Главная // Актуальные документы // ГОСТ Р (Государственный стандарт)СПРАВКА
Источник публикации
М.: ФГБУ "РСТ", 2021
Примечание к документу
Документ
введен в действие с 01.08.2021.
Название документа
"ГОСТ Р 59302-2021. Национальный стандарт Российской Федерации. Дороги автомобильные общего пользования. Смеси бетонные для устройства слоев оснований и покрытий. Правила подбора состава"
(утв. и введен в действие Приказом Росстандарта от 21.07.2021 N 644-ст)
"ГОСТ Р 59302-2021. Национальный стандарт Российской Федерации. Дороги автомобильные общего пользования. Смеси бетонные для устройства слоев оснований и покрытий. Правила подбора состава"
(утв. и введен в действие Приказом Росстандарта от 21.07.2021 N 644-ст)
Утвержден и введен в действие
Приказом Федерального
агентства по техническому
регулированию и метрологии
от 21 июля 2021 г. N 644-ст
НАЦИОНАЛЬНЫЙ СТАНДАРТ РОССИЙСКОЙ ФЕДЕРАЦИИ
ДОРОГИ АВТОМОБИЛЬНЫЕ ОБЩЕГО ПОЛЬЗОВАНИЯ
СМЕСИ БЕТОННЫЕ ДЛЯ УСТРОЙСТВА СЛОЕВ ОСНОВАНИЙ И ПОКРЫТИЙ
ПРАВИЛА ПОДБОРА СОСТАВА
Automobile roads of general use. Concrete mixes
for the establishment of layers of the bases and coverings.
Rules for mix proportioning
ГОСТ Р 59302-2021
Дата введения
1 августа 2021 года
1 РАЗРАБОТАН Федеральным автономным учреждением "Российский дорожный научно-исследовательский институт" (ФАУ "РОСДОРНИИ") Министерства транспорта Российской Федерации
2 ВНЕСЕН Техническим комитетом по стандартизации ТК 418 "Дорожное хозяйство"
3 УТВЕРЖДЕН И ВВЕДЕН В ДЕЙСТВИЕ Приказом Федерального агентства по техническому регулированию и метрологии от 21 июля 2021 г. N 644-ст
4 ВВЕДЕН ВПЕРВЫЕ
Правила применения настоящего стандарта установлены в статье 26 Федерального закона от 29 июня 2015 г. N 162-ФЗ "О стандартизации в Российской Федерации". Информация об изменениях к настоящему стандарту публикуется в ежегодном (по состоянию на 1 января текущего года) информационном указателе "Национальные стандарты", а официальный текст изменений и поправок - в ежемесячном информационном указателе "Национальные стандарты". В случае пересмотра (замены) или отмены настоящего стандарта соответствующее уведомление будет опубликовано в ближайшем выпуске ежемесячного информационного указателя "Национальные стандарты". Соответствующая информация, уведомление и тексты размещаются также в информационной системе общего пользования - на официальном сайте Федерального агентства по техническому регулированию и метрологии в сети Интернет (www.gost.ru)
Настоящий стандарт распространяется на бетонные смеси крупнозернистого и мелкозернистого тяжелых бетонов для устройства слоев оснований и покрытий автомобильных дорог общего пользования и устанавливает требования к подбору их составов.
В настоящем стандарте использованы нормативные ссылки на следующие стандарты:
ГОСТ 10060 Бетоны. Методы определения морозостойкости
ГОСТ 10180 Бетоны. Методы определения прочности по контрольным образцам
ГОСТ 18105 Бетоны. Правила контроля и оценки прочности
ГОСТ 31384 Защита бетонных и железобетонных конструкций от коррозии. Общие технические требования
ГОСТ Р 59300 Дороги автомобильные общего пользования. Смеси бетонные для устройства слоев оснований и покрытий. Технические условия
ГОСТ Р 59301 Дороги автомобильные общего пользования. Смеси бетонные для устройства слоев оснований и покрытий. Методы испытаний
Примечание - При пользовании настоящим стандартом целесообразно проверить действие ссылочных стандартов в информационной системе общего пользования - на официальном сайте Федерального агентства по техническому регулированию и метрологии в сети Интернет или по ежегодному информационному указателю "Национальные стандарты", который опубликован по состоянию на 1 января текущего года, и по выпускам ежемесячного информационного указателя "Национальные стандарты" за текущий год. Если заменен ссылочный стандарт, на который дана недатированная ссылка, то рекомендуется использовать действующую версию этого стандарта с учетом всех внесенных в данную версию изменений. Если заменен ссылочный стандарт, на который дана датированная ссылка, то рекомендуется использовать версию этого стандарта с указанным выше годом утверждения (принятия). Если после утверждения настоящего стандарта в ссылочный стандарт, на который дана датированная ссылка, внесено изменение, затрагивающее положение, на которое дана ссылка, то это положение рекомендуется применять без учета данного изменения. Если ссылочный стандарт отменен без замены, то положение, в котором дана ссылка на него, рекомендуется применять в части, не затрагивающей эту ссылку.
4 Обозначения и сокращения
В настоящем стандарте применены следующие обозначения и сокращения:
Rб - средняя прочность бетона в партии, МПа;
Мкр - модуль крупности песка;
B - класс бетона;
В - масса воды на 1 м3 бетонной смеси, кг;
Dн.к - наибольший размер зерен крупного заполнителя, мм;
Vв.в - объем вовлеченного воздуха на 1 м3 бетонной смеси, л;

,

,

- истинная плотность цемента, песка, щебня соответственно, г/см
3;

,

- насыпная плотность песка и щебня соответственно, г/см
3;
Vм.з - межзерновая пустотность щебня в стандартно-насыпном состоянии, в долях единицы;
Rц - активность цемента (фактическая прочность), МПа;

- коэффициент раздвижки зерен;

- плотность бетонной смеси после уплотнения, кг/м
3;
Wi - влажность по массе i-фракции заполнителя, %;
t - коэффициент, учитывающий принятую обеспеченность класса бетона;
В0, З0 - расход воды и заполнителя по номинальному составу, кг/м3;
v - коэффициент вариации прочности бетона, %;
Ry - средний уровень прочности (на сжатие), МПа;
mц, mщ, mп, mв - фактические расходы цемента, щебня, песка, воды соответственно на пробный замес, кг;

- водоцементное (цементно-водное) отношение;
НКЗ - наибольшая крупность заполнителя, мм;
ОК(Ж) - подвижность (жесткость) бетонной смеси, см (с);

,

- расход песка и щебня (крупного заполнителя) с учетом содержания песка в крупном заполнителе П
щ и щебня в песке Щ
п;
Ц, Щ, П - масса цемента, щебня, песка на 1 м3 бетонной смеси соответственно, кг.
5.1 Подбор составов бетонных смесей для устройства слоев оснований и покрытий дорог следует осуществлять в соответствии с положениями настоящего стандарта, а также с учетом требований
ГОСТ 31384 и проектной документации с целью получения бетона с заданными показателями при минимальном расходе вяжущего.
5.2 Под подбором составов бетона следует понимать обоснование, выбор вида исходных материалов и их соотношений, обеспечивающих заданные требования к бетонной смеси и бетону.
5.3 Подбор составов бетонных смесей для устройства слоев оснований и покрытий дорог включает в себя: разработку задания на подбор состава бетонной смеси; подбор номинального состава бетонной смеси; приготовление и корректировку опытных замесов; приготовление, испытание контрольных образцов и обработку результатов; переход от номинального состава к рабочему; расчет расхода материалов на один замес бетоносмесителя.
5.4 Подбор номинального состава бетонной смеси следует осуществлять при организации производства новых видов конструкций, изменении нормируемых показателей качества бетона или бетонной смеси, поставщиков, вида или марок применяемых материалов.
5.5 Рабочие составы бетонной смеси назначают при переходе на новый номинальный состав и далее при поступлении новых партий материалов тех же видов и марок, которые принимались при подборе номинального состава, с учетом их фактического качества. При назначении рабочих составов их проверяют в лабораторных или производственных условиях.
В дальнейшем по результатам операционного контроля качества материалов данных партий и получаемой из них бетонной смеси, а также приемочного контроля качества бетона производят корректировку рабочих составов
[1].
5.6 Рабочую дозировку назначают по рабочему составу бетонной смеси с учетом объема приготовляемого замеса.
5.7 Подбор состава бетона должен быть выполнен лабораторией предприятия - изготовителя бетонной смеси по утвержденному заданию. Допускается проводить подбор состава в других организациях по утвержденному заданию.
5.8 Результаты подбора состава бетона, отвечающего требованиям утвержденного задания, должны быть оформлены в журнале подбора состава бетона и подписаны работником предприятия-изготовителя, ответственным за качество продукции. Рабочие составы и дозировки подписывает работник предприятия-изготовителя, ответственный за подбор состава бетона.
5.9 Задание, журнал подбора номинального состава бетона, ведомости рабочих составов и листы рабочих дозировок вместе с дубликатами документов о качестве на соответствующие партии бетонной смеси или конструкций следует хранить на предприятии-изготовителе.
5.10 При подборе состава бетонной смеси следует учитывать нормированную морозостойкость.
6 Требования к исходным материалам для приготовления бетонных смесей
Допускается применение исходных материалов, соответствующих требованиям
[2],
ГОСТ Р 59300.
7 Требования к бетонным смесям
7.1 Бетонная смесь должна соответствовать требованиям
ГОСТ Р 59300.
7.2 Испытания бетонных смесей проводят в соответствии с требованиями
ГОСТ Р 59301.
8 Подбор составов бетонных смесей с учетом климатических зон и эксплуатационных условий
8.1.1 Подбор состава бетонных смесей заданного качества осуществляют расчетно-экспериментальным способом в соответствии с положениями настоящего стандарта,
[1].
8.1.2 Цель при подборе состава бетонной смеси заключается в том, чтобы установить такой расход материалов на 1 м3 бетонной смеси, при котором наиболее экономично обеспечивается получение удобоукладываемой бетонной смеси, заданной прочности бетона, а также необходимой морозостойкости и других свойств бетона при минимальном расходе вяжущего.
8.1.3 Классы бетона по прочности, марку бетона по морозостойкости и марку бетона по водонепроницаемости следует назначать в проекте с учетом условий эксплуатации конструкции.
8.1.4 Задание на подбор состава бетонной смеси должно быть разработано предприятием - заказчиком бетонной смеси и утверждено в установленном порядке.
Задание на подбор состава бетонной смеси должно содержать все нормируемые показатели качества бетона в соответствии с требованиями нормативных документов и проектной документации.
8.1.5 Подбор номинального состава бетонной смеси следует выполнять по утвержденному заданию. Подбор состава бетонных смесей осуществляется в соответствии с требованиями настоящего стандарта и включает в себя определение номинального состава (см.
8.5), расчет и корректировку рабочего состава (см.
8.8), расчет и передачу в производство рабочих дозировок (см.
8.9). Если подбор произведен сторонней организацией, карту подбора подписывает ее технический руководитель, подпись заверяется печатью (при наличии).
8.1.6 К моменту подбора состава бетонной смеси следует определить качество исходных материалов: цемента, воды, песка и щебня (щебня из гравия), добавок согласно требованиям
ГОСТ Р 59300.
8.1.7 Исходными данными для расчета состава бетонной смеси являются:
- заданная прочность (класс) бетона;
- марка по морозостойкости и водонепроницаемости бетона;
- марка бетонной смеси по подвижности или жесткости;
- объем вовлеченного воздуха в бетонной смеси;
- характеристики исходных материалов: активность и плотность цемента, плотность и насыпная плотность песка и щебня, пустотность щебня, модуль крупности песка;
- технические требования по использованию добавок в составах бетонных смесей.
8.1.8 Для получения бетонов с заданными свойствами необходимо использовать совокупность базовых и дополнительных исходных материалов.
К базовым исходным материалам относят:
- цемент;
- щебень;
- песок;
- воду;
- химические добавки.
К дополнительным исходным материалам относят армирующие дисперсные материалы - волокна (фибры), а также тонкомолотые минеральные добавки. Учет их влияния на характеристики бетонной смеси и бетона должен быть проверен экспериментально. В настоящем стандарте дополнительные исходные материалы не рассматриваются.
Все базовые и дополнительные исходные материалы должны соответствовать требованиям
ГОСТ Р 59300.
8.1.9 Применение материалов для бетона, показатели качества которых не соответствуют требованиям
ГОСТ Р 59300, должно иметь соответствующее технико-экономическое обоснование.
8.1.10 Бетоны, имеющие марку по морозостойкости F2150 и выше, изготавливают с применением воздухообразующих, микрогазообразующих или комплексных добавок.
8.2 Задание на подбор состава бетонной смеси
8.2.1 Задание на подбор состава должно быть разработано для конкретных условий (эксплуатационных и климатических) работы оснований и покрытий автомобильных дорог, устраиваемых из бетонной смеси одного вида и качества по определенной технологии.
8.2.2 Задание должно содержать нормируемые показатели качества бетонной смеси и бетона в соответствии с требованиями проектной документации на дорожную конструкцию: среднюю расчетную прочность бетона в проектном и, при необходимости, в промежуточном возрасте Rб, марку по удобоукладываемости бетонной смеси, содержание вовлеченного воздуха, вид и наибольшую крупность заполнителя, вид и модуль крупности песка, а также другие характеристики исходных материалов, бетонной смеси или бетона.
При отклонении проектных требований от регламентируемых нормативными документами необходимо согласование с заказчиком:
- технологических параметров бетонной смеси;
- указаний и ограничений по составу бетонной смеси и применению материалов для ее приготовления (на основе нормативных документов).
8.2.3 В задание могут быть включены дополнительные характеристики: марки бетона по морозостойкости, водопроницаемости, водопоглощению и т.д., а также ограничения по применяемым материалам.
8.3 Исходные данные для подбора состава бетонной смеси
8.3.1 Исходными данными, характеризующими свойства используемых материалов, являются: активность цемента
Rц или класс, истинная плотность

цемента, модуль крупности М
кр песка, истинная плотность

песка, насыпная плотность

песка; наибольший размер зерен крупного заполнителя D
н.к, истинная плотность

и насыпная плотность

, а также пустотность п
щ щебня.
Результаты определяют путем проведения испытаний на установление характеристик по методикам испытаний для данных материалов или принимают по документам о качестве.
8.3.2 Если в задании указан класс бетона, перевод характеристики средней прочности бетона Rб от класса бетона к его прочности определяют по формуле

(1)
где t - коэффициент, учитывающий принятую обеспеченность класса бетона (при обычно принимаемой обеспеченности 0,95t = 1,645);
v - коэффициент вариации прочности бетона, %.
8.3.3 Номинальный состав бетона подбирают исходя из условия обеспечения среднего уровня прочности, значение которого определяют по
ГОСТ 18105 исходя из коэффициента вариации прочности бетона, равного 13%.
8.3.4 Заказчик имеет право устанавливать более высокие требования к параметрам бетона.
8.4 Основы расчетно-экспериментального способа определения состава бетонных смесей
8.4.1 В основу расчетно-экспериментального способа определения состава бетонных смесей заложены нижеприведенные принципы.
8.4.1.1 Принцип абсолютных объемов - сумма абсолютных объемов всех компонентов бетонной смеси, которая примерно равна единице, определяемая по формуле

(2)
где Щ, П, Ц, В - масса соответственно щебня, песка, цемента и воды, кг;

,

,

- истинные плотности щебня, песка и цемента соответственно, г/см
3;
Vв.в - объем вовлеченного воздуха, л.
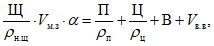
8.4.1.2 Принцип фаз, согласно которому каркасом бетона является крупный заполнитель, пространство между зернами которого заполняет цементно-песчаный раствор, несколько раздвигающий при этом зерна каркаса. Вычисляют по формуле

(3)
где

- насыпная плотность щебня, г/см
3;
Vм.з - межзерновая пустотность щебня, доли ед.;
- коэффициент раздвижки зерен, доли ед.;
Щ, П, Ц, В - массы соответственно щебня, песка, цемента и воды, кг;

,

- истинная плотность цемента, песка, г/см
3;
Vв.в - объем вовлеченного воздуха, л.
8.4.2 Ориентировочную прочность в зависимости от качества применяемых материалов допускается рассчитывать по следующим формулам:

(4)

(5)

(6)

(7)
где Rб - прочность бетона на сжатие, МПа;
Rбt - прочность бетона на растяжение при изгибе, МПа;
Rц - активность цемента (на сжатие), МПа;
- активность цемента (на растяжение при изгибе), МПа.
8.4.3 В зависимости от наибольшей крупности заполнителя ориентировочный базовый расход воды для расчета состава бетонной смеси допускается принимать по
таблице 1.
Таблица 1
Расход воды для расчета состава бетонной смеси
ОК, см | Ж, с | Расход воды, кг/м3, при НКЗ, мм |
щебня из гравия | щебня |
8 | 16 | 31,5 | 8 | 16 | 31,5 |
- | 40 - 50 | 150 | 135 | 125 | 160 | 150 | 135 |
- | 25 - 35 | 160 | 145 | 130 | 170 | 160 | 145 |
- | 15 - 20 | 165 | 150 | 135 | 175 | 165 | 150 |
- | 10 - 15 | 175 | 160 | 145 | 185 | 175 | 160 |
2 - 4 | - | 190 | 175 | 160 | 200 | 190 | 175 |
5 - 7 | - | 200 | 185 | 170 | 210 | 200 | 185 |
8 - 10 | - | 205 | 190 | 175 | 215 | 205 | 190 |
Примечания 1 Расход воды приведен для смеси на портландцементе с нормальной густотой цементного теста от 26% до 28% и на песке с Мкр = 2. 2 При изменении нормальной густоты цементного теста на каждый процент в меньшую сторону расход воды уменьшается на 3 - 5 кг/м3, в большую сторону - увеличивается на 3 - 5 кг/м3. 3 При изменении модуля крупности песка на каждые 0,5 в меньшую сторону расход воды увеличивается на 3 - 5 кг/м3, в большую сторону - уменьшается на 3 - 5 кг/м3. |
8.4.4 Определение коэффициента раздвижки зерен
По результатам испытаний подвижных бетонных смесей с различными расходами цемента и водоцементными отношениями определены значения коэффициента раздвижки зерен, которые приведены в
таблице 2.
Таблица 2
Определение коэффициента раздвижки зерен
Расход цемента, кг/м3 | |
0,3 | 0,4 | 0,5 | 0,6 | 0,7 | 0,8 |
250 | 1,08 | 1,14 | 1,20 | 1,26 | 1,32 | 1,38 |
300 | 1,18 | 1,24 | 1,30 | 1,36 | 1,42 | 1,48 |
350 | 1,26 | 1,32 | 1,38 | 1,44 | 1,50 | 1,56 |
400 | 1,31 | 1,40 | 1,46 | 1,54 | 1,62 | 1,69 |
500 | 1,44 | 1,52 | 1,56 | 1,63 | 1,69 | 1,75 |
Примечание - При других значениях Ц и  коэффициент  находят интерполяцией. |
8.4.5 Для жестких бетонных смесей при расходе цемента менее 400 кг/м
3 коэффициент

принимают равным 1,08. Для составов жестких смесей с расходом цемента более 400 кг/м
3 значение

принимают равным 1,12.
8.5 Расчет номинального состава бетонной смеси
8.5.1 Расчет состава выполняют на 1 м3 уплотненной бетонной смеси, изготовленной на высушенных заполнителях с разделением крупного заполнителя на отдельные фракции. Состав на таких заполнителях именуют номинальным. Его определяют на трех лабораторных составах: начальном и двух дополнительных.
8.5.2 Дополнительные составы отличаются от начального варьированием наиболее существенного параметра, водоцементного отношения, в большую и меньшую стороны на 15% - 30%.
8.5.3 Материалы для всех лабораторных замесов используют одни и те же. Их испытывают до начала подбора, определяя значения

,

,

,

,
Vм.щ,
Rц. Значения коэффициента раздвижки зерен

определяют в процессе расчета, когда станут известны водоцементное отношение и расход цемента.
8.5.4 Определяют

путем преобразования
формул (4) и
(5) по следующим формулам:

(8)

(9)
где Rб - средняя прочность бетона на сжатие, МПа;
Rц - активность цемента (на сжатие), МПа.
Полученные значения

сверяют с граничными условиями по

, отбрасывая не соответствующий условию результат.
8.5.5 Определяют расход воды для получения требуемой подвижности бетонной смеси с помощью
таблицы 1 с учетом поправок.
8.5.6 Определение расхода цемента
Зная расход воды, обеспечивающий требуемую подвижность смеси, и

, гарантирующее получение проектной прочности, расход цемента, кг/м
3, можно определить по формуле

(10)
где В - расход воды, скорректированный с учетом действия химических добавок, кг/м3;

- водоцементное отношение.
Если расход цемента на 1 м3 бетона окажется ниже допускаемого, то необходимо его увеличить до требуемой нормы.
8.5.7 Принимают коэффициент раздвижки зерен по установленным

и расходу цемента согласно
8.4.4 и требованиям
ГОСТ Р 59300.
8.5.8 Расход добавок определяют в зависимости от их вида, назначения и эффективности.
8.5.9 Расход армирующих дисперсных и дискретных материалов назначают согласно требованиям соответствующих нормативных документов и стандартов организации на применяемые материалы.
8.5.10 После установления начального номинального состава бетона производят расчет дополнительных составов, которые отличаются изменением водоцементного отношения в большую и меньшую сторону. По рассчитанным начальному и дополнительному номинальным составам бетона выполняют опытные замесы.
8.5.11 Расход щебня (щебня из гравия) Щ определяют по формуле, полученной решением
уравнений (2) и
(3) относительно Щ:

(11)
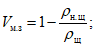
где Vм.з - межзерновая пустотность щебня, доли ед., вычисляемая по формуле

(12)

- коэффициент раздвижки зерен, доли ед.;

- насыпная плотность щебня, г/см
3;

- истинная плотность щебня, г/см
3.
8.5.12 Расход песка П определяют по формуле, полученной преобразованием
уравнения (2):

(13)
где Ц, Щ - расходы соответственно цемента и щебня, кг;

,

,

- истинная плотность цемента, щебня и песка соответственно, г/см
3;
В - масса воды на 1 м3 бетонной смеси, кг;
Vв.в - объем вовлеченного воздуха, л.
8.5.13 Определяют расчетную плотность уплотненной бетонной смеси

, кг/м
3, по формуле

(14)
где Щ, П, Ц, В - содержание соответственно щебня, песка, цемента, воды на 1 м3 бетонной смеси, кг.
8.5.14 Объем вовлеченного воздуха (расчетное значение) Vв.в определяют по формуле

(15)
где Щ, П, Ц, В - массы соответственно щебня, песка, цемента и воды, кг;

,

,

,

- истинные плотности соответственно щебня, песка, цемента и воды, г/см
3.
8.6 Приготовление и корректировка опытных замесов
8.6.1 Расход материалов на каждый замес, из которого должно быть отформовано заданное количество контрольных образцов, берут с избытком не менее 10%.
8.6.2 Материалы следует дозировать по массе с погрешностью в соответствии с
ГОСТ Р 59300. Воду и водные растворы добавок дозируют по массе или по объему.
8.6.3 Сухие материалы перемешивают и затем постепенно добавляют расчетное количество воды и водного раствора добавки. Перемешивание проводят в лабораторном смесителе. Опытные замесы тяжелого бетона объемом не более 15 л допускается производить вручную на предварительно увлажненном противне с перемешиванием в течение 3 - 5 мин.
8.6.4 По окончании перемешивания отбирают пробы для проверки удобоукладываемости, а также других, предусмотренных заданием, характеристик бетонной смеси. Бетонную смесь, которая не удовлетворяет заданным требованиям, допускается корректировать при вторичном перемешивании с добавлением тех или иных компонентов в необходимых количествах до получения смеси с заданными свойствами.
8.6.5 Проверка удобоукладываемости состоит в определении подвижности или жесткости смеси по
ГОСТ Р 59301.
Если подвижность смеси получилась меньше требуемой, то в опытный замес добавляют по 5% - 10% цемента и воды с соблюдением принятого

. Если подвижность получилась более требуемой, то в замес добавляют песок и щебень по 5% - 10% от расчетного в принятом соотношении. В результате достигается заданная удобоукладываемость бетонной смеси.
8.6.6 Фактическую среднюю плотность уплотненной бетонной смеси (кг/м
3) определяют по
ГОСТ Р 59301.
8.6.7 Объем вовлеченного воздуха определяют по
ГОСТ Р 59301.
8.6.8 Определяют фактический расход материалов на 1 м3 бетона по следующим формулам:

(16)

(17)

(18)

(19)
где mц, mщ, mп, mв - фактические расходы материалов на пробный замес, кг/м3.
8.6.9 При подборе состава бетонной смеси определение показателей удобоукладываемости, объема вовлеченного воздуха, а также изготовление контрольных образцов должны быть начаты не позднее чем через 10 мин и закончены не позднее чем через 30 мин после приготовления бетонной смеси.
8.7 Изготовление и испытание контрольных образцов, обработка результатов
8.7.1 Для проверки прочности бетона из откорректированной бетонной смеси готовят контрольные образцы. На каждый срок испытания изготавливают не менее 4 образцов. Изготовление контрольных образцов производят в соответствии с
ГОСТ 10180.
8.7.2 Образцы, предназначенные для твердения в нормальных условиях, после изготовления до распалубливания хранят в формах, накрытых пленкой, влажной тканью или другим материалом, исключающим возможность испарения с их поверхности влаги, в помещении с температурой воздуха (20 +/- 5) °C.
8.7.3 При определении прочности бетона на сжатие образцы распалубливают не ранее чем через 24 ч для бетонов класса B7,5 и выше и не ранее чем через 48 ч - для бетонов класса B5 и ниже, а также для бетонов с добавками, замедляющими их твердение в раннем возрасте.
После распалубливания образцы должны быть помещены в камеру, обеспечивающую у поверхности образцов нормальные условия твердения, т.е. температуру (20 +/- 2) °C и относительную влажность воздуха (95 +/- 5)%.
8.7.4 Прочность бетона определяют по
ГОСТ 10180 в проектном и, при необходимости, в промежуточном возрасте.
8.7.5 Водонепроницаемость бетона определяют по
ГОСТ 12730.5.
8.7.6 Морозостойкость бетона определяют по
ГОСТ 10060.
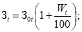
8.8 Переход от номинального состава бетонной смеси к рабочему
Фактические расходы заполнителей и воды в рабочем составе должны учитывать влажность заполнителей, а также содержание крупного заполнителя в мелком и мелкого заполнителя в крупном. Фактические расходы материалов определяют по следующим формулам:

(20)

(21)

(22)

(23)
где Зi - расход заполнителя, кг/м3;
В - расход воды, кг/м3;
Wi - влажность по массе i-й фракции заполнителя, %;
З0i - расход по номинальному составу сухого заполнителя i-й фракции, кг/м3;
В0 - расход воды по номинальному составу, кг/м3;

,

- расход мелкого и крупного заполнителей, кг/м
3, с учетом содержания мелкого в крупном заполнителе (П
щ) и крупного заполнителя в мелком (Щ
п), в долях от массы;
П, Щ - расход мелкого и крупного заполнителя по номинальному составу, кг/м3.
8.9 Расчет расхода материалов на один замес бетоносмесителя
8.9.1 Сумма объемов цемента, песка и щебня в насыпном состоянии не должна превышать емкость бетоносмесителя. Коэффициент выхода бетонной смеси

определяют по формуле

(24)
8.9.2 Расход материалов на один замес, кг, определяют по следующим формулам:

(25)

(26)

(27)

(28)
| | Методические рекомендации по подбору составов цементобетонов для дорожного строительства в различных климатических зонах и с учетом эксплуатационных условий работы дорожных покрытий |
| Технический регламент Таможенного союза | Безопасность автомобильных дорог (утвержден Решением Комиссии Таможенного союза от 18 октября 2011 г. N 827) |
УДК 625.84:006.3546 | |
Ключевые слова: бетонная смесь, бетон, правила подбора состава, основания автомобильных дорог общего пользования, покрытия автомобильных дорог общего пользования |