки продукции месторождений с учетом особенностей конструкции труб.
7.2 Максимальная скорость жидкости в трубопроводе vmax, м/с, должна быть не более величины, определяемой по формуле (1)

(1)
где

- плотность транспортируемой жидкости, кг/м
3.
Соответствующее значение минимального внутреннего диаметра труб dmin, м, определяется по формуле (2)

(2)
где q - производительность трубопровода, м3/с.
7.3 Для эрозионно-активных жидкостей максимальная скорость жидкости в трубопроводе не должна превышать 50% от скорости, определенной по
формуле (1).
7.4 Расчет гидравлических потерь на трение в трубопроводах при движении по ним жидкости в однофазном состоянии следует производить по формуле Дарси-Вейсбаха, где коэффициент гидравлического сопротивления

должен определяться как для технически гладких труб в зависимости от числа Рейнольдса (Re):
- при числах Рейнольдса менее 2000 по формуле (3)

(3)
- при числах Рейнольдса от 2000 до 2800 по формуле (4)

(4)
- при числах Рейнольдса более 2800 по формуле (5)

(5)
8 Расчет трубопроводов на прочность и устойчивость положения
8.1.1 Расчет трубопроводов на прочность и устойчивость положения (против всплытия) должен включать:
- проведение проверочного расчета выбранного сортамента труб на прочность при заданном рабочем давлении;
- проведение проверочного расчета принятого конструктивного решения (оценка допустимости назначенных радиусов упругого изгиба трубопровода и температурного перепада, определение необходимой величины балластировки, обеспечение кольцевой формы поперечного сечения (предельно допустимой величины овализации)).
8.1.2 Расчет устойчивости трубопровода следует производить с учетом максимальных температурных перепадов и выталкивающих сил.
8.1.3 При проведении расчетов величину нагрузок от балластировки следует рассматривать как распределенную поперечную нагрузку, оказывающую сопротивление перемещениям трубопровода вверх, за исключением варианта использования для закрепления анкерных устройств, где нагрузки учитываются как сосредоточенные силы, прикладываемые поперек оси забалластированного трубопровода.
8.1.4 При проектировании трубопроводов на участках, сложенных грунтами, которые могут перейти в жидкопластическое состояние, при определении выталкивающей силы вместо объемного веса воды следует принять объемный вес разжиженного грунта, определяемый по данным инженерных изысканий.
8.1.5 Прочность и устойчивость положения трубопроводов должны быть обеспечены решениями, принятыми в проектной документации.
8.2 Расчетные характеристики стеклопластиковых труб
8.2.1 Основные расчетные характеристики труб:
- геометрические параметры (диаметр, толщина стенки);
- значение гидростатического проектного базиса от воздействия внутреннего постоянного давления;
- номинальное давление;
- прочность в кольцевом и осевом направлении;
- модуль упругости;
- коэффициенты линейного теплового расширения;
- коэффициенты Пуассона материала труб;
- плотность материала труб.
8.3 Нагрузки и воздействия
8.3.1 При проверочном расчете подземных участков трубопроводов на прочность и устойчивость положения в соответствии с классификацией СП 20.13330.2016
(раздел 5) следует учитывать следующие нагрузки и воздействия, действующие на трубопровод:
- постоянные нагрузки (собственный вес трубопровода, вес и давление грунта, гидростатическое давление воды, предварительные напряжения от упругого изгиба трубопровода, вес балластных грузов);
- временные длительные нагрузки (внутреннее избыточное давление или вакуум в трубопроводе, вес транспортируемого продукта, температурные воздействия, воздействия, обусловленные деформацией грунта);
- кратковременные нагрузки (укладка трубопровода в траншею, испытание трубопровода на прочность и проверка герметичности, гидравлический удар, проезд транспортных средств, снеговая и ветровая нагрузки);
- особые нагрузки (воздействие деформаций земной поверхности в районах горных выработок и карстовых районах, воздействие деформаций грунта, сопровождающихся изменением его структуры, воздействия, вызываемые развитием солифлюкционных и термокарстовых процессов).
8.3.2 Рабочее давление транспортируемого продукта устанавливается проектной документацией с соблюдением условий
8.4.1.
8.3.3 Собственный вес единицы длины трубопровода qт, Н/м, определяют по формуле (6)

(6)
где

- плотность материала трубы, кг/м
3;
g - ускорение свободного падения, м/с2, принимаемое для технических расчетов равным 9,8;

- число (математическая константа), принимаемое для технических расчетов равным 3,14;
de - наружный диаметр трубы, м;
t - толщина стенки трубы, м.
8.3.4 Нормативная вертикальная нагрузка от давления грунта на трубопровод qгр, Н/м, определяется по формуле (7)

(7)
где

- плотность грунта, кг/м
3;
hт - расстояние от верха трубы до поверхности земли, м;
b - ширина траншеи на уровне верха трубы, м.
8.3.5 Гидростатическое давление воды pw, МПа, определяют по формуле (8)

(8)
где

- плотность воды с учетом растворенных в ней солей, кг/м
3;
hw - высота столба грунтовых вод над верхней образующей трубопровода, м.
8.3.6 Выталкивающая сила воды на один метр длины трубопровода qw, Н/м, определяется по формуле (9)

(9)
8.3.7 Температурный перепад в трубопроводе принимают равным разности между максимальной температурой транспортируемого продукта в процессе эксплуатации трубопровода и температурой воздуха, при которой фиксируется расчетная схема трубопровода.
8.3.8 Воздействие от предварительного напряжения трубопровода (упругий изгиб по заданному профилю) определяют расчетом с учетом принятого конструктивного решения трубопровода.
8.3.9 Воздействия от неравномерных деформаций грунта (просадки, пучение, влияние горных выработок и т.д.) определяют расчетом на основании анализа грунтовых условий и возможного их изменения в процессе эксплуатации трубопровода.
8.4.1 Для рабочего давления транспортируемого продукта
p, МПа, должны выполняться условия:
p <= pnom,
p + pg <= 1,4·pnom, (10)
где pnom - номинальное давление, МПа, регламентированное техническими условиями на трубы (соответствующее номинальному давлению труб PN);
pg - давление гидравлического удара, МПа.
8.4.2 Для однофазной жидкости при полной остановке потока pg определяется по формуле (11)

(11)
где pi - плотность транспортируемого продукта, кг/м3;
v - скорость течения транспортируемого продукта, м/с;
Eov - объемный модуль упругости транспортируемого продукта, МПа;
Eк - модуль упругости материала труб в кольцевом направлении, МПа;
di - внутренний диаметр трубы, м.
8.4.3 Выбранные таким образом трубы в дальнейшем проверяются на прочность в зависимости от принятого конструктивного решения трубопровода.
8.4.4 В случае неудовлетворения условиям прочности необходимо перейти на трубы с более высоким номинальным давлением.
8.5 Проверка прочности принятого конструктивного решения
8.5.1 Поверочный расчет трубопроводов на прочность производят после выбора его основных конструктивных параметров с учетом всех расчетных нагрузок и воздействий для всех случаев, возникающих при сооружении, испытании и эксплуатации.
8.5.2 Значения дополнительных напряжений, обусловленных прокладкой трубопроводов в особых условиях, определяются в соответствии с правилами строительной механики в зависимости от физико-механических свойств грунтов, в которых прокладывается трубопровод.
8.5.3 Расчетная область допустимых напряжений определяется условиями:

(12)
где

- кольцевое напряжение, МПа;

- продольные суммарные напряжения, МПа;
f2 - коэффициент безопасности, определяется по
таблице 1;
f3 - коэффициент, учитывающий способность стеклопластиковых труб выдерживать ограниченные осевые нагрузки, для подземного трубопровода принимается равным от 0,9 (для изогнутых) до 1,0 (для прямых участков);
RH - расчетная минимальная длительная прочность в кольцевом направлении, МПа, определяется по формуле (13)

(13)
Таблица 1
Значения коэффициента безопасности
f2
Нагрузки и воздействия | Значение коэффициента безопасности f2 |
Постоянные | 0,67 |
Временные длительные | 0,83 |
Кратковременные | 0,89 |
8.5.4 Графическое изображение расчетной области допустимых напряжений приведено на
рисунке 2.
Рисунок 2 - Расчетные области допустимых напряжений
для различных значений коэффициента безопасности f2
8.5.5 Расчет на прочность принятого конструктивного решения подземного трубопровода должен состоять в определении кольцевых и продольных напряжений от всех нагрузок и воздействий и проверке их нахождения в расчетной области допустимых напряжений.
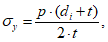
8.5.6 Значения кольцевых напряжений

, МПа, продольных (суммарных) напряжений

, МПа, продольных (суммарных) напряжений

с учетом сейсмического воздействия, МПа, в трубопроводах с углами поворота, выполненными упругим изгибом, определяются по формулам (14) - (16):

(14)

(15)

(16)
где

- коэффициент Пуассона материала труб в продольном направлении;

- коэффициент линейного теплового расширения материала труб, (°C)
-1;
Eпр - модуль упругости материала труб в продольном направлении, МПа;

- температурный перепад, °C;

- радиус упругого изгиба трубопровода, м;

- продольное напряжение в трубопроводе от воздействия неравномерных вертикальных деформаций грунта (при прокладке в пучинистых или просадочных грунтах), МПа;

- продольное напряжение в трубопроводе от сейсмического воздействия, МПа.
8.5.7 Продольные напряжения

, МПа, от воздействия неравномерных деформаций грунта при прокладке трубопроводов в пучинистых или просадочных грунтах определяются в соответствии с правилами строительной механики путем учета взаимодействия трубопровода с пучинистым или просадочным грунтом и в зависимости от физико-механических свойств этих грунтов. Для определения продольных напряжений могут использоваться соответствующие программные средства.
8.5.8 Продольные напряжения в трубопроводе от сейсмических воздействий

, МПа, определяются по формуле (17)

(17)
где
m - коэффициент защемления трубопровода в земле, определяемый по СП 284.1325800.2016
(таблица 17);
aс - сейсмическое ускорение, м/с2;
T0 - преобладающий период сейсмических колебаний грунтового массива, с;
cр - скорость распространения продольной сейсмической волны, м/с.
8.5.9 Сейсмическое ускорение
aс определяется по данным сейсмического районирования и микрорайонирования, но должно быть не менее величин, приведенных в
таблице 2.
Таблица 2
Величина сейсмического ускорения
Сила землетрясения, баллы | Сейсмическое ускорение aс, м/с2 |
7 | 1,0 |
8 | 2,0 |
9 | 4,0 |
8.5.10 Скорость распространения продольной сейсмической волны вдоль оси трубопровода в грунтовом массиве определяется при изысканиях - допускается принимать по СП 284.1325800.2016
(таблица 17).
8.5.11 Значение величины преобладающего периода сейсмических колебаний грунтового массива определяется при изысканиях.
8.5.12 Определение напряженно-деформированного состояния участков трубопровода, содержащего соединительные детали (отводы, тройники), необходимо производить методами строительной механики расчета статически неопределимых систем с учетом взаимодействия рассматриваемого участка трубопровода с грунтом, в том числе с использованием соответствующих программных средств.
8.5.13 В случае неудовлетворения определенным напряженно-деформированным состоянием условий прочности трубопровода на углах поворота трассы, выполненных с применением отводов, и в местах расположения равнопроходных тройников необходима установка анкерных устройств, способных фиксировать проектное положение фасонных деталей и воспринять продольные нагрузки.
8.6 Проверка устойчивости положения (против всплытия)
8.6.1 Устойчивость положения (против всплытия) трубопроводов, прокладываемых на обводненных участках трассы, необходимо проверять по условию:

(18)
где Qакт - суммарная расчетная нагрузка на трубопровод, действующая вверх, Н/м;
Qпас - суммарная расчетная нагрузка, действующая вниз (включая собственный вес), Н/м;

- коэффициент надежности устойчивого положения.
8.6.2 Значения коэффициента надежности устойчивого положения

принимаются по
таблице 3.
Таблица 3
Значения коэффициента надежности устойчивого положения

Характеристика участка трубопровода | Коэффициент надежности устойчивого положения  |
Обводненные и пойменные, за границами производства подводно-технических работ | 1,05 |
Русловые участки трассы через реки шириной до 200 м по среднему меженному уровню, включая прибрежные участки в границах производства подводно-технических работ | 1,1 |
Переходы нефтепроводов и нефтепродуктопроводов, для которых возможно их опорожнение и замещение продукта воздухом | 1,03 |
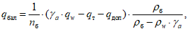
8.6.3 Расстояния между центрами утяжелителей Lу, м, определяются по формуле (19)

(19)
где Pут - вес в воздухе отдельного балластирующего устройства, Н;
qбал - величина нормативной интенсивности балластировки в воздухе, Н/м, определяемая по формуле (20)

(20)
где
nб - коэффициент надежности по нагрузке, принимаемый по
таблице 4;
qдоп - расчетная нагрузка от веса продукта, Н/м, которая учитывается при расчете трубопроводов, если в процессе их эксплуатации невозможно опорожнение и замещение продукта воздухом;

- плотность материала балластирующего устройства, кг/м
3.
Таблица 4
Значения коэффициента надежности по нагрузке
nб
Характеристика балластирующих устройств | Коэффициент надежности по нагрузке nб |
ПКГУ каркасного и бескаркасного типа | 0,7 |
Кольцевые железобетонные утяжелители и сплошное обетонирование | 0,9 |
Чугунные утяжелители | 1,0 |
8.7 Проверка несущей способности по условию устойчивости круглой формы поперечного сечения труб
8.7.1 Предельно допустимая величина овализации поперечного сечения стеклопластиковых труб не должна превышать 5%.
8.7.2 Для обеспечения допустимой величины овализации поперечного сечения трубопровода следует соблюдать условие:

(21)
где Q - полная погонная эквивалентная нагрузка, Н/м, определяемая по формуле (22)

(22)
где

- коэффициенты приведения нагрузок (принимаются согласно
8.7.6);
Qi - составляющие полной эквивалентной нагрузки (определяются согласно
8.7.3);

- коэффициент, учитывающий свойства основания и принимаемый равным:
- при укладке на плоское основание - 1,3,
- при укладке на спрофилированное основание - 1,2;
pe - внешнее радиальное давление, МПа, принимаемое равным:
- для необводненных участков - нулю,
- для обводненных участков - pw;
Eгр - модуль деформации грунта засыпки, МПа;
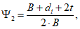
D - параметр, характеризующий жесткость трубопровода, МПа, определяемый по формуле (23)

(23)
где

- коэффициент Пуассона материала труб в кольцевом направлении.
8.7.3 Составляющие полной погонной эквивалентной нагрузки
Q1,
Q2,
Q3,
Q4,
Q5, Н/м, должны определяться по формулам (24) -
(32).
От давления грунта, Q1, Н/м:

(24)
где

- коэффициент, значением которого принимается большее из

(25)
где B - ширина траншеи на уровне верха трубопровода, м;
Kгр - коэффициент вертикального давления грунта, значение которого следует принимать:
- для песчаных и супесчаных грунтов засыпки:

(26)
где ht - расстояние от верха трубы до поверхности земли, м,
- для глинистых и торфяных грунтов засыпки:

(27)
От собственного веса трубопровода и транспортируемого продукта, Q2, Н/м:

(28)
От выталкивающей силы воды на обводненных участках трассы, Q3, Н/м:
Q3 = 1,2·qw. (29)
От равномерно распределенной нагрузки на поверхности грунта, Q4, Н/м:
Q4 = 1,4·qv·de·kw, (30)
где qv - интенсивность равномерно распределенной нагрузки на поверхности грунта, Н/м2;
kн - коэффициент, характеризующий жесткость засыпки, определяемый по формуле (31)

(31)
От подвижных транспортных средств, Q5, Н/м:

(32)
где

- коэффициент надежности по нагрузке от подвижных транспортных средств, принимаемый равным:
- для нагрузки от колонн автомобилей - 1,4,
- для нагрузки от гусеничного транспорта - 1,1;
qтр - нормативная равномерная нагрузка от подвижных транспортных средств, Па.
8.7.4 Нормативное равномерно распределенное давление от транспорта
qтр, Па, передаваемое на трубопровод через грунт при его прокладке под дорогами с нерегулярным движением транспорта, определяется в виде нагрузки от колонн автомобилей или от гусеничного транспорта, при этом следует принимать наибольшую из них. Значения нагрузок допускается определять в зависимости от глубины заложения трубопровода по графикам
рисунка 3.

- от автомобильного транспорта;

- от гусеничного транспорта
Рисунок 3 - Графики зависимости нормативного
равномерно распределенного давления транспорта
от глубины заложения трубопровода
8.7.5 Для трубопроводов, укладываемых в местах, где движение транспортных средств невозможно, величину qтр принимают равной 5000 Па.
8.7.6 Значения коэффициентов приведения нагрузок

,

принимают в зависимости от вида укладки по
таблице 5.
Таблица 5
Значения коэффициентов приведения нагрузок

и

Вид укладки | | |
На плоское основание | 0,75 | 0,75 |
На основание с углом охвата | 70° | 0,55 | 0,35 |
90° | 0,50 | 0,30 |
120° | 0,45 | 0,25 |
Значения коэффициентов

,

и

принимают равными единице.
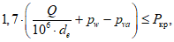
8.7.7 Для обеспечения устойчивости круглой формы поперечного сечения трубопровода необходимо соблюдать условие

(33)
где pva - величина вакуума, МПа;
Pкр - критическая величина внешнего давления, МПа.
8.7.8 В качестве критической величины внешнего давления Pкр принимают меньшее из двух значений, определенных по формулам (34), (35):

(34)
Pкр = D + 0,143·Eгр. (35)
8.8 Расчет надземного трубопровода
8.8.1 Расчет принятого конструктивного решения надземного трубопровода должен состоять из определения расстояний между опорами (пролета) и размеров компенсирующих устройств (если принятое конструктивное решение предусматривает установку компенсаторов).
8.8.2 Расстояния между опорами (длина пролетов) определяются из условий:
- нахождения максимальных напряжений, возникающих в надземном трубопроводе от действия всех нагрузок и воздействий, в области допустимых значений;
- непревышения допустимым прогибом трубопровода величины 0,5% длины пролета трубопровода, но не более 12,5 мм.
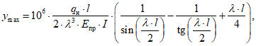
8.8.3 При бескомпенсаторной прокладке максимальные напряжения и наибольший прогиб (
ymax) определяются по формулам (36) -
(42):

(36)

(37)

(38)
где qн - собственный вес единицы длины надземного трубопровода с учетом снеговой vs и ветровой Wn нагрузок, Н/м;
l - расстояние между опорами (длина пролетов) трубопровода, м.

(39)

(40)
где
vs - снеговая нагрузка на единицу длины надземного трубопровода, Н/м, определяемая согласно СП 20.13330.2016
(раздел 10);
Wn - ветровая нагрузка на единицу длины надземного трубопровода, Н/м, определяемая согласно СП 20.13330.2016
(раздел 11).

(41)

(42)
8.8.4 При надземной прокладке с компенсаторами максимальные напряжения и наибольший прогиб определяются по формулам (43), (44):

(43)

(44)
8.8.5 Принятые конструктивные решения и расположение компенсаторов должны быть рассчитаны и обоснованы в проектной документации с учетом рекомендаций, приведенных в документации производителя.
9 Производство строительно-монтажных работ. Общие положения
9.1 Организация строительно-монтажных работ по строительству линейной части трубопроводов должна предусматривать поточный метод осуществления технологических операций. При этом соединение стеклопластиковых труб выполняется раздельно специализированными звеньями.
9.2 При выполнении строительно-монтажных работ учитывают специфические особенности труб - их ограниченную гибкость, чувствительность к механическим повреждениям.
Все строительные машины, оснастка и инструменты, рабочие поверхности которых в процессе технологических операций контактируют с материалом труб и деталей, должны быть соответствующим образом защищены эластичными прокладками и покрытиями.
9.3 Требования к проведению измерений и контроля основных параметров по всем видам технологических процессов строительно-монтажных работ, а также выбору средств измерения для контроля следует устанавливать согласно
СП 284.1325800.
9.4 При производстве работ по соединению труб в условиях низких температур и выпадения осадков используются специальные укрытия, обеспечивающие возможность осуществления сборки и склеивания с соблюдением заданных технологических режимов.
9.5 При выполнении строительно-монтажных работ нельзя допускать воздействий на трубы, не предусмотренных технологическими схемами силовых нагрузок.
9.6 Технологические процессы следует выполнять в соответствии с технологическими картами, утвержденными подрядчиком и согласованными с заказчиком. Любое изменение в процессе строительства технологии производства работ необходимо согласовывать с заказчиком, разработчиком технологических карт или ППР и авторским надзором.
9.7 Ширина строительной полосы принимается согласно
[4],
[5].
9.8 На участках болот трубопроводы следует прокладывать преимущественно в зимнее время при условии, что эти болота сложены полностью разложившимся торфом (т.е. в торфе не происходит тепловых процессов).
9.9 Для обеспечения защиты поверхности трубопровода при использовании кольцевых железобетонных и чугунных утяжелителей необходимо использовать средства футеровки.
9.10 Строительство теплоизолированных трубопроводов следует осуществлять с применением готовых к монтажу теплоизолированных труб и соединительных деталей, изготовленных в заводских условиях или базовых условиях в соответствии с
СП 86.13330.
После монтажа трубопровода из теплоизолированных труб необходимо осуществить теплоизоляцию стыков трубопровода.
9.11 Монтаж теплоизолированного трубопровода с попутным электрообогревом выполняется на основе технологических карт, разработанных с учетом типа и конфигурации системы электрообогрева.
9.12 Испытания на прочность и герметичность трубопровода следует проводить после окончания монтажа системы электрообогрева.
9.13 В проекте производства работ на переходы трубопроводов через овраги, балки и малые водотоки следует разрабатывать отдельные технологические карты на следующие виды работ: разработка траншеи; монтаж трубной плети (с указанием мест технологических захлестов и последовательности их сборки); укладка плети; балластировка; засыпка, а в ряде случаев и на испытания.
10 Входной контроль труб и соединительных деталей
10.1 Входной контроль труб и соединительных деталей производится организацией-грузополучателем или специализированной службой входного контроля согласно
ГОСТ 24297 и
таблице 6 с оформлением акта входного контроля. Данная приемка производится при получении указанной продукции от заводов-изготовителей и других поставщиков по месту разгрузки продукции с транспортных средств или после ее доставки от мест разгрузки на площадки складирования.
Таблица 6
Перечень возможных дефектов поверхности труб
Тип дефекта | Описание | | Корректирующее действие при контроле |
Вздутия | Вздутия, образующиеся на поверхности или внутри слоя, обогащенного смолой | Допускаются глубиной не более 1,5 мм | Отбраковка |
Изменение цвета | Термическое разложение, подтверждаемое деформацией или изменением цвета поверхности стеклопластика | Допускается не более 20% изменения цвета поверхности изделия | Отбраковка |
Разрушение покрытия и ослабление волокон | Небольшое повреждение наружной поверхности под действием ультрафиолетового излучения или кислотного дождя, вызываемое хранением в течение длительного времени | Глубина не ограничивается поверхностным слоем, площадь поверхности не ограничивается, волокна не ослабляются | Отбраковка (текущий ремонт) |
Скол | Отрыв небольшого куска материала от края или поверхности изделия без разрыва армирующих волокон | На внутренней поверхности не допускаются. На наружной поверхности изделий допускаются сколы и царапины не более 10 на 1 м2 глубиной не более 0,7 мм при ширине не более 1 мм | Отбраковка (текущий ремонт) |
Трещина | Реальное разделение слоистого материала, видимое на противоположных поверхностях, проходящее через стенку. Непрерывная трещина может идентифицироваться светлым участком | Дефект допускается при условии, что глубина трещин не превышает 0,8 мм, но не более толщины слоя смолы | Отбраковка (текущий ремонт) |
Максимальная глубина более толщины слоя смолы | Отбраковка |
Кольцевые трещины не допускаются | Отбраковка |
Волосные трещины | Тонкие трещины на поверхности стеклопластика или под ней шириной не более 1 мм | Максимальная длина трещин - менее 25 мм | Принятие |
Максимальная длина трещин - более 25 мм | Отбраковка (текущий ремонт) |
Разрезанный ровинг | Разорванный или разрезанный ровинг как результат зачистки, истирания или технологического процесса | Максимум три участка разрезанных ровингов на трубу площадью каждого участка менее 25 x 25 мм. Максимальная глубина такова, что толщина стенки не уменьшается до значения менее ее минимального значения | Принятие |
Расслоение (внутреннее) | Видимая сплошная область в слоистом пластике как результат недостаточного сцепления между смолой и волокнами. Разделение слоев стеклопластика | Не допускается | Отбраковка |
Оголение волокон | Место на поверхностной пленке, в котором арматура увлажнена смолой | Не допускается | Отбраковка |
Разрыв | Разрушение стеклопластика с полным проникновением. Большинство волокон разорвано. Место разрушения выглядит как более светлая окрашенная область | Не допускается | Отбраковка |
Ямка (микроотверстие) | Небольшой кратер на внутренней поверхности слоистого пластика, ширина (максимальный диаметр) которого равна или менее глубины | Диаметр более 0,8 мм | Отбраковка |
Царапины | Неглубокие царапины, возникающие в результате неправильного перемещения, хранения и/или транспортирования. Если волокна арматуры разрываются, то такое повреждение считается трещиной | Неповрежденные волокна остаются незащищенными на всей площади или таких волокон нет, но на площади, равной или превышающей 100 мм2, недостает смолы | Отбраковка (текущий ремонт) |
Незащищенных волокон нет и площадь, на которой недостает смолы, составляет менее 100 мм2 | Отбраковка (текущий ремонт) |
Разрывы, разрезы, дробление, кромки или другие дефекты | Нарушается непрерывность резьбы | Не допускается в пределах минимальной длины в вершине наружной резьбы, отсчитываемой от конца трубы | Отбраковка |
Повреждения, вызванные ударами, старением или абразивным износом, возникающие при неправильном транспортировании, обращении (повреждения со светлой областью) | Светлая область с разорванными волокнами или без разорванных волокон | Не допускается просачивание или неисправность трубопровода. Не допускаются повреждения при образовании расслоения. При повреждении волокон на наружной поверхности трубы допускается максимум 3 повреждения размером менее 25 x 25 мм на одну трубу при условии, что толщина стенки трубы не уменьшается ниже минимально допустимого значения | Замена (крупный дефект), ремонт (мелкий дефект) |
<*> Все критерии оценки носят рекомендательный характер и должны соответствовать техническим условиям на трубы заводов-изготовителей, утвержденным в установленном порядке. |
10.2 По результатам ежегодной инвентаризации трубы и соединительные детали с истекшим гарантийным сроком хранения в местах складирования, на промежуточных базовых и притрассовых складах подлежат освидетельствованию с целью определения их пригодности для дальнейшего использования согласно
таблице 6.
10.3 Каждая партия труб должна иметь сертификат (паспорт) завода-изготовителя, в котором указывается номер заказа, стандарт организации, по которым изготовлены трубы, размер труб и их число в партии, результаты гидравлических и, при необходимости, механических испытаний, и номер партии. Все детали, узлы трубопроводов и элементы запорной (распределительной) арматуры должны иметь технические паспорта и руководство по эксплуатации или инструкцию по монтажу, составленные заводами-изготовителями. В состав сопроводительной документации должно входить руководство по эксплуатации трубопроводов из стеклопластиковых труб.
10.4 Проверка внешнего вида наружной и внутренней (для DN 300 и более) поверхности труб и соединительных деталей производится визуально с применением, при необходимости, местного освещения.
10.5 На внутренней поверхности труб и соединительных деталей не допускаются любые инородные включения.
10.6 На наружной поверхности труб и соединительных деталей:
- допускаются риски, царапины, местные раковины в слое связующего глубиной до 0,5 мм, не оголяющие армирующий материал, неровности и наплывы смолой высотой до 5 мм, растрескивание смоляного слоя;
- допускается разнотонность поверхности от светло-желтого до темно-коричневого цвета.
10.7 Соединения труб и деталей не должны иметь расслоений и следов механических ударов по торцам и поверхностям, контактирующим с уплотнительными элементами.
10.8 Трубы и соединительные детали считаются пригодными для эксплуатации при условии, что они соответствуют стандартам организации на их изготовление и поставку, имеют заводскую маркировку и сертификаты и отвечают рекомендациям по эксплуатации.
10.9 Не менее чем на пяти образцах труб от партии проводится контроль конусности и натягов муфтовой и ниппельной резьбы.
10.10 Конусность наружной резьбы по наружному диаметру и внутренней резьбы по диаметру проверяется гладкими коническими калибрами-кольцами и калибрами-пробками (см.
рисунок 4).
1 - гладкий калибр-кольцо; 2 - гладкий калибр-пробка
Рисунок 4 - Проверка конусности резьбы гладкими калибрами
10.11 При контроле конусности по наружному диаметру наружной резьбы гладкий калибр-кольцо надевается на резьбу, и если при этом имеет место качание в поперечном направлении, то измеряется с помощью набора пластинчатых щупов шириной 3 мм - для труб диаметром до 130 мм и 4 мм - для труб больших диаметров. Величина зазора в этом случае характеризует отклонение разности диаметров от номинального значения на длине контакта резьбы с калибром.
Если гладкий калибр не имеет качания, то щупом проверяют зазоры между калибром и резьбой. Максимальный суммарный зазор, измеренный в двух противоположных по образующей калибра точках, характеризует отклонение разности диаметров на длине калибра.
10.12 При контроле конусности по внутреннему диаметру внутренней резьбы гладкий калибр-пробка плотно вставляется в резьбу, и если при этом имеет место качания в поперечном направлении, то калибр отжимается к одной стороне резьбы, а образовавшийся зазор измеряется с помощью набора щупов. Величина зазора характеризует отклонение разности диаметров от номинального значения на длине контакта калибра с контролируемой поверхностью. Если гладкий калибр-пробка не имеет качания, то щупом проверяют зазоры между калибром и контролируемой поверхностью по всей окружности. Максимальный суммарный зазор, измеренный в двух противоположных по образующей калибра точках, характеризует отклонение разности диаметров на длине калибра.
10.13 Допуск на величину конусности на длине резьбы один метр на диаметр составляет минус 3,6 и плюс 5,2 мм. При контроле конусности калибрами производится перерасчет указанной величины допуска на длину используемых при проверке гладких калибров.
10.14 Натяг резьбы проверяется резьбовыми калибрами-пробками и резьбовыми калибрами-кольцами.
10.15 В случае необходимости проводится контроль геометрических размеров профиля резьбы муфт и ниппелей у одной или нескольких труб, такая проверка проводится в метрологической лаборатории с использованием специального инструмента и оборудования по разработанным для этой цели и утвержденным в установленном порядке инструкциям.
10.16 Полученные при освидетельствовании результаты внешнего осмотра и инструментального контроля заносят в ведомость. В ведомости должны быть отмечены трубы и другие элементы, подлежащие ремонту. Ремонту в трассовых условиях подлежат только те дефекты труб и других элементов, которые приведены в
таблице 6.
Методы ремонта труб в трассовых условиях должны устанавливаться в инструкции завода-изготовителя.
10.17 Трубы (соединительные детали, элементы арматуры), прошедшие освидетельствование, должны быть промаркированы.
Трубы и соединительные детали следует поставлять потребителю в комплекте с элементами стыковых соединений и инструкцией по сборке. Трубы и детали с фланцевыми стыками должны быть оснащены по обоим концам несъемными металлическими или прессованными фланцами. Трубы и детали с муфтовыми стыками поставляют в комплекте с муфтами. Трубы и детали с резьбовыми и раструбными стыками поставляют в комплекте с уплотнениями и фиксирующими элементами стыков.
10.18 По результатам освидетельствования комиссия составляет акт, в котором указывает число освидетельствованных труб, число труб, признанных годными для использования при сооружении трубопроводов, подлежащих ремонту, и число полностью отбракованных труб. В последнем случае в акте комиссия обязана указать возможность их дальнейшего использования по основному назначению. В акте должны быть указаны причины, в результате которых трубы потребовали ремонта или пришли в негодность.
11 Транспортирование и складирование труб и соединительных деталей
11.1 Транспортирование труб и соединительных деталей может осуществляться любым видом транспорта с соблюдением правил перевозки грузов, действующих для этих видов транспорта.
11.2 Транспортирование может проводиться в контейнерах, пакетах или свободных укладах.
11.3 Все опорные поверхности транспортного средства, контактирующие с перевозимой продукцией, должны быть ровными и гладкими, без выступающих частей, острых предметов и кромок, способных нарушить целостность упаковки и наружной поверхности труб и фасонных изделий. Все металлические части платформы (полуприцепа), с которыми возможен контакт перевозимых труб, должны быть снабжены надежно закрепленными эластичными накладками или отгорожены деревянными прокладками.
11.4 Для предохранения труб от повреждений, а также для того, чтобы трубы во время транспортирования не смещались, под их нижний ряд, а также между рядами нужно устанавливать прокладки. Для первого ряда труб, уложенного на дно кузова, расстояние между прокладками должно быть не более 2 м и располагаться эти прокладки должны перпендикулярно трубам. Толщина всех прокладок должна быть одинаковой и достаточной для того, чтобы раструбы или ниппели с предохранительными кольцами не касались дна кузова. Подкладки должны быть оборудованы кольцевыми упорами и расположены друг под другом по вертикали.
11.5 По требованию заказчика при погрузке труб их следует укладывать таким образом, чтобы все раструбы были направлены в одну сторону.
11.6 При погрузке труб в несколько рядов необходимо использовать вертикальные боковые стойки с обеих сторон кузова для предотвращения скатывания труб. Расстояние между стойками должно быть от 2,5 до 5 м.
11.7 Для обеспечения сохранности груза необходимо использовать стяжки из брезентовых ремней, обрезиненных тросов и т.д., которые нужно регулярно проверять и, по необходимости, периодически подтягивать.
11.8 Перед погрузкой и разгрузкой труб необходимо убедиться в том, что предохранительные резьбовые кольца и пробки находятся на месте и все они туго затянуты.
11.9 Погрузку и разгрузку труб и соединительных деталей можно проводить пакетами или отдельно по одной трубе или детали, в зависимости от диаметра. Нельзя откидывать боковые стенки или борта и сбрасывать трубы на землю. Запрещается перемещение труб волоком по земле.
11.10 Запрещается поднимать трубы с помощью крюков, вставленных в раструбные и ниппельные концы труб. При подъеме труб и пакетов необходимо соблюдать осторожность и предохранять их от чрезмерного изгиба. Погрузка и разгрузка труб осуществляется грузоподъемными механизмами, имеющими траверсу и мягкие полотенца или мягкие ленточные стропы шириной не менее 100 мм. Погрузку труб выполняют два стропальщика, один из которых назначается старшим.
11.11 При погрузо-разгрузочных работах, транспортировании и хранении труб и фасонных изделий во избежание их повреждения запрещены ударные и механические воздействия. Габаритная высота автотранспортного средства с грузом не должна превышать 4 м.
11.12 Условия складирования (хранения) труб и фасонных изделий должны обеспечивать их сохранность от механических повреждений, сохранность геометрических параметров, обеспечивать устойчивость труб от раскатывания (падения).
11.13 Запрещается укладывать трубы непосредственно на землю или пол на складе. Их нужно укладывать на прокладки, установленные на полу перпендикулярно трубам. Такие же прокладки следует размещать между рядами труб.
11.14 С наружной стороны штабеля труб необходимо устанавливать боковые стойки, предохраняющие трубы от скатывания.
11.15 Штабель должен быть уложен плотно без зазоров. Количество труб в каждом последующем ряду должно быть не более количества труб в нижерасположенном ряду для того, чтобы ни одна труба верхнего ряда не выступала из-за последней трубы предыдущего ряда. Высота штабеля не должна превышать 2 м и число рядов не должно быть больше шести. Трубы укладываются на подкладки (нижний ряд) и прокладки с концевыми упорами (последующие ряды по высоте) сечением 40 x 100 мм. Число подкладок и прокладок по длине труб - не менее четырех. Торцы труб должны выступать за крайние подкладки и прокладки на 80 - 100 см. Запрещается укладывать в один штабель трубы разного диаметра и разной длины.
11.16 При транспортировании и хранении труб и соединительных деталей для подземной прокладки, изготовленных без применения специального пигмента, поглощающего ультрафиолетовые лучи, или иных средств защиты, не допускается воздействие на них прямых солнечных лучей более 3 мес, если иное не предусмотрено в действующих национальных и/или межгосударственных стандартах, технических условиях (стандартах организаций) на их производство.
11.17 Длительное хранение труб и соединительных деталей осуществляется в закрытых помещениях или под навесом при температуре от минус 50 °C до плюс 50 °C в условиях, исключающих воздействие атмосферных осадков и прямых солнечных лучей, и не ближе 1 м от нагревательных приборов.
11.18 Максимальный срок хранения труб и соединительных деталей должен соответствовать нормативной документации на их производство.
Минимальный гарантийный срок хранения труб и соединительных деталей при выполнении условий хранения - два года со дня изготовления.
11.19 Защитные торцовые приспособления нельзя снимать до момента сборки на трассе, т.к. они защищают раструбную и ниппельную части трубы от повреждения и не допускают попадания пыли, снега и грязи в трубу. Если защитное приспособление утеряно, то необходимо надежно заглушить трубу и обеспечить защиту ниппеля.
11.20 Муфты должны быть упакованы поставщиком так, чтобы избежать повреждений во время транспортирования. Их следует хранить внутри склада. Муфты нельзя укладывать в штабели, они должны быть расположены в горизонтальном положении на стеллажах в один ряд.
11.21 Уплотнительные кольца необходимо хранить в темном помещении с температурой окружающей среды от 0 °C до 30 °C. Необходимо избегать попадания прямых солнечных лучей. Срок хранения уплотнительных колец в соответствии с гарантией, установленной заводом-изготовителем. По истечении гарантийного срока хранения для дальнейшего использования необходимо проведение освидетельствования с целью определения их пригодности на соответствие стандартам производителя.
12 Технология соединения труб и деталей. Контроль качества
12.1 Аттестация технологии соединения труб и соединительных деталей
12.1.1 Перед началом производства работ необходимо провести аттестацию технологии соединения труб и соединительных деталей, используемой при сооружении трубопровода данного диаметра.
Аттестуемая технология соединения труб и соединительных деталей, разрабатываемая на базе руководства по монтажу и эксплуатации изготовителя труб, должна быть представлена технологической картой, которая согласовывается с заказчиком и утверждается подрядчиком.
В технологической карте должны быть указаны:
- основные параметры труб и деталей;
- параметры по подготовке соединяемых концов труб и деталей;
- параметры точности сборки соединений с указанием размеров допусков;
- применяемые герметики или склеивающие компоненты и их процентный состав в смеси;
- инструменты и приспособления для соединения труб и деталей;
- параметры технологического процесса сборки;
- технологические схемы сборки соединения;
- параметры технологического процесса сборки, склеивания и последовательность операций;
- способы контроля качества соединения;
- параметры, требующие регистрации в журнале выполнения соединений;
- мероприятия по охране труда (спецодежда, инструменты, защитные средства и т.д.);
- мероприятия по охране окружающей среды.
12.1.2 Для аттестационных испытаний технологии привлекаются монтажники, прошедшие обучение и имеющие соответствующую квалификацию. В процессе испытаний необходимо выполнить соединение труб в производственных условиях (на трассе) в соответствии с технологической картой в присутствии представителей строительного контроля заказчика.
В процессе выполнения аттестационных работ стык подвергается пооперационному контролю визуально и с применением инструментов, а после завершения работ соединение труб подвергается испытаниям на прочность и проверке на герметичность внутренним гидростатическим давлением с параметрами нагружения согласно
разделу 17.
Допускается аттестационные испытания технологии производить на укороченных образцах с заглушенными для гидроиспытаний концами.
12.1.3 Технологический процесс соединения труб считается аттестованным, если по данным операционного визуального контроля, гидроиспытаний на прочность и проверки на герметичность соединение удовлетворяет нормативным положениям настоящего стандарта и иным действующим нормативным документам.
В случае получения неудовлетворительных результатов по каким-либо испытаниям и контролю проводится повторная аттестация двух дополнительных соединений труб. Если при повторных испытаниях опять будут получены отрицательные результаты, то решение о продолжении испытаний принимается после выявления причин и их устранения.
12.1.4 По положительным результатам испытаний технологии соединения труб составляется акт аттестации технологии соединения труб, который должен содержать: список состава звена по соединению труб и деталей; клейма исполнителей; название технологической карты и ее разработчика, по которой выполнена аттестация; марки использованных материалов, технологические режимы выполнения операций.
К акту прилагают результаты визуального операционного контроля, контроля физическими методами (визуально-измерительный контроль) и механическими испытаниями (результаты механических испытаний материала на заводе-изготовителе).
Акт аттестации технологии соединения сдается заказчику в составе исполнительной документации.
12.1.5 При изменении состава бригады, применяемой техники, материалов или технологических параметров должны быть проведены новые аттестационные испытания.
12.1.6 Специалисты организации (рабочий и инженерно-технический персонал), допускаемые к производству монтажа соединений стеклопластиковых труб, обязаны пройти обучение, аттестацию (проверку знаний) и иметь квалификационные документы, подтверждающие прохождение обучения и сдачу квалификационного экзамена с присвоением квалификации специалистов-монтажников, имеющих право выполнять работы по монтажу трубопроводов из стеклопластиковых труб.
При этом периодическая аттестация (проверка знаний) специалистов организации, имеющих допуск на проведение монтажа трубопроводов из стеклопластиковых труб, на предмет теоретических знаний и практических навыков по монтажу соединений стеклопластиковых труб должна проводиться не реже чем один раз в год.
Внеочередная аттестация (проверка знаний) должна проводиться при перерыве более шести месяцев в работе специалиста по монтажу трубопроводов из стеклопластиковых труб, в случае изменения соответствующей нормативной технической документации, а также в иных случаях, предусмотренных соответствующими нормативными правовыми актами.
Периодическая и внеочередная аттестация (проверка знаний) специалистов проводится в комиссиях организаций, в которых работают аттестуемые, если иное не установлено соответствующими нормативными правовыми актами. Специалисты подрядных и других привлекаемых организаций могут проходить аттестацию в аттестационных комиссиях организации-заказчика.
12.1.7 Перед началом монтажных работ исполнители должны быть проинструктированы о порядке ведения монтажа и по охране труда с отметкой в соответствующем журнале (по допуску к работе), заверенной подписью ответственного лица.
12.1.8 Соединение стеклопластиковых труб при монтаже трубопроводов должно производиться согласно настоящему стандарту, а также в соответствии с проектными решениями, рекомендациями и инструкциями заводов-изготовителей или организаций-поставщиков и опыта по производству аналогичных работ.
12.2 Подготовительные операции
12.2.1 Во время подготовки и ведения монтажных операций поблизости нельзя разводить огонь или вести огневые работы без применения защитных средств. Перед началом сборки необходимо провести тщательную ревизию стыкуемых концов труб и подготовку их соединяемых поверхностей, включая:
- измерение диаметров и других элементов концов труб, подлежащих соединению;
- тщательную очистку от загрязнений как наружной, так и внутренней полостей кромок с использованием чистой сухой ветоши или ветоши, смоченной в растворителе с последующей тщательной просушкой;
- осмотр поверхностей на предмет выявления на них выщерблин, трещин и других повреждений, которые при дальнейшей сборке могут помешать получить плотное и прочное соединение.
Все трубы и детали, имеющие повреждения на соединяемых кромках и поверхностях, должны быть отбракованы и соединению не подлежат.
12.2.2 Перед сборкой соединений труб должны быть подготовлены и проверены сборочные приспособления (по размерам и комплектности), мерные динамометрические ключи, кисти для нанесения компаунда, мерные емкости для приготовления компаунда (клеевого состава) согласно рецептурным данным поставщика труб и деталей, чистая ветошь для протирки концов, чистые перчатки сборщикам труб и другой вспомогательный инвентарь (подкладки под концы труб, при необходимости, уровень для уточнения соосности труб и др.).
12.2.3 При необходимости защиты собираемых стыков от пыли, песка, дождя, снега их сборка, склейка и термообработка должны производиться в укрытии.
12.2.4 Уплотнительные кольца, клеи и смазки перед употреблением должны храниться в теплом помещении в целях избежания потери эластичности (уплотнительных колец) и загустевания (клеев и смазок). При сборке стыка во избежание изменения свойств указанных материалов работы необходимо выполнять без перерывов в соответствии с технологической документацией завода - изготовителя изделия.
12.2.5 Перед сборкой должны быть проверены по размерам стопорные элементы и приспособления (насадки) для их заправки.
12.2.6 При раскладке труб (секций) более узкий конец трубы (ниппель) должен быть расположен в сторону движения продукта.
12.3 Сборка фланцевых соединений
12.3.1 При соединении стеклопластиковых труб на металлических фланцах, на стеклопластиковых фланцах и соединении стеклопластиковой трубы со стальной с помощью фланца следует учитывать реальные нагрузки, возникающие при монтаже в трассовых условиях, - они не должны превышать расчетные.
12.3.2 Во избежание перекосов при затяжке болтов, шпилек в процессе сборки фланцевых стыков следует прежде проверить соответствие фланцев между собой.
12.3.3 Уплотнительные прокладки между затягиваемыми фланцами должны по характеристикам соответствовать указанным в инструкции на данный трубопровод.
12.3.4 Усилия затяжки болтов должны быть предусмотрены технологической картой на сборку фланцевых соединений.
12.3.5 При присоединении стеклопластиковых фланцев к металлическим рекомендуется использовать плоские стеклопластиковые фланцы.
В случае наличия на них выступа необходимо между собираемыми фланцами вставить прокладку, по толщине равную выступу (выровнять поверхность). Тип прокладки определяется из условий эксплуатации.
12.3.6 Затяжку болтов фланцевых соединений стеклопластиковых труб производят динамометрическими ключами равномерно в диаметрально противоположном порядке, что позволит избежать перекосов и концентрации напряжений на бурт стеклопластиковой трубы.
12.4 Сборка раструбных соединений
12.4.1 Перед началом монтажа трубы и соединительные детали должны быть очищены и проконтролированы визуально на наличие маркировки, подтверждающей соответствие их назначению, дефектов и повреждений.
12.4.2 Монтажные операции начинаются с раскладки труб вдоль траншеи ниппельными концами по направлению движения потока.
12.4.3 Монтаж стыков труб производится, как правило, либо на берме траншеи, либо непосредственно в траншее. В последнем случае для удобства работы следует либо предусматривать увеличение ширины траншеи, либо делать приямки на месте стыковки труб. При сборке на берме траншеи для предотвращения скатывания трубы размещаются на расстоянии от 1 до 1,5 м от края траншеи под углом от 15° до 20°.
12.4.4 Резьбовые протекторы удаляются непосредственно перед свинчиванием труб.
12.4.5 Ниппельную часть трубы вставляют в раструбную (муфтовую) часть другой трубы до упора, избегая ударов при сопряжении соединений. При сопряжении и свинчивании соединений необходимо контролировать соосность центрируемых труб путем перемещения раструбной части.
12.5 Монтаж технологических разрывов
12.5.1 В процессе строительства трубопровода возможно возникновение ситуаций, когда требуется ликвидировать (замкнуть) технологический разрыв между уложенными участками трубопровода, соединить испытанную рабочую плеть перехода с нитками трубопровода.
В этих случаях в зависимости от конструкции концов труб используются свои технологические схемы, которые следует отразить в соответствующих технологических картах производства работ.
12.5.2 Расстояние (разрыв) между замыкаемыми участками трубопровода должно быть минимальным для условий сборки его из труб стандартной длины.
12.5.3 В месте монтируемого разрыва участки трубопровода должны быть не засыпаны (или отрыты) на длину 25 - 30 м каждый.
12.5.4 В местах сборки стыков монтажа технологического разрыва разрабатываются приямки в соответствии с
13.1.9 и, если необходимо, уширяется траншея.
12.5.5 Замыкаемые концы труб технологического разрыва приводятся в соосное положение, проводится измерение длины разрыва при фиксируемых температуре и влажности окружающего воздуха; определяются длина и тип замыкающей разрыв трубной конструкции.
12.5.6 Выбор типа соединения в зависимости от рабочего давления
Pраб и диаметра труб приведен в
таблице 7.
Таблица 7
Тип соединения в зависимости от рабочего давления
Pраб
и диаметра труб
Тип соединения | Максимальное рабочее давление Pраб, МПа | Номинальный диаметр труб DN |
Муфтовое | до 1,6 | 50 - 450 |
Фланцевое | 1,6 - 21,0 | 50 - 450 |
Раструбное | 10,0 - 21,0 | 50 - 300 |
12.5.7 Уложенные участки трубопровода на переходах под дорогами или реками должны быть предварительно испытаны до присоединения их в нитку на прочность и герметичность.
С этой целью необходимо заглушить испытываемый участок.
Исходя из конструкций труб должны применяться заглушки, поставляемые изготовителем труб.
Для подключения шланга подачи испытательной среды в одну из заглушек монтируется стальной патрубок с краном и манометром, к которому подключается нагнетательная линия испытательной среды (вода, воздух, газ).
Эти заглушки подсоединяются к испытываемому участку так же, как между собой трубы с теми же уплотнениями и замками.
Подача испытательных сред должна осуществляться на давление, предусмотренное проектом в зависимости от диаметра, толщины стенки труб и т.д.
12.6 Контроль качества соединений труб и соединительных деталей
12.6.1 Раструбные, муфтовые и фланцевые соединения трубопроводов должны отвечать техническим требованиям к качеству изготовления и методам контроля, установленным настоящим стандартом, а также документацией заводов - изготовителей стеклопластиковых труб и соединительных деталей. Данные требования должны быть приведены в проектной документации и в руководстве по монтажу и эксплуатации трубопроводов.
12.6.2 Производственный контроль качества соединений включает: контроль наличия и качества технологических карт; входной контроль изделий для соединения и материалов; операционный контроль отдельных технологических операций, приемочный контроль соединений.
12.6.3 Входной контроль материалов и изделий производится в соответствии с
разделом 10.
12.6.4 Приемочный контроль соединений производится при испытании уложенного трубопровода в соответствии с
разделом 17. Операционный контроль осуществляется в соответствии с технологической картой на сборку стыка. В процедуру операционного контроля входит проверка:
- наличия и соответствия инструментария и приспособлений технологическим картам;
- качества сборки стыков путем определения соосности труб;
- последовательности подготовки кромок труб (раструба, муфт, уплотнительных колец) к сборке (их смазка, перпендикулярность торцов осям труб, соответствие соединительных деталей);
- соответствия временного и температурного режимов термообработки клеевых соединений.
12.6.5 Для фланцевых и резьбовых соединений проверяется степень затяжки. Проверку степени затяжки болтов фланцевых соединений и резьбовых соединений следует производить динамометрическими ключами.
12.6.6 В качестве контрольно-измерительных средств должны применяться:
- микрометры и штангенциркули с точностью измерения 0,1 мм - для измерения толщин стенок труб;
- металлические линейки и рулетки - для измерения диаметров и периметров концов труб и соединительных деталей;
- секундомеры - для измерения времени.
12.6.7 Проверка герметичности соединений трубопровода является контрольной операцией технологического процесса монтажа трубопровода и должна выполняться с отметкой в исполнительной документации.
Герметичность соединений трубопровода следует контролировать по спаду давления, а поиск мест утечек в стыках - визуально, путем их покрытия мыльной эмульсией и по характерному шуму. При проверке контрольным газом утечки можно определить с помощью течеискателей.
Герметичность раструбно-ниппельного соединения необходимо обеспечивать уплотнительными кольцами из химически стойкого эластичного материала, срок службы которых должен составлять не менее 20 лет.
12.6.8 Проверку герметичности соединений труб контрольным газом или воздухом с одорантом производят при давлении до 15% от рабочего давления, но не более 0,6 МПа. Проверку герметичности водой производят при давлении до 50% от рабочего давления, но не более 2 МПа.
13.1 Разработка траншеи и подготовка дна
13.1.1 При проведении земляных работ необходимо руководствоваться СП 86.13330.2014 (
п. 8.1.3 и
п. 8.1.10).
13.1.2 Глубина разрабатываемой траншеи должна быть достаточной для заглубления трубопровода. При необходимости устройства мягкой подсыпки или других защитных мероприятий глубину траншеи увеличивают.
13.1.3 Минимальная ширина траншеи по дну для трубопроводов номинальным диаметром до 450 мм должна быть не менее DN + 300 мм.
Ширина траншей по дну при балластировке трубопровода утяжеляющими грузами или закреплении анкерными устройствами назначается из условия обеспечения расстояния между балластирующим устройством и стенкой траншеи не менее 0,2 м, а для трубопроводов с тепловой изоляцией устанавливается проектной документацией.
Дно траншеи должно быть тщательно спланировано и очищено от камней, комьев грунта, корней деревьев и др.
13.1.4 Крутизна откосов траншеи должна соответствовать требованиям СП 86.13330.2014
(таблица 8.1).
13.1.5 В зимний период очистку трассы от снега производят непосредственно перед разработкой траншеи. Длина очищаемого участка трассы определяется в зависимости от производительности комплекса машин и должна соответствовать его выработке за одну-две смены.
13.1.6 Траншея под трубопроводы малых диаметров (до DN 200) в мягких грунтах может разрабатываться плужными канавокопателями.
13.1.7 В зимнее время траншея, как правило, в задел не разрабатывается во избежание образования твердых комьев грунта и ее заноса снегом и образования льда. Если в траншее появляются твердые комья грунта, снег или лед, то их необходимо удалить.
13.1.8 Приемку траншеи следует осуществлять перед укладкой с обязательной нивелировкой дна траншеи. Нивелировку необходимо выполнять с соблюдением следующих интервалов:
- через 50 м - на прямых участках;
- через 10 м - на кривых упругого изгиба трубопровода;
- через 2 м - на кривых, монтируемых из отводов.
13.1.9 В местах, где предусмотрен монтаж технологических захлестов, разрабатывают приямки следующих размеров: длиной 1,0 м, шириной
D + 1,2 м, глубиной 0,7 м.
13.1.10 Разработку траншей одноковшовым экскаватором следует вести с устранением гребешков на дне в процессе копания.
Это достигается, например, протаскиванием ковша по дну траншеи в обратном копанию направлении после завершения разработки участка траншеи.
13.1.11 На участках с высоким уровнем грунтовых вод разработку траншей следует начинать с более низких мест для обеспечения стока воды и осушения вышележащих участков.
13.1.12 Для предохранения от механических повреждений трубопровода в каменистых и мерзлых грунтах на дне траншеи устраивают постель (подсыпку) из мягкого или мелкогранулированного грунта толщиной не менее 10 см над выступающими частями дна траншеи. Постель устраивают преимущественно из отвального грунта путем его рыхления и просеивания или привозным грунтом. Этот грунт не должен содержать масел и других органических примесей.
13.1.13 При проведении взрывных работ для рыхления грунтов смонтированный по трассе трубопровод необходимо защитить специальными щитами от возможных повреждений разлетающимися кусками грунта.
13.1.14 Необходимость временного крепления стенок траншеи и котлованов устанавливается проектом в зависимости от глубины выемки и траншеи, состояния грунта, гидрогеологических условий, величины и характера временных нагрузок на берме и других местных условий.
При невозможности применения инвентарных креплений стенок котлованов или траншей следует применять крепления, изготовленные по индивидуальным проектам, утвержденным в установленном порядке.
При установке креплений верхняя часть их должна выступать над бровкой выемки не менее чем на 15 см.
Устанавливать крепления необходимо в направлении сверху вниз по мере разработки выемки на глубину не более 0,5 м.
Разборку креплений следует производить в направлении снизу вверх по мере обратной засыпки выемки.
13.1.15 Разработка траншейными (роторным, цепным) экскаваторами в связных грунтах (суглинках, глинах) траншей с вертикальными стенками без крепления допускается на глубину не более 3 м. В местах, где требуется пребывание рабочих, должны устраиваться крепления траншей или откосов.
13.1.16 Минимальное расстояние между трубопроводом и стенкой траншеи - 150 мм, с целью обеспечения трамбовки грунта в пазухах траншей. Это необходимо во избежание овализации труб при засыпке.
На участках кривых вставок ширина траншеи должна быть не менее удвоенной ширины траншеи на прямолинейных участках.
На участках, где необходимо выполнение мягкой подсыпки, глубину траншеи необходимо увеличить на 10 см.
13.2 Присыпка и засыпка трубопровода
13.2.1 В случае необходимости защиты трубопровода от механических повреждений засыпка осуществляется после выполнения мер по его защите.
Защита уложенного в траншею трубопровода осуществляется присыпкой измельченным грунтом, а также футеровкой в соответствии с
13.3.
Присыпка производится с трамбовкой грунта в пазухах в целях исключения чрезмерной овализации поперечных сечений уложенного трубопровода, а также уменьшения осадки засыпанного грунта после его оттаивания.
При подсыпке и присыпке необходимо соблюдать гранулометрический состав грунта: размеры твердых частей (мерзлые комья, камни, сухие комья) не должны превышать 20 мм и их количество в общем объеме грунта не должно превышать 30%. Для достижения данных нормативных показателей необходимо грунт просеивать через соответствующее сито.
При отсутствии специальных указаний в проекте трубопровод следует засыпать сразу после его укладки несмерзшимся грунтом из отвала. При наличии в проекте норм по футеровке, присыпке, балластировке или закреплению трубопровода засыпка трубопровода производится после выполнения вышеуказанных работ.
При образовании смерзшегося грунта в отвале с глубиной промерзания до 0,5 м работы по засыпке целесообразно выполнять роторным траншеезасыпателем, который, двигаясь по отвалу, разрабатывает грунт и осуществляет присыпку трубопровода, подготавливая тем самым фронт работы бульдозеру, засыпающему оставшуюся часть траншеи.
Запрещается вести засыпку трубопровода при наличии в траншее снега или льда.
13.2.2 Засыпку трубопровода следует выполнять с образованием валика высотой не менее 30% от глубины траншеи для компенсации осадки грунта в период его оттаивания.
13.2.3 При засыпке трубопровода необходимо соблюдать заданный зазор между трубой и стенкой траншеи (обеспечивать отсутствие смещения трубопровода).
Трамбовка грунта присыпки в боковых пазухах траншеи производится послойно (толщина слоев от 150 до 200 мм) на высоту не менее 0,7·de. Степень уплотнения должна составлять не менее 70% от максимальной плотности присыпаемого грунта. В случае применения для присыпки трубопровода в пазухах песка уплотнение производится путем его водонасыщения. При этом следует контролировать уровень воды, чтобы не вызвать всплытие трубопровода. Степень необходимой трамбовки грунта в зависимости от диаметра трубопровода и характеристики грунта проверяется путем сравнения с предварительно подготовленным эталонным трубопроводом, замеряя его деформацию (эллипсность). Эллипсность засыпанных полностью труб не должна превышать 1,5%.
Дальнейшая трамбовка грунта в пазухах продолжается послойно толщиной 300 мм до высоты на 150 мм выше верхней образующей трубы. Во избежание горизонтальных смещений трубопровода и нарушения герметичности соединений трамбовка грунта должна производиться равномерно с обеих сторон трубопровода и в равной степени. Трамбовка грунта должна производиться вибрирующим способом.
13.2.4 Во время операции по присыпке трубопровода необходимо избегать падения крупных комьев и камней на трубу. Для этого нависающие камни и комья необходимо заблаговременно убирать из отвала грунта.
Засыпка траншеи при наличии мерзлого отвала или твердых и каменистых грунтов производится в два приема: сначала мягким или мелкогранулированным грунтом трубопровод присыпается, а затем производится окончательная засыпка. На присыпку укладывается предупреждающая лента желтого цвета или изолированный провод для обнаружения местонахождения засыпанного трубопровода.
При диаметре труб более DN 200 присыпка производится с трамбовкой грунта в пазухах траншеи.
С целью уменьшения динамического воздействия на трубопровод засыпку траншеи следует производить преимущественно многоковшовым траншеезасыпателем или одноковшовым экскаватором. При этом ковш экскаватора разгружается на минимальной высоте.
После засыпки трубопровода, проложенного на рекультивируемых землях, над трубопроводом устраивают валик, высота которого должна совпадать с ожидаемой величиной осадка грунта засыпки.
Затем укладывают и разравнивают ранее снятый плодородный слой.
Засыпку трубопровода, уложенного в мерзлых грунтах, осуществляют как в обычных условиях, при этом сначала делают присыпку талым мягким грунтом на высоту от 20 до 25 см над образующей трубы. Дальнейшую засыпку трубопровода выполняют грунтом с отвала.
При засыпке мерзлым грунтом над трубопроводом делают грунтовый валик из расчета его осадки после оттаивания.
13.2.5 Переезд гусеничной техники через засыпанный трубопровод допускается только в местах специально оборудованных переездов.
13.3 Футеровка трубопровода
13.3.1 В каменистых и мерзлых грунтах для защиты трубопровода от механических повреждений может применяться мягкая подсыпка и присыпка или футеровка. Футеровка должна применяться также при балластировке кольцевыми железобетонными и чугунными утяжелителями.
13.3.2 В качестве футеровки трубопровода могут применяться обертки, вспененные полимерные и другие материалы, выполненные из долговечных экологически чистых материалов по группе горючести не выше Г1, обеспечивающие защиту трубопровода от повреждений.
13.3.3 Защитные обертки должны быть изготовлены из полимерных материалов в виде рулонов и матов.
13.3.4 Защитные обертки, вспененные полимеры наносятся на трубопровод перед укладкой.
13.3.5 При выборе полимеров следует исходить из того, что срок службы футеровки должен равняться сроку службы трубопровода.
14.1 Непосредственно перед укладкой трубопровода проверяется качество выполнения земляных работ - геометрические размеры траншеи и состояние подготовки ее дна в соответствии с
13.1.
14.2 Работы по укладке допускается вести при температуре окружающего воздуха от минус 25 °C до плюс 45 °C. При укладке в условиях более низких отрицательных температур необходимо плеть подогреть путем пропуска через полость горячего воздуха до температуры стенки не ниже минус 10 °C.
14.3 При укладке трубопровода необходимо соблюдать минимальные радиусы изгиба, установленные производителем, во избежание нарушения его прочности и герметичности.
Не допускается чрезмерно деформировать плеть, особенно в местах соединений труб, во избежание нарушения их прочности и герметичности. Исходя из этого, условия выбора метода укладки трубопровода зависят от типа применяемых соединений и диаметра труб.
Могут использоваться три метода укладки:
- опускание в траншею одиночных труб (см.
рисунок 5 а) с последующим наращиванием их в нитку на дне траншеи;
- опускание в траншею секций, состоящих из двух - четырех труб (см.
рисунок 5 б), с последующим наращиванием их в нитку на дне траншеи;
- укладка длинномерных плетей с бермы траншеи (см.
рисунок 6);
- протаскивание плети трубопровода.
а - при укладке одиночных труб
1 - укладываемая труба (секция); 2 - трубоукладчики;
3 - траверса; 4 - монтажное полотенце; 5 - дно траншеи;
6 - приямок; 7 - лежка; 8 - межтрубные соединения
Рисунок 5 - Технологическая схема укладки одиночных труб
и секций при строительстве трубопроводов
из стеклопластиковых труб
1 - укладываемая плеть; 2 - трубоукладчики (I, II, III);
3 - инвентарные лежки; 4 - дно траншеи; 5 - межтрубные
соединения; 6 - монтажные полотенца
Рисунок 6 - Технологическая схема укладки длинномерных
плетей при строительстве трубопроводов
из стеклопластиковых труб
При прокладке методом протаскивания необходимо предусматривать защиту трубопровода и кожуха от механических повреждений.
14.4 Первый способ укладки применяется для труб всех диаметров и всех типов соединений.
14.5 Второй способ применяется для труб диаметром до 300 мм (включительно) с типом соединений, обеспечивающих прочность при осевых нагрузках (фланцевое, резьбовое). При этом трубную секцию следует подвешивать в нескольких точках с целью недопущения чрезмерного изгиба.
14.6 Третий способ укладки применяется для труб диаметром до 300 мм (включительно) с типом соединений, обеспечивающих прочность при осевых нагрузках (фланцевое, резьбовое). При этом следует подобрать параметры технологической схемы укладки, исходя из условий минимизации изгибных напряжений в стенках труб.
14.7 При опускании в траншею одиночных труб следует применять монтажную траверсу, оснащенную двумя мягкими монтажными полотенцами. Схема строповки трубы должна удовлетворять условию, при котором расстояние между точками подвеса трубы b определяется из соотношения (45)
0,57·L <= b <= 0,60·L, (45)
где L - номинальная длина трубы, м.
При укладке секций, состоящих из двух - четырех труб, необходимо использовать два трубоукладчика, снабженных траверсами. Каждая траверса должна иметь по два полотенца, расстояние между ними b устанавливается в пределах от 5 до 8 м; оно уточняется в зависимости от длины укладываемой плети L и диаметра труб (с увеличением этих параметров должно увеличиваться и расстояние b).
Длину консолей a следует назначать в пределах от 2 до 3 м. Остальные параметры схемы определяются по формулам (46) и (47):
I = L - 6 - 2a, (46)
c = L - 2(a + b). (47)
14.8 Высоты подъема плети должны иметь следующие значения: hI = 0,3 - 0,4 м; hII = 0,5 - 0,6 м; hIII = -(0,1 - 0,2) м.
При укладке плетей из труб диаметром менее 200 мм следует применять методы, предусматривающие использование средств малой механизации (грузовые тали, полиспасты и т.п.).
14.9 При выполнении укладочных работ следует избегать ударов труб о стрелы трубоукладчиков (кранов), стенки траншеи, инвентарные и монтажные опоры и другие твердые предметы.
Укладка должна производиться без резких перегибов. Не допускается сбрасывать плеть (трубу, секцию) на дно траншеи или перемещать ее волоком по дну траншеи.
14.10 Свободные концы труб, секции и плетей во время укладки закрывают инвентарными заглушками, которые снимают непосредственно перед соединением труб.
14.11 В местах, где трубная плеть подвергается под действием монтажных нагрузок упругому изгибу, допускается появление угловых деформаций в раструбных соединениях, которые не должны превышать 2° (на одно соединение). Изгиб плети возможен только после полного завершения процесса формирования всех соединений на укладываемом участке.
14.12 Укладку трубной плети при наличии на ней клеевых стыков разрешается производить не менее чем через сутки после окончания монтажа соединений на данном участке.
14.13 Трубопровод должен плотно прилегать ко дну подготовленной траншеи по всей длине, без провисов и зазоров. При выявлении зазоров необходимо выполнить подсыпку зависающих мест грунтом с его уплотнением.
При использовании раструбных или муфтовых соединений эластомерными кольцами прогиб плети в зоне стыка не должен превышать величин, указанных в проекте.
14.14 При одновременной укладке в общую траншею нескольких трубопроводов необходимо строго выдерживать заданное межосевое расстояние между нитками.
Укладка ведется начиная с дальней от монтажной полосы нитки трубопровода. По мере укладки плети на дно траншеи ее необходимо присыпать для фиксации грунтовыми призмами с расстоянием между ними в зависимости от диаметра трубопровода от 10 до 15 м, чтобы исключить ее поперечные перемещения при засыпке.
Указания по подсыпке, присыпке и к трамбовке грунта такие же, как и при однониточной прокладке трубопровода.
14.15 При применении соединений, не рассчитанных на восприятие осевых растягивающих нагрузок, необходимо установить упорные железобетонные блоки в местах поворотов и тройников. Контакт трубы с блоком должен осуществляться через амортизирующие прокладки толщиной от 10 до 20 мм.
14.16 Перед засыпкой уложенного трубопровода сверху должен быть уложен (по верхней образующей трубопровода) изолированный ферромагнитный сигнальный провод сечением от 2,5 до 4,0 мм2 для обнаружения неметаллического скрытого трубопровода с использованием электромагнитных средств. Вывод сигнального провода (контрольные пункты) предусмотрен на надземные стальные участки трубопровода или на столбы опознавательных указателей. После этого производят окончательную засыпку грунтом из отвала.
Примечания
1 Допускается применение иных способов, оборудования и средств для определения местонахождения (трассы и глубины заложения) неметаллического скрытого трубопровода, например применение электронных маркеров и др.
2 Срок службы сигнального провода должен быть не менее срока службы трубопровода.
14.17 Работы по монтажу надземного трубопровода должны выполняться после приемки опор, монтажа ригелей и опорных элементов, предусмотренных проектной документацией и выполненных в последовательности, подробно изложенной в технологических картах.
14.18 При сооружении надземных трубопроводов следует применять следующие способы монтажа и укладки:
- продольная надвижка заранее заготовленных плетей на опоры;
- подъем с поверхности строительной полосы на опоры отдельных труб или заранее заготовленных секций с последующим соединением их между собой;
- укладка длинномерной плети с поверхности строительной полосы на опоры.
14.19 Способ монтажа и укладки должен быть указан в проектной документации; замена одного метода другим без согласования с проектной организацией не допускается.
15 Строительство трубопровода на переходах
15.1 Подземные переходы под дорогами
15.1.1 Способы и сроки производства работ по сооружению переходов под автомобильными и железными дорогами должны быть согласованы с эксплуатирующими эти дороги организациями.
В зависимости от интенсивности движения, категорийности дорог, диаметра трубопровода, методов производства работ, грунтовых условий укладка трубопроводов может осуществляться следующими способами:
- открытым, при котором трубопровод укладывается в траншею, устроенную в насыпи с перекрытием сквозного движения транспорта;
- закрытым, без перекрытия движения транспорта; при этом для укладки защитного футляра (кожуха) через дороги применяются методы бестраншейной проходки.
Строительство переходов открытым и закрытым способом осуществляется в соответствии с
СП 249.1325800.
15.1.2 Диаметр защитного футляра (кожуха) должен быть как минимум на 200 мм больше диаметра трубопровода.
15.1.3 При строительстве переходов через автодороги открытым способом необходимо оградить место производства работ и установить соответствующие предупреждающие и указательные знаки, а в ночное время световую сигнализацию. При этом устраивается объездная временная дорога.
15.1.4 Ширина полосы вскрытия покрытия автодороги должна быть больше ширины траншеи по верху на величину от 0,3 до 0,4 м, а для булыжного покрытия - от 0,6 до 0,8 м.
При наличии неустойчивых грунтов необходимо по мере разработки траншеи ее стенки крепить досками или инвентарными щитами.
Перед укладкой защитного футляра (кожуха) дно траншеи необходимо тщательно утрамбовать на длину всего защитного футляра (кожуха).
15.1.5 Закрытый способ (бестраншейная проходка) может применяться без ограничений, т.е. независимо от категории дорог, интенсивности движения транспорта, категории грунтов и диаметра трубопровода.
15.1.6 При закрытом способе прокладки защитных футляров (кожухов) применяют три способа проходки: прокалывание, горизонтальное направленное бурение и микротоннелирование. При прокладке трубопровода в ММГ необходимо предусмотреть технологические приемы, предупреждающие замерзание бурового раствора.
15.1.7 Размеры рабочего котлована при закрытом способе прокладки выбираются в зависимости от диаметра трубопровода, глубины его заложения, вида применяемого оборудования и длины перехода через дорогу. Ширина котлована должна обеспечить безопасное размещение людей, обслуживающих проходческое оборудование, а также быструю их эвакуацию. При неустойчивых грунтах необходимо укрепить стенки котлована; при наличии воды - устроить водосборный приямок, откуда по мере накопления удаляют воду.
15.1.8 Сборку стальных защитных футляров (кожухов) необходимо производить с помощью центраторов. Торцы свариваемых труб должны быть перпендикулярны их осям; отклонение от оси кожуха не должно превышать 2°. Кольцевые стыки должны быть проварены на полную толщину стенки труб сплошным швом и проконтролированы физическим способом. При прокладке защитного футляра (кожуха) под дорогами необходимо контролировать глубину его заложения и его положение в горизонтальной и вертикальной плоскостях. Отклонение оси защитного футляра (кожуха) от проектного положения по вертикали и по горизонтали не должно превышать 1% от его длины. При горизонтальном направленном бурении допускаются отклонения точки выхода пилотной скважины на дневную поверхность от проектного положения <= 1% от длины перехода, но не более плюс 9,0 м, минус 3,0 м по оси скважины и 3 м по нормали к ней. Перед протаскиванием плети внутренняя полость защитного футляра (кожуха) должна быть тщательно очищена от мусора и грязи.
Для протаскивания трубной плети в защитном футляре (кожухе) она оснащается опорными кольцами, которые устанавливаются равномерно по длине плети. Ширина опорных колец должна выбираться из условия допустимых давлений на поверхность трубы.
Для обеспечения герметичности межтрубного пространства между защитным футляром (кожухом) и трубопроводом концы защитных футляров (кожухов) должны иметь уплотнения из диэлектрического материала в виде концевых уплотнительных манжет.
Концевые уплотнительные манжеты необходимо защищать от механических повреждений. В качестве защитной конструкции может быть применено защитное укрытие уплотнительной манжеты.
Оснащенная опорными кольцами (до протаскивания) рабочая плеть подвергается испытаниям на прочность в соответствии с
разделом 16.
Протаскивание трубной плети через защитный футляр (кожух) необходимо производить без резких перегибов, ударов и раскачиваний. При этом уширенный конец трубы (раструбных соединений) должен быть направлен против направления протаскивания.
После протаскивания рабочая плеть снова подвергается испытаниям давлением 1,5Pраб в течение 6 ч.
15.1.9 При пересечении железных дорог должны быть применены страховочные пакеты или другие технические решения, обеспечивающие безопасность движения подвижного состава, в соответствии с
СП 227.1326000.
15.2 Переходы через подземные и наземные коммуникации
15.2.1 Разработка траншеи на пересечениях через подземные коммуникации (трубопроводы, кабельные линии связи и электропередачи) допускается при наличии письменного разрешения организации, эксплуатирующей эти коммуникации, и в присутствии ответственных представителей строительной и эксплуатирующей организаций.
15.2.2 Эксплуатирующая организация обязана до начала работ обозначить на местности в зоне производства работ ось и границы коммуникаций. Перед началом разработки траншеи строительная организация проводит ручную шурфовку с целью уточнения глубины заложения и расположения в плане коммуникации.
15.2.3 Переходы через подземные и наземные коммуникации следует предусматривать, как правило, под углом 90°, но не менее 60°.
15.2.4 Разработка грунта механизированным способом разрешается не ближе 2 м от боковой стенки и не ближе 1 м над верхом подземной коммуникации. Оставшийся грунт дорабатывается вручную без применения ударов и с принятием мер, исключающих повреждения коммуникаций при вскрытии. Мерзлый грунт перед его разработкой должен быть отогрет.
15.2.5 Вскрытые сооружения необходимо защитить от повреждения при производстве работ путем устройства деревянного короба и его подвески к временной несущей конструкции, укладываемой поперек траншеи; кроме того, необходимо обеспечить тепловую изоляцию вокруг водоводов, водостоков или канализации с целью защиты их от промерзания (при отрицательных температурах воздуха).
Во всех случаях тепловая изоляция защищается от увлажнения оберткой гидроизоляционными материалами. Толщина тепловой изоляции принимается в пределах от 50 до 100 мм в зависимости от продолжительности вскрытия трубопроводов и температуры воздуха.
15.2.6 В случаях обнаружения действующих подземных сооружений, не обозначенных в проекте, работы приостанавливают, указанные места ограждают; одновременно необходимо определить и вызвать представителей эксплуатирующих эти сооружения организаций. Работы могут быть продолжены после получения официального (письменного) разрешения от этих организаций.
15.2.7 Укладка трубопровода на переходе через подземные коммуникации производится продольным перемещением в траншее под коммуникациями предварительно зафутерованной плети.
15.2.8 Обратная засыпка траншеи в месте пересечения трубопровода с подземной коммуникацией производится в следующем порядке:
- присыпка трубопровода песчаным грунтом по всему поперечному сечению траншеи на высоту до половины диаметра подземного сооружения (коммуникации) с послойным уплотнением; вдоль траншеи размер присыпки по верху должен быть больше на 0,5 м с каждой стороны коммуникации, а крутизна откосов присыпки должна быть 1:1 или более пологая;
- обратная засыпка остальной части траншеи; при этом трамбовка грунта над коммуникацией не производится, а валик отсыпается с учетом последующей осадки грунта не ниже поверхности земли.
15.3 Переходы через овраги, балки и малые водотоки
15.3.1 При строительстве переходов трубопроводов через овраги, балки и малые водотоки в рабочих чертежах отметки земли и дна траншеи должны быть указаны через каждые 2 м.
15.3.2 Монтаж плети по склону рекомендуется производить снизу вверх с подачей труб (секций) сверху вниз, чем облегчается процесс сборки стыков.
15.3.3 Засыпка уложенного трубопровода на склоне производится сверху вниз.
15.3.4 Монтаж технологических захлестов "на берегах" соединений производится после балластировки и засыпки трубопровода.
15.4 Установка запорной арматуры
15.4.1 Монтаж узлов металлических задвижек рекомендуется производить из укрупненных заготовок, заизолированных и предварительно испытанных в базовых условиях.
15.4.2 Перед монтажом задвижек их необходимо проверить на закрывание и открывание.
15.4.3 При производстве монтажных и погрузочно-разгрузочных работ задвижки следует строповать только за специально предусмотренные для этого заводские строповочные элементы или в обозначенных местах (в соответствии с их паспортной маркировкой).
15.4.4 Запорная арматура диаметром DN 400 и более должна устанавливаться на фундаменты. Необходимость фундаментов для запорной арматуры меньшего диаметра определяется в проектной документации. Комплекс работ по установке узлов задвижек выполняется в следующем порядке:
- разработка котлована;
- планировка дна, подсыпка под фундамент и ее трамбовка;
- укладка фундаментных плит и установка неподвижных опор;
- доставка монтажных заготовок к месту установки крановых узлов и задвижек;
- сборка узла из заготовок в котловане;
- контроль сварных стыков;
- изоляция стыков;
- гидравлические испытания узла;
- присоединение узла к нити трубопровода с помощью фланцевых соединений;
- контроль фланцевых соединений;
- засыпка узла с трамбовкой пазух;
- установка средств управления задвижкой;
- установка ограждения, обустройство площадки вокруг узла.
15.4.5 Крутизна откосов котлована назначается исходя из условий обеспечения безопасной работы людей в котловане. При отсутствии откосов устраивается крепление стенок котлована.
15.4.6 Во избежание повреждения подводящих труб и задвижек в процессе промерзания и пучения грунтов необходимо производить обсыпку подземных элементов узла сухим крупнозернистым песком толщиной 0,5 м, а затем выполнять засыпку минеральным грунтом из отвала.
16 Очистка полости и испытания трубопроводов
16.1 При производстве монтажных работ следует сохранять чистоту полости труб; все открытые торцы монтируемой или смонтированной трубной плети должны быть закрыты инвентарными заглушками во избежание попадания в полость трубопровода грунта, снега, мусора и других инородных предметов.
16.2 Очистку полости, испытания на прочность и проверку на герметичность следует производить по специально разрабатываемой инструкции под руководством председателя создаваемой для этих целей комиссии.
Инструкция должна разрабатываться генеральной строительно-монтажной организацией, согласовываться с заказчиком и/или органами строительного контроля, проектной и эксплуатирующей организациями и утверждаться председателем комиссии.
В инструкции должны быть отражены:
- способы, параметры и последовательность выполнения технологических операций;
- схема организации связи;
- способы и средства идентификации и ликвидации последствий отказов (элементов или составляющих оборудования) и аварийных ситуаций (утечка через малое отверстие, утечка через разрыв трубопровода или оборудования и др.);
- мероприятия по обеспечению пожарной и промышленной безопасности, в том числе значения минимально допустимых расстояний в соответствии с
[7].
16.3 Очистку полости трубопровода следует выполнять промывкой или продувкой воздухом, с пропуском или без пропуска эластичных поршней (полиуретановых, поролоновых). Применение поршней, имеющих в конструкции металлические детали, не допускается. Промывку или продувку без поршней допускается применять для трубопроводов диаметром не более DN 200 (включительно).
16.4 Очистка продувкой без поршней осуществляется скоростным потоком воздуха (скорость от 15 до 20 м/с). Протяженность продуваемого участка не должна превышать 3 км.
Давление воздуха в ресивере при соотношении объемов ресивера и продуваемого участка 1:1 для продувки с поршнем и 2:1 без пропуска поршня должно определяться в проектной документации, но не менее указанного в СП 284.1325800.2016
(таблица 29).
Диаметр перепускной (байпасной) линии и полнопроходного крана на ней должен составлять не менее 0,3 от диаметра труб продуваемого участка.
16.5 Продувка считается законченной, когда из продувочного патрубка выходит струя чистого воздуха.
16.6 При промывке по трубопроводу пропускают мягкие поршни, перемещающиеся в потоке воды, закачиваемой для гидравлических испытаний.
При этом производятся все необходимые замеры по контролю удаления воздуха из трубопровода в период заполнения. Сюда входят контроль давления, скорость заполнения трубопровода и использование не менее двух поршней. Воду заливают перед запуском первого поршня и перед запуском второго. Желательно воду в трубопровод заливать в его нижней точке. Периодически стравливают воздух из мест, где возможно его скопление.
Пропуск поршня в потоке воды обеспечивает не только удаление случайных загрязнений, но и воздуха.
Скорость перемещения очистных устройств при промывке должна быть не менее 1,0 км/ч и не более 6,5 км/ч.
Промывка считается законченной, когда очистное устройство после прохода по трубопроводу выходит из него неразрушенным, а водный поток устойчиво чистый.
16.7 Трубопроводы необходимо испытывать на прочность и герметичность гидравлическим, пневматическим или комбинированным способами. Для проведения испытаний на прочность и герметичность любым способом трубопровод следует разделить на отдельные участки, ограниченные заглушками или линейной арматурой.
16.8 В процессе испытаний гидравлическим способом нельзя допускать гидроударов, нельзя быстро закрывать задвижки; гидростатическое давление должно повышаться постепенно.
16.9 Для испытаний при температурах ниже 0 °C следует использовать незамерзающие водные растворы.
16.10 При гидравлических испытаниях после заполнения трубопровод оставляют на 6 - 48 ч для стабилизации температуры, только затем проводят опрессовку. Продолжительность периода стабилизации зависит от разницы температур заливаемой в трубопровод воды и температуры грунта вокруг трубопровода, от типа грунта.
После стабилизации температуры проводят испытания трубопровода на прочность в режиме давления 1,25Pраб и выдерживают это давление в течение 4 ч. Интенсивность набора давления не должна превышать 2 кгс/см2 в мин.
16.11 После успешного завершения испытаний на прочность проводятся испытания на герметичность под давлением 1,1Pраб. Давление испытаний выдерживают минимум в течение 24 ч, в это время нельзя доливать воду в трубопровод или выливать. В процессе испытаний постоянно проводятся замеры и регистрация давления.
В случае падения давления в период проведения испытаний на герметичность проводится циклическое испытание. В период такого испытания в секции трубопровода повторно создают давление испытаний на герметичность, через каждый час давление регистрируют, затем в трубопроводе снова создают давление, добавляя воду. Объем воды, вновь заливаемый для создания давления испытаний, также регистрируют. Эту процедуру повторяют в течение последующих 24 ч. Если объем доливаемой воды имеет тенденцию снижения, значит, трубопровод герметичен. Если объем доливаемой воды остается постоянным, это указывает на то, что в трубопроводе утечка.
16.12 Переходы трубопроводов через реки и дороги подвергают предварительным гидравлическим испытаниям давлением 1,5Pраб в течение 4 ч до укладки и после укладки и засыпки перехода.
16.13 Надземные трубопроводы подвергают гидравлическим испытаниям давлением 1,25Pраб в течение 4 ч. Испытания надземных трубопроводов производятся после их закрепления на опорах во избежание перемещений от реактивных сил в случае разрывов.
16.14 Подземные трубопроводы с допустимым рабочим давлением Pраб до 3,0 МПа включительно при температурах окружающей среды ниже минус 15 °C допускается испытывать воздухом. При этом величина давления воздуха должна соответствовать давлениям гидравлических испытаний, трубопровод должен быть засыпан, а надземные участки надежно закреплены. Подъем давления воздуха в трубопроводе следует осуществлять плавно, не более 2,0 кгс/см2 в мин.
16.15 До начала испытаний воздухом подземные трубопроводы после их заполнения воздухом следует выдерживать под испытательным давлением в течение 6 ч, необходимых для выравнивания температуры воздуха в трубопроводе с температурой грунта.
16.16 Герметизация концов трубных плетей при очистке полости и испытаниях производится установкой заглушек специальных конструкций, а компрессорные установки к трубопроводу подключаются через разъемные соединения.
16.17 Испытательное давление воздуха в трубопроводе при испытаниях на прочность принимается в соответствии с требованиями СП 284.1325800.2016
(таблица 30) или ГОСТ Р 55990-2014
(таблица 21) в соответствии с заданием на проектирование. Продолжительность выдержки при испытаниях на прочность должна составлять 4 ч. Испытание на герметичность проводится при рабочем давлении в течение не менее 12 ч.
16.18 Для определения герметичности соединений трубопровода проводятся их предварительные испытания воздухом. Испытания проводятся давлением 5 кг/см2 незасыпанной трубной плети. Для обнаружения утечек применяется мыльный раствор или одоризация закачиваемого воздуха. При этом необходимо поддерживать испытательное давление с учетом изменения температуры трубопровода.
16.19 Во время испытаний трубопровода на прочность все соединения без исключения должны быть обследованы с целью выявления разрушений или утечек. Протекающие трубы, соединительные детали и соединения должны быть заменены или отремонтированы. После каждого ремонта снова проводятся испытания всего участка трубопровода.
16.20 После окончания испытаний на прочность и герметичность производится сброс давления со скоростью, исключающей гидравлический удар. Все соединения труб должны быть присыпаны мягким (мелкогранулированным) грунтом с трамбовкой в пазухах траншеи и засыпаны полностью.
16.21 Трубопровод считается выдержавшим испытания на прочность и проверку на герметичность, если за время испытаний трубопровода на прочность труба не разрушилась, а при проверке на герметичность - фактическое падение давления воздуха в период испытания не превысит величины, определенной в соответствии с формулой (48)

(48)
где

- допускаемое падение давления, кПа;
T - продолжительность испытания, ч;
d - внутренний диаметр трубопровода, мм.
16.22 Если строящийся трубопровод разделен на несколько испытываемых участков, то монтажные стыки, их соединяющие (выполненные после испытания), должны быть оставлены не засыпанными для проверки их герметичности в период проведения пусконаладочных работ. Проверка ведется вакуумным прибором. Монтаж таких стыков производится в присутствии комиссии.
17 Приемка трубопровода в эксплуатацию
17.1 Приемка в эксплуатацию трубопровода, законченного строительством, производится по
СП 68.13330.
17.2 К началу работы приемочной комиссии строительная организация должна предоставить дополнительно к документам, предусмотренным
СП 68.13330, следующие документы:
- схему попикетного расположения соединения труб;
- копии удостоверений монтажника стеклопластиковых труб;
- акт о предварительных испытаниях соединения труб;
- акт аттестации технологии соединения труб;
- паспорта на разъемные соединения труб;
- акт проверки качества гарантийных соединений;
- акты освидетельствования скрытых работ;
- журнал авторского надзора.
Журнал сборки стыков труб должен содержать: номера стыков; заводские номера труб, отводов, муфт, фланцев. Все стыковые соединения должны быть привязаны к пикетажу трассы трубопровода. Отклонения привязки стыка допускаются не более +/- 0,5 м. В журнале также фиксируется температура воздуха при сборке стыка.
17.3 Приемка в эксплуатацию трубопровода производится после устранения замечаний и выполнения пусконаладочных работ.
Факт ввода в эксплуатацию принятого объекта регистрируется заказчиком (пользователем объекта) в местных органах исполнительной и надзорных органах федеральной власти (региональных управлениях).
17.4 Приемку объектов производит приемочная комиссия, организуемая заказчиком.
Приемочная документация оформляется в соответствии с требованиями
СП 68.13330.
18 Пусконаладочные работы
18.1 Пусконаладочные работы выполняют с целью обеспечения пропуска по трубопроводу первой партии транспортируемой среды, предусмотренной проектом. К пусконаладочным работам относится комплекс работ, выполняемых в период проведения индивидуальных испытаний и опробования отдельных узлов и оборудования (трубопроводов, крановых узлов, задвижек, узлов сбора продуктов скважин, электрооборудования и т.п.).
18.2 Индивидуальные испытания и приемка производятся для подготовки отдельных элементов трубопровода к приемке рабочей комиссией для комплексного опробования.
18.3 Комплексное опробование включает пусконаладочные работы, выполняемые после производства индивидуальных испытаний и их приемки рабочей комиссией, связанные с комплексным опробованием всего трубопровода до приемки объекта в эксплуатацию приемочной комиссией.
18.4 До начала индивидуальных испытаний производятся пусконаладочные работы по электротехническим устройствам, автоматизированным системам управления, контрольно-измерительным приборам и др., выполнение которых обеспечивает проведение индивидуальных испытаний узлов и оборудования.
18.5 Индивидуальные испытания проводятся согласно требованиям проекта, ППР на производство соответствующего вида монтажных работ и ТУ предприятий - изготовителей оборудования и конструкций.
18.6 Объем и порядок выполнения пусконаладочных работ, продолжительность периода комплексного опробования узлов и оборудования, количество необходимого эксплуатационного персонала, топливо-энергетических ресурсов, материалов, сырья определяются проектной организацией.
18.7 Строительные организации, участники строительства в период комплексного опробования трубопровода на эксплуатационных режимах обеспечивают дежурство своих бригад и инженерно-технических работников для оперативного обнаружения и устранения выявленных дефектов строительно-монтажных работ.
18.8 Комплексное опробование осуществляется эксплуатационным персоналом заказчика с участием инженерно-технических работников генерального подрядчика, проектных и субподрядных монтажных организаций, а при необходимости - персонала предприятий - изготовителей оборудования.
18.9 Акт комиссии по приемке в эксплуатацию трубопровода составляется после комплексного опробования трубопровода.
По истечении 72 ч безотказной работы после окончания комплексного опробования трубопровод считается сданным в эксплуатацию.
К пусконаладочным работам относятся:
- завершение испытаний уложенных переходов под дорогами, через овраги, через водоемы, установка на патронах запорных колец (заглушек);
- установка и проверка надежности работы кранов и задвижек, состояние крановых площадок;
- проверка на плотность и прочность отдельных участков уложенного трубопровода и ремонт разрушений;
- обследование состояния охранных зон и зон минимальных расстояний от опасных и других объектов и устранение недоделок (размещение отходов, засыпка ям, рекультивация и пр.);
- обследование состояния пересечений трассы с коммуникациями сторонних организаций;
- проверка завершения качества демонтажа коммуникаций, сооруженных для испытания трубопровода;
- проверка качества засыпки трубопровода и наличия сигнальных знаков;
- проверка течеискателем плотности разъемных соединений;
- проверка наличия установки реперных и предупредительных знаков;
- опробование системы дистанционного управления.
19 Эксплуатация трубопровода
19.1 Организация эксплуатации трубопровода
19.1.1 Эксплуатация промысловых трубопроводов из стеклопластиковых труб осуществляется в соответствии с правилами, установленными для эксплуатации трубопроводов из стальных труб, но при обязательном учете особенностей и специфических свойств стеклопластиковых труб, а также в соответствии с
[1].
19.1.2 Обязательным условием нормальной эксплуатации трубопроводов является наличие у обслуживающего персонала схемы трубопроводов с указанием диаметра труб, расположения запорной и регулирующей арматуры и разъемных соединений, наличие контрольно-измерительных приборов.
19.1.3 Эксплуатирующая организация после приемки трубопровода обязана хранить исполнительную документацию.
19.1.4 Эксплуатирующая организация должна иметь аварийный запас труб и соединительных деталей.
Аварийный запас включает:
- трубы в количестве 2% от протяженности трубопроводов, но не менее 5 труб;
- отводы, тройники, концевые элементы - не менее 2% их количества, установленного в трубопроводах.
Аварийный запас постоянно обновляется из новых поступлений, а хранившиеся трубы и детали передаются на монтаж трубопровода.
19.1.5 Трубопровод должен эксплуатироваться специально подготовленным персоналом. Персонал должен иметь квалификацию, соответствующую утвержденным должностным инструкциям и инструкциям по профессиям.
19.1.6 Для эксплуатационного персонала устанавливаются следующие формы производственного обучения и повышения квалификации:
- курсовое обучение;
- инструктаж по охране труда в соответствии с
2.1 [6];
- противоаварийные и противопожарные тренировки.
19.1.7 После окончания обучения эксплуатационный персонал обязан пройти проверку знаний на право допуска к работе.
19.1.8 Для ликвидации аварий и ремонта трубопровода в составе аварийно-восстановительной бригады должно быть организовано специализированное звено, имеющее соответствующее техническое оснащение, с персоналом, прошедшим обучение и имеющим соответствующую квалификацию.
19.2 Поддержание технологических режимов эксплуатации трубопровода
19.2.1 Поддержание основных параметров работы и надежность при эксплуатации трубопроводов обеспечиваются оснащением их системами контроля, регулирования и аварийной защиты.
19.2.2 Основным технологическим показателем эксплуатации трубопроводов является рабочее давление.
Рабочее давление уточняется в различных точках систем после вывода системы на установившийся режим и фиксируется автоматизированными системами контроля.
Рабочее давление в различных точках систем при нормальной эксплуатации не должно выходить за пределы изменений, установленные в регламенте работы системы.
19.2.3 Если рабочее давление выходит за пределы изменений, указанные в регламенте работы системы, то это свидетельствует о неполадках в работе системы.
19.2.4 При изменениях давления в трубопроводе обслуживающий персонал обязан немедленно доложить диспетчеру, выяснить причину этих изменений и устранить ее при необходимости.
19.2.5 Для измерения давления должны применяться поверенные или откалиброванные и опломбированные имеющие паспорт датчики давления и/или манометры класса точности не ниже:
- 2,5 - при рабочем давлении до 2,5 МПа (включительно);
- 1,5 - при рабочем давлении более 2,5 до 14 МПа (включительно);
- 1,0 - при рабочем давлении более 14 МПа.
Шкала манометра выбирается исходя из условия, что при рабочем давлении стрелка манометра должна находиться в средней трети шкалы.
19.2.6 При всех способах испытаний на прочность и герметичность должны применяться датчики давления и/или манометры класса точности не ниже 1,0 и с предельной шкалой на давление около 4/3 от испытательного.
Наблюдение за давлением следует осуществлять с помощью оптических приборов по манометрам или по вторичным приборам, подключенным к датчикам давления на трубопроводе, находясь за пределами опасной зоны.
19.2.7 Циклический режим эксплуатации трубопровода допускается при соответствующем обосновании.
20 Контроль технического состояния трубопроводов
20.1 Техническое обслуживание трубопроводов
20.1.1 Оценка (диагностирование) технического состояния систем трубопроводов, осуществляемая с целью определения их остаточного ресурса для возможного продления срока службы согласно
[8], должна осуществляться согласно требованиям действующей нормативной технической документации.
20.1.2 До начала технического обслуживания следует ознакомиться с эксплуатационной документацией, сменными и ремонтными журналами, результатами ранее выполненных обследований. По результатам анализа эксплуатационно-технической документации следует определить элементы или участки трубопровода, работающие в наиболее напряженных сложных условиях и на которые необходимо обратить особое внимание при обследовании.
20.1.3 Трубопроводы после ввода их в эксплуатацию должны подвергаться периодическому контролю на герметичность не реже одного раза в два года.
20.1.4 При эксплуатации трубопроводов одной из основных обязанностей обслуживающего персонала является наблюдение за состоянием трассы трубопроводов, элементов трубопроводов и их деталей, находящихся на поверхности земли.
Периодичность осмотра трубопровода путем обхода (объезда или облета) устанавливается в зависимости от местных условий, сложности рельефа трассы, времени года и срока эксплуатации в соответствии с графиком, утвержденным главным инженером или иным уполномоченным лицом.
Внеочередные осмотры проводятся после стихийных бедствий, в случае визуального обнаружения утечки нефти, газа, ингибитора, деэмульгатора или воды, обнаружения по показаниям манометров падения давления в трубопроводе, отсутствия баланса транспортируемого продукта.
20.1.5 При осмотре трассы должно быть обеспечено:
- выявление возможных утечек транспортируемого продукта по выходу на поверхность;
- выявление и недопущение производства посторонних работ и нахождения посторонней техники в охранной зоне трубопровода;
- выявление оголений, размывов, оползней, оврагов и т.п.;
- состояние подводных переходов через реки, ручьи, овраги;
- состояние воздушных переходов через различные препятствия;
- состояние пересечений с железными и автомобильными дорогами;
- появление незаконных переездов;
- состояние вдольтрассовых сооружений (линейных колодцев, вдольтрассовых дорог, указательных знаков).
20.1.6 Трубопроводы должны подвергаться контрольному осмотру не реже одного раза в год. Время осмотра следует приурочить к проведению профилактических работ.
При контрольном осмотре особое внимание должно быть уделено:
- состоянию участков выхода трубопроводов из земли;
- состоянию соединительных элементов;
- состоянию зон возможного скопления пластовой воды, конденсата, твердых осадков;
- состоянию фланцевых соединений;
- состоянию уплотнений арматуры;
- вибрации трубопроводов;
- состоянию отводов, тройников, переходов и других фасонных деталей.
20.1.7 Контрольные осмотры подземных трубопроводов проводят путем шурфования из расчета один шурф на 1 км трубопровода, но не менее одного шурфа на один трубопровод, а также в потенциально опасных местах - переход через лога, ручьи и т.п. Длина шурфа должна быть не менее 1 м для возможности осмотра труб и соединений. При шурфовании необходимо принимать все меры предосторожности, исключающие механические повреждения труб.
При шурфовом осмотре должно быть обращено особое внимание:
- на состояние наружной поверхности труб, их соединений, отводов, тройников и других фасонных деталей;
- состояние пересечения трубопровода с другими подземными коммуникациями;
- состояние выходов подземных участков трубопровода на поверхность.
Засыпку шурфа выполняют вручную песком или мелким грунтом без комьев и твердых включений на высоту не менее 20 см от верха трубы с тщательной подбивкой пазух. Последующая засыпка производится обычным порядком.
20.1.8 Контрольные осмотры трубопроводов, подверженных вибрации, должны проводиться в зависимости от конкретных условий и состояния трубопроводов и устанавливаться техническим руководством предприятия, но не реже одного раза в 6 месяцев. Выявленные дефекты подлежат немедленному устранению.
20.1.9 Если при проведенных осмотрах трубопровода обнаружены утечки в разъемных соединениях, давление в трубопроводе должно быть снижено до атмосферного, а дефекты устранены с соблюдением необходимых мер по охране труда.
20.1.10 При обходе трассы трубопровода должно производиться наблюдение за состоянием опознавательных знаков, за дорожно-восстановительными, сельскохозяйственными и другими земляными работами, проводимыми вблизи трассы, в целях обеспечения сохранности трубопровода.
20.1.11 При осмотре трубопроводов и их деталей (фланцевых соединений, включая крепеж арматуры, компенсаторов, опорных конструкций) следует обращать внимание:
- на показания приборов, по которым осуществляется контроль за давлением в трубопроводе;
- герметичность незаглубленных участков трубопроводов, мест выхода из земли трубопроводных узлов, фланцевых соединений, воздушных переходов через реки, ручьи, овраги;
- утечки транспортируемой продукции из кожухов пересечений с железными и автомобильными дорогами;
- состояние механических соединений, а также клеевых узлов и деталей;
- вертикальность отводов и стояков на узлах запорной арматуры. Результаты осмотров должны фиксироваться в специальном журнале.
20.1.12 На участках трубопровода с грунтами с низкой несущей способностью должен выполняться геодезический (инструментальный) контроль за состоянием положения трубопровода:
- контроль производится с помощью геодезических приборов и планок из эластомера толщиной от 4 до 6 мм, устанавливаемых при монтаже на трубопровод с помощью хомута;
- показания снимаются не реже одного раза в квартал и фиксируются в журнале наблюдений за усадкой узлов задвижек и участков трубопровода.
20.2 Очистка полости трубопроводов в процессе эксплуатации
20.2.1 Трубопроводы из стеклопластиковых труб в отличие от стальных труб не подвержены коррозии и зарастанию внутренней поверхности труб отложениями. Однако может происходить выпадение механических примесей и скапливание их в низких местах трассы трубопровода при снижении скорости потока. В этом случае трубопровод засоряется и требует очистки.
Организация и проведение очистки трубопровода должны включать в себя следующие основные технологические операции:
- оценку состояния внутренней полости трубопровода и определение необходимости очистки;
- определение вида отложений и состава загрязнений в местах скоплений в промысловых трубопроводах для выбора технического средства и технологии очистки;
- обоснование периодичности очисток промыслового трубопровода или его участка, а также метода очистки (химической, термической и комбинированной);
- производство работ по очистке трубопровода;
- оценку и регистрацию результатов очистки.
20.2.2 Оценка состояния внутренней полости трубопровода, определение вида отложений в трубопроводе, обоснование периодичности регулярных очисток трубопровода проводятся на основании данных контрольной очистки, которая проводится перед введением в практику эксплуатации трубопровода регулярной очистки.
Методы и сроки очистки определяют по фактическому состоянию участков трубопровода.
20.2.3 Если целью очистки полости трубопровода является восстановление его гидравлических характеристик, то процесс очистки выполняют при

(49)
где

- фактический перепад давления на данном участке трубопровода в анализируемый период времени, МПа;

- теоретический перепад давления при заданном режиме работы на данном участке трубопровода, МПа.
20.2.4 Очистка трубопровода производится до тех пор, пока рабочее давление не войдет в пределы изменений, указанных в регламенте работы системы сбора.
Скорость перемещения очистных устройств должна быть не менее 1,0 км/ч и не более 6,5 км/ч.
При выборе оптимальных скоростей перемещения очистных устройств необходимо оценить риски возникновения гидравлического удара при прохождении участков изменения направления трассы трубопровода. Прочностной расчет следует выполнять с использованием соответствующего лицензионного программного обеспечения.
20.2.5 Очистка полости трубопроводов при их эксплуатации выполняется специально подготовленным персоналом по инструкциям, разработанным организацией, эксплуатирующей трубопровод. Инструкции должны предусматривать: организацию работ; технологию; методы и средства контроля очистки полости трубопровода; требования промышленной и пожарной безопасности.
20.2.6 Выбор метода очистки проводится в зависимости от вида отложений и загрязнений, их интенсивности.
Очистку трубопровода следует проводить растворителями, не оказывающими влияния на внутренний слой, пропуском очистных устройств (полиуретановых, поролоновых поршней), а также горячей водой, горячей нефтью с температурой от плюс 60 °C, но не выше допустимой температуры транспортируемого продукта. Применение поршней, имеющих в конструкции металлические детали, не допускается.
20.3 Периодические испытания
20.3.1 Надежность работы трубопроводов следует проверять путем периодических гидравлических испытаний на прочность и плотность.
20.3.2 Периодические испытания трубопроводов приурочивают к времени проведения ревизии трубопровода. Периодичность проведения испытаний должна быть равна удвоенной периодичности проведения ревизии для данного трубопровода, но не реже одного раза в 5 лет.
20.3.3 Параметры испытаний (протяженность участка, испытательное давление, время выдержки под испытательным давлением и цикличность изменений давления при испытаниях) должна устанавливать эксплуатирующая организация (при необходимости совместно со специализированной организацией) с учетом технического состояния трубопровода, условий прокладки, профиля трассы, физико-химических свойств материала труб и других данных, характеризующих условия работы трубопровода.
Все трубопроводы, как правило, следует испытывать на прочность давлением, равным 1,25 от рабочего давления.
Внутрипромысловые напорные нефтепроводы, нефтепроводы товарной нефти, водоводы низкого давления испытывают не менее 24 ч.
20.3.4 После испытаний на прочность проводятся испытания на плотность давлением, равным рабочему давлению, в течение времени, которое необходимо для тщательного осмотра трубопровода, но не менее 24 ч.
20.3.5 Периодические испытания проводятся под руководством лица, ответственного за их безопасную эксплуатацию, и оформляются актом.
Лицо, ответственное за безопасную эксплуатацию трубопровода, на основании соответствующего акта делает запись о результатах испытаний и назначает срок следующего испытания в паспорте трубопровода.
21.1 Ремонт трубопроводов следует осуществлять согласно положениям настоящего раздела, инструкций завода-изготовителя и специальных правил, разрабатываемых эксплуатирующей организацией, учитывающих специфические местные природные условия и режимы эксплуатации.
21.2 Все работники, привлеченные к ремонту данного участка трубопровода, должны быть ознакомлены со спецификой выполняемых работ, требованиями охраны труда и особенностями труб и изделий из стеклопластика, пройти инструктаже регистрацией в соответствующем журнале. Работы по текущему ремонту могут осуществляться эксплуатирующими организациями.
21.3 К ремонтным работам на трубопроводе из стеклопластиковых труб допускаются лица, прошедшие обучение и проверку знаний, получившие удостоверение и допуск к монтажу трубопроводов из стеклопластиковых труб и деталей.
21.4 Ремонтно-восстановительное подразделение должно быть оснащено соответствующим оборудованием, материалами, инструментом и инвентарем согласно технологическому процессу ремонта трубопроводов, в том числе средствами освещения и ограждения.
21.5 Объем ремонтных работ определяется по результатам периодических осмотров и регистрации в соответствующем журнале, анализу эксплуатационной надежности, в соответствии с местными условиями и требованиями безопасности.
21.6 Сведения о проведенных ремонтных работах должны быть внесены в исполнительную техническую документацию и паспорт трубопровода в двухнедельный срок.
21.7 Различают три вида ремонта:
- текущий;
- капитальный;
- аварийный.
21.8 Текущий ремонт осуществляется в процессе эксплуатации трубопровода и включает в себя:
- восстановление наземных опознавательных знаков;
- восстановление сигнальных проводов и их наземных выводов;
- вырубку кустарника, устройство и очистку водоотводных каналов;
- восстановление над трубопроводом мелких повреждений земляного валика.
21.9 Капитальный ремонт производится при достижении предельных величин износа:
- путем замены металлических соединительных деталей (кранов, отводов), вышедших из строя вследствие коррозии;
- путем восстановления на проектных отметках трубопровода на переходах (в оврагах, через ручьи и т.п.), сместившегося вследствие размыва, оползания грунта и других воздействий со временем;
- путем возврата на проектные отметки и закрепления сместившихся со временем участков трубопровода;
- путем замены дефектных участков трубопровода вследствие их износа или истечения назначенного срока службы;
- при ремонте защитных кожухов на пересечениях с дорогами (шоссейными, железными).
21.10 Аварийный ремонт необходимо выполнять:
- при разрушении трубопровода (разрыв);
- сквозном механическом повреждении (пробой);
- перегибах трубопровода (арка или излом);
- поперечной деформации (эллипсность).
21.11 Основным методом контроля за надежной и безопасной работой трубопровода является периодическая ревизия согласно технологическому регламенту, утвержденному руководством организации, эксплуатирующей трубопровод.
Примечание - Технологический регламент по проведению периодической ревизии должен быть составлен до начала ввода трубопровода в эксплуатацию (на этапе проектирования или строительства) трубопроводов с привлечением заводов - изготовителей труб и деталей трубопроводов и проектной организации.
21.12 Систематический обход трассы, визуальный осмотр, проверка течеискателями позволяют в значительной степени предупредить развитие возникших по тем или иным причинам дефектов, а также своевременно восстанавливать утраченные (поврежденные) опознавательные знаки на трассе и поддерживать в рабочем состоянии сигнальную систему, а также своевременно фиксировать и исправлять мелкие повреждения, например потерю герметичности фланцевыми соединениями, восстановление над трубопроводом грунта засыпки.
21.13 Решение о капитальном ремонте трубопровода должно приниматься на основании анализа состояния трубопровода после его длительной эксплуатации путем вскрытия (шурфования) в наиболее ответственных и сложных участках (оврагах, пересечениях ручьев, дорог).
21.14 Основанием для аварийного ремонта служат обнаруженные проявления выхода транспортируемого продукта на поверхность (через сквозные повреждения), многочисленные смятия трубопровода, повреждения стеклопластикового поверхностного слоя на глубины до 40 - 50% толщины стенки труб.
21.15 Во всех случаях обнаружения утечки должны производиться местное вскрытие трубопровода и его тщательный осмотр с целью точной фиксации места утечки и определения мер ремонта в зависимости от вида дефекта и его размеров.
21.16 Особое внимание необходимо предъявлять к ремонту на параллельных нитках и пересечениях трубопроводов.
При проведении вскрышных работ ось параллельного трубопровода отмечают вешками, а при подходе к пересечению трубопроводов механизированная выемка грунта прекращается на расстоянии более 2 м до оси пересекаемого трубопровода.
Ремонтные работы следует выполнять в присутствии представителя владельца параллельного или пересекаемого трубопровода. Принятые проектные решения по ремонту трубопровода должны быть разработаны в соответствии с техническими условиями на производство работ в охранной зоне параллельного или пересекаемого трубопровода и согласованы с его владельцем.
Положение параллельного и пересекаемого трубопровода определяется трассоискателями.
21.17 Для ликвидации ледяной пробки трубопроводы отогреваются путем пропуска в трубопровод горячей воды или теплого воздуха, а также обдувом замерзшего участка теплым воздухом или обливкой горячей водой. При этом следует постоянно контролировать температуру нагрева трубопровода. Предельная температура нагрева определяется производителем труб. Пользоваться при отогреве участков трубопроводов из стеклопластиковых труб открытым огнем категорически запрещается.
21.18 Ремонт трубопровода с нарушенной герметичностью в зависимости от размера повреждения следует производить одним из способов:
- наложением хомута;
- врезкой "катушки";
- заменой трубы.
21.19 Ремонт наложением хомута применяется в случаях, когда площадь повреждения поверхности тела трубы не превышает 100 мм2.
Примечание - Материалы, конструкция и способ наложения хомута должны препятствовать образованию трещин на трубе.
Ремонт производится в следующей последовательности:
- установить металлический полухомут с прикрепленной к нему расширяющейся вставкой (пробкой); вставка должна быть изготовлена по размеру отверстия;
- установить второй полухомут и хомуты стянуть с помощью болтовых соединений.
Хомут устанавливается во избежание выброса из отверстия вставки.
Описанный вид ремонта следует рассматривать как временный.
21.20 Ремонт с заменой трубы применяется при повреждениях большой площади: по длине более 300 мм и по окружности более 200 мм. При таких повреждениях трубу полностью заменяют новой трубой. Ремонт производится в следующей последовательности:
- вырезать "катушку" длиной 3 м в центральной части поврежденной трубы;
- демонтировать оставшиеся части поврежденной трубы (раструбную и ниппельную);
- вмонтировать ремонтную трубу.
Такая технология может применяться, если есть возможность раздвинуть прилегающие участки трубопровода в осевом направлении для вставки ремонтной трубы.
21.21 При больших повреждениях, когда нет возможности раздвинуть плети для замены трубы, замена поврежденного участка трубопровода выполняется ремонтным комплектом заводского изготовления стандартной длины, состоящего из двух полутрубок с телескопическим устройством или фланцевым соединением между частями ремонтной конструкции.
21.22 Засыпка трубопровода после выполнения временного ремонта не допускается до замены поврежденного участка.
Вскрытый участок трубопровода должен быть огражден, а вблизи места работ должны быть установлены предупредительные знаки.
21.23 Окончательная засыпка должна производиться после положительных результатов испытаний отремонтированного трубопровода.
22 Охрана окружающей среды
22.1 При проектировании, строительстве и эксплуатации трубопроводов из стеклопластиковых труб следует соблюдать
[9], а также нормативные документы в области охраны окружающей среды, в том числе
ГОСТ 17.4.3.02,
ГОСТ 17.5.1.01,
ГОСТ 17.1.3.05, ГОСТ 17.1.3.10,
ГОСТ 17.5.3.04, которые устанавливают нормативные положения в области охраны окружающей среды.
22.2 Каждый проект трубопровода должен содержать раздел по природоохранным мероприятиям, формулирующий нормативные положения согласно действующим законодательным документам об охране земли, вод, леса, атмосферного воздуха, животного мира, памятников истории и культуры.
При этом необходимо оптимизировать варианты защиты окружающей среды с учетом сохранения технической надежности трубопровода из стеклопластиковых труб, отличающихся специфическими свойствами по сравнению со стальными трубопроводами.
22.3 Прокладку трубопровода следует производить по возможности на малоценных или непригодных для сельскохозяйственного использования землях, а охранные мероприятия, предусматриваемые в проектных решениях, должны обеспечивать возможность сохранения существующего до начала строительства трубопровода уровня доходности нарушаемых угодий (сельскохозяйственных, охотничьих, рыбоводческих и др.).
22.4 Все работы по строительству трубопровода необходимо вести строго в полосе отвода. Природоохранные мероприятия должны включать: техническую рекультивацию по всей полосе уложенного трубопровода, специальную рекультивацию на участках с опасными природными процессами, биологическую рекультивацию сельхозугодий согласно
ГОСТ 17.4.3.02,
ГОСТ 17.5.3.06, охрану поверхностных и подземных вод и водоисточников от загрязнения, экологическую маркировку, экологический мониторинг.
22.5 При производстве работ в весенне-летний период необходимо проводить мероприятия в соответствии с действующей нормативной документацией. Не допускаются при работе на сухих торфяниках применение открытого огня, разведение костров и сжигание порубочных остатков, использование открытого огня допускается только в специально оборудованных местах в соответствии с требованиями пожарной безопасности.
22.6 При строительстве трубопровода необходимо учитывать пути миграции диких животных, максимально сохранять районы зимних и летних пастбищ.
22.7 Для восстановления нормального режима водотоков следует выполнить расчистку русел реки от наносов, вызванных строительными работами.
Для поддержания нормального гидрогеологического режима территории и естественного стока поверхностных вод, а также для исключения подпора воды вдоль трассы трубопровода при необходимости в местах пересечения насыпных дорог через естественные препятствия устраивают водопропускные сооружения.
22.8 При строительстве дорог с грунтовым основанием отсыпка полотна дороги осуществляется пионерным способом "от себя", не допуская езды транспорта за пределами отсыпанного полотна. Грунт для полотна дороги следует отсыпать непосредственно на мохорастительный покров.
При пересечении трассой или подъездными дорогами водотоков необходимо возведение водопропускных устройств под технологическим проездом, исключение деформации русла, подрезки склонов, загрязнение поверхностных вод строительными отходами и ГСМ.
После окончания строительства русла водотоков восстанавливаются.
22.9 При расчистке трассы и площадок от леса не допускаются не предусмотренные проектной документацией сведение древесно-кустарниковой растительности, образование завалов, засыпка грунтом корневых шеек и стволов растущих деревьев и кустарника.
Лес и другие виды растительности, которые вырубаются на полосе отвода, должны складироваться в пределах расчищаемой территории или в специально отведенных по согласованию местах, исключающих их попадание в водотоки, что может вызвать блокирование водных потоков, подтопление территории, разрушение русел рек и эрозию их берегов.
22.10 Использование растительного грунта для устройства подсыпок, перемычек и других временных земляных сооружений для строительных целей не допускается.
22.11 При строительстве трубопровода запрещены работы, ведущие к образованию новых водоемов или осушению существующих, изменению условий естественного дренажа территории строительства, гидравлики потоков или разрушению значительных участков русел рек.
При устройстве отвалов грунта должна быть исключена возможность подпора талых и поверхностных вод на участках, расположенных за пределами полосы отвода. В случае невозможности обеспечения данных условий следует устраивать разрывы в отвалах грунта для пропуска вод.
22.12 Не используемая по назначению древесина, полученная при вырубке на полосе отвода, подлежит утилизации или захоронению; сжигание в районах, где широко распространены мох, торфяники и мохо-торфяные болота, запрещается.
22.13 В зимний период растительный слой почвы на площади, занимаемой траншеями и котлованами, до начала основных земляных работ необходимо снять и уложить в отвал для восстановления (рекультивации) земель. В летний период растительный слой необходимо снимать по всей ширине строительной полосы.
Снятие, хранение и обратное нанесение растительного слоя почвы должны выполняться методами, исключающими снижение его качества, а также потерю при перемещениях.
22.14 Строительная организация, осуществляющая прокладку трубопровода, несет полную ответственность за соблюдение проектных решений по охране окружающей среды, а в процессе эксплуатации трубопровода эта ответственность возлагается на эксплуатирующую его организацию.
22.15 При организации строительно-монтажных работ на участках сельскохозяйственных земель целесообразно предусматривать прокладку трубопровода (рытье траншей, укладку, засыпку) либо до посева, либо после уборки урожая.
22.16 Категорически запрещаются производство строительно-монтажных работ, движение строительных машин и автомобилей, складирование и хранение труб, химикатов, техники в местах, не предусмотренных проектом.
22.17 В первую очередь должны быть тщательно рекультивированы участки земли, предоставленные строительно-монтажным организациям во временное пользование (под склады, гаражи).
22.18 Обязательной рекультивации должны быть подвергнуты: строительная полоса отвода вдоль трубопровода по всей его ширине; карьеры, где брался грунт для подсыпки и присыпки трубопровода; переходы через препятствия (овраги, ручьи).
22.19 После засыпки уложенного трубопровода следует выполнять техническую рекультивацию, включающую следующие виды работ:
- формирование над траншеей с уложенным трубопроводом плавного валика из растительной почвы;
- уборка строительного мусора, остатков труб, строительных и горюче-смазочных материалов;
- проведение противоэрозионных мероприятий.
22.20 При разработке и засыпке траншеи следует избегать перемешивания в отвале гумусного слоя с нижележащими слоями грунта с учетом необходимости при обратной засыпке траншеи возврата гумусного слоя на прежний уровень (на поверхность рекультивируемой площади).
22.21 Трассовые строительно-монтажные работы в многолетнемерзлых грунтах выполняются в зимний строительный сезон при промерзании деятельного слоя на глубину не менее 0,6 м, обеспечивающую устойчивую работу строительной техники и неповреждаемость поверхности почвы.
Движение транспортной и строительной техники круглогодично допускается только по постоянным дорогам, а в зимний период - по специально подготовленным зимним дорогам и технологическим проездам.
На строительной полосе с целью предохранения растительного покрова от разрушения перемещающимися строительными машинами и автотранспортом необходимо поддерживать в исправном состоянии снеголедяное покрытие (технологические проезды) в течение всего срока эксплуатации.
22.22 Для предотвращения эрозионных процессов при прокладке трубопровода следует обеспечивать сохранение естественной сети местного стока воды, а в случае его нарушения производить восстановление стока.
Мероприятия по предотвращению эрозии почв, оврагообразования, а также защитные противооползневые мероприятия должны выполняться в строгом соответствии с проектом.
22.23 Не допускается сливать в реки, каналы, озера и другие водоемы воду, вытесненную из трубопровода, без ее предварительной очистки. При гидравлических испытаниях использованную воду следует сливать в специальные пруды-отстойники, устраиваемые в пониженных местах рельефа; твердые остатки подлежат захоронению. Слив вытесненной из трубопровода воды должен производиться вне санитарной зоны действующих и проектируемых водозаборов, а также не в рыбохозяйственные водоемы.
Производственные и бытовые стоки, образующиеся на строительной площадке и ремонтных базах, в жилом городке должны очищаться и обезвреживаться.
22.24 Запрещено для производства строительных работ брать песок, гальку со дна и берегов ручьев, рек и озер без разрешения органов охраны окружающей среды и рыбнадзора. Эти материалы, как и мягкий грунт для подсыпки и присыпки трубопровода, должны добываться в специальных карьерах, места расположения которых указаны в проекте.
22.25 В целях восстановления плодородности почвы необходимо после окончания строительных работ в соответствии с проектом выполнить биологическую рекультивацию.
22.26 После окончания строительных работ необходимо восстановить водосборные канавы, дренажные системы и дороги, очистить от строительного мусора и спланировать площадки и полосу строительства, придать местности проектный рельеф или восстановить природный.
22.27 Все отходы, образовавшиеся при монтаже стеклопластиковых труб (клеи, их компоненты, бракованные уплотнительные кольца, стопорные штыри, обрезки стеклопластиковых полотен, обрывки полиэтиленовых оберток и т.п.), необходимо тщательно собрать по всей трассе и вывезти. Организовать места временного накопления отходов на всем участке производства работ.
22.28 Природовосстановительные работы считают завершенными только после выполнения рекультивации всех земель в районе строительства, очистки участков, загрязненных горюче-смазочными материалами, строительными и бытовыми отходами, и качественного выполнения проектных решений по экологии в соответствии с
СП 284.1325800.
23.1 При выводе трубопровода из эксплуатации эксплуатирующая организация должна определить объем выполняемых работ: временное или постоянное прекращение эксплуатации, консервация или ликвидация существующего трубопровода.
23.2 Вывод из эксплуатации стеклопластиковых труб должен производиться в случаях:
- после обследования трубопровода по заключению соответствующей организации о невозможности ремонта трубы, находящейся в аварийном состоянии;
- реконструкции трубопровода, в результате которой отпала необходимость в использовании трубы или потребовалось строительство новой;
- остановки обслуживаемого технологического оборудования трубопровода, требующей выполнения работ по консервации трубы.
23.3 Консервация и ликвидация труб осуществляются в соответствии с проектной (рабочей) документацией и ППР.
23.4 Проектная документация на консервацию и ликвидацию стеклопластиковых труб должна включать перечень организационных и технических мероприятий по консервации и ликвидации, методы их выполнения, состав и объемы работ, методы обеспечения пожарной безопасности, охраны труда и экологической безопасности, а также по документальному оформлению проводимых работ, включая порядок контроля, отчетность и сроки выполнения работ.
23.5 Работы по консервации и ликвидации стеклопластиковых труб осуществляют после получения положительного заключения экспертизы промышленной безопасности на проектную документацию в порядке, установленном законодательством Российской Федерации.
23.6 При необходимости сохранения работоспособности оборудования, выводимого из эксплуатации трубопровода, должно быть организовано его техническое обслуживание.
Продолжительность периода, на который трубопровод выводят из эксплуатации, условия нахождения в резерве должны устанавливаться эксплуатирующей организацией.
При выводе трубопровода из консервации должна быть разработана рабочая программа с указанием перечня работ, включающая ревизию, проверку, опробование и испытания трубопровода и оборудования, порядка и сроков их выполнения, а также инструкцию по техническому обслуживанию и ремонту законсервированного трубопровода.
23.7 При выводе трубопровода из консервации эксплуатирующая организация обязана составить акт о вводе его в действие с приложением перечня выполненных работ после пробной эксплуатации в течение 72 ч.
23.8 Последовательность производства работ по демонтажу трубопровода должна включать:
- подготовительные работы;
- устройство земляного обвалования и амбаров для сбора в них транспортируемого продукта;
- подготовку ремонтной площадки и размещение на ней технических средств и оборудования;
- вскрытие траншеи и устройство, при необходимости, приямок в местах соединения секций трубопровода;
- освобождение трубопровода (участка) от углеводородов;
- при необходимости, герметизацию (перекрытие) внутренней полости трубопровода;
- демонтаж оборудования;
- демонтаж трубопровода;
- рекультивацию земельных участков, занятых под трубопровод;
- иные мероприятия по восстановлению окружающей среды.
23.9 Подготовительные работы должны включать подготовку рабочей площадки, технических средств, оборудования, инструментов и пр., необходимых для выполнения работ по ликвидации трубопровода.
23.10 В зависимости от рельефа местности для устройства амбаров могут быть использованы существующие защитные сооружения, эластичные резинотканевые резервуары, естественные складки местности, резервуары близлежащих ДНС и ЦПС.
При этом устройство земляных амбаров должно отвечать следующим нормативным положениям:
- объем сооружаемого амбара должен обеспечивать прием необходимого количества продукции;
- основание и стенки амбаров должны быть уплотнены или покрыты пленками;
- уровень заполнения амбара продукцией должен быть ниже от верха обвалования на 0,5 м;
- для предотвращения перелива продукции из амбара следует предусмотреть отвод и дренаж ливневых и грунтовых вод.
23.11 Съемное оборудование и приспособления трубопровода необходимо демонтировать и отправить на ревизию для отбраковки неработоспособного от пригодного к использованию.
23.12 Демонтаж трубопровода следует осуществлять после приемки трубопровода или его участка по акту и получения всей необходимой технической документации от эксплуатирующей организации. Способы и схемы проведения демонтажа устанавливаются проектной документацией.
Перед демонтажем трубопровод должен быть освобожден от горючих газов, нефтепродуктов и иной продукции и продут инертным газом (например, азотом) до безопасных концентраций для исключения возможного воспламенения и взрывного горения.
Выброс углеводородов в окружающую среду при освобождении трубопровода и оборудования не допускается.
23.13 В случае применения немеханических соединений демонтаж следует производить путем резки соединений. Не допускается использовать оборудование, в основе работы которого лежит принцип горения.
Для соблюдения обязательных санитарных норм на ПДК вредных веществ в воздухе рабочей зоны должны использоваться специальное санитарно-техническое оборудование и устройства.
23.14 Отходы стеклопластиковых труб согласно
[10] необходимо передать для утилизации по договору специализированной организации на основании лицензии, выдаваемой федеральным органом исполнительной власти или органом исполнительной власти субъектов Российской Федерации.
23.15 Размещение отходов должно производиться в местах, устанавливаемых органами местного самоуправления по согласованию с уполномоченным РФ в области охраны окружающей среды и санитарно-эпидемиологического надзора.
23.16 После завершения работ по ликвидации трубопровода на освобождаемой территории необходимо выполнить техническую и биологическую рекультивацию.
23.17 Работы по консервации и ликвидации трубопровода из стеклопластиковых труб следует считать законченными после составления соответствующих актов о результатах работ и утверждения их руководителем эксплуатирующей организации.
(справочное)
ПРИМЕР КОНСТРУКЦИИ ПЕРЕХОДА ТРУБОПРОВОДА
И УСТРОЙСТВА ТРАНШЕИ В УСТОЙЧИВЫХ ГРУНТАХ
1 - подсыпка дна траншеи (ложе для трубопровода);
2 - уплотняемый трамбовкой грунт - подбивка; 3 - присыпка
над верхней образующей трубопровода; 4 - засыпка вынутым
грунтом (минеральным); 5 - плодородная почва;
6 - наружный диаметр трубопровода de
Рисунок А.1 - Схема прокладки трубопровода
в устойчивых грунтах
1 - защитный футляр (кожух); 2 - трубная плеть;
3 - опорное кольцо; 4 - соединение труб;
5 - концевые строенные опорные кольца;
6 - концевые уплотнительные манжеты; 7 - хомуты манжеты;
8 - защитное укрытие уплотнительной манжеты
Рисунок А.2 - Пример конструкции перехода трубопровода
через дорогу в защитном футляре (кожухе)
| Федеральные нормы и правила в области промышленной безопасности "Правила безопасной эксплуатации внутрипромысловых трубопроводов" (Приказ Федеральной службы по экологическому, технологическому и атомному надзору от 30 ноября 2017 г. N 515) |
| | Инструкция по устройству молниезащиты зданий, сооружений и промышленных коммуникаций. Утверждена Приказом Минэнерго России от 30 июня 2003 года N 280 |
| Правила устройства электроустановок, ПУЭ-7. Утверждены Приказом Минэнерго Российской Федерации от 20 мая 2003 года N 187 |
| | Нормы отвода земель для магистральных трубопроводов. Утверждены Государственным комитетом Совета Министров СССР по делам строительства 30 марта 1973 г. |
| | Нормы отвода земель для нефтяных и газовых скважин. Утверждены Государственным комитетом Совета Министров СССР по делам строительства 25 марта 1974 г. |
| Постановление Минтруда Российской Федерации и Минобразования Российской Федерации от 13 января 2003 г. N 1/29 | "Об утверждении Порядка обучения по охране труда и проверки знаний требований охраны труда работников организаций" |
| Федеральные нормы и правила в области промышленной безопасности "Правила безопасности в нефтяной и газовой промышленности" (Приказ Федеральной службы по экологическому, технологическому и атомному надзору от 12 марта 2013 г. N 101) |
| Федеральный закон от 21 июля 1997 г. N 116-ФЗ "О промышленной безопасности опасных производственных объектов" |
| Федеральный закон от 10 января 2002 г. N 7-ФЗ "Об охране окружающей среды" |
| Приказ Федеральной службы по надзору в сфере природопользования от 18 июля 2014 г. N 445 "Об утверждении федерального классификационного каталога отходов" |
УДК 662.692.4.07:006.354 | |
Ключевые слова: трубопроводы промысловые, стеклопластиковые трубы, проектирование, эксплуатация, соединительные детали, гидравлический расчет, нагрузка, прочность, устойчивость, балластировка |