Главная // Актуальные документы // ГОСТ Р (Государственный стандарт)СПРАВКА
Источник публикации
М.: Стандартинформ, 2020
Примечание к документу
Документ
введен в действие с 01.08.2021.
Название документа
"ГОСТ Р 59172-2020. Национальный стандарт Российской Федерации. Дороги автомобильные общего пользования. Насыпи облегченные и комбинированные из вспененных полистирольных блоков (ППС блоков). Правила проектирования и применения"
(утв. и введен в действие Приказом Росстандарта от 12.11.2020 N 1066-ст)
"ГОСТ Р 59172-2020. Национальный стандарт Российской Федерации. Дороги автомобильные общего пользования. Насыпи облегченные и комбинированные из вспененных полистирольных блоков (ППС блоков). Правила проектирования и применения"
(утв. и введен в действие Приказом Росстандарта от 12.11.2020 N 1066-ст)
Утвержден и введен в действие
агентства по техническому
регулированию и метрологии
от 12 ноября 2020 г. N 1066-ст
НАЦИОНАЛЬНЫЙ СТАНДАРТ РОССИЙСКОЙ ФЕДЕРАЦИИ
ДОРОГИ АВТОМОБИЛЬНЫЕ ОБЩЕГО ПОЛЬЗОВАНИЯ
НАСЫПИ ОБЛЕГЧЕННЫЕ И КОМБИНИРОВАННЫЕ
ИЗ ВСПЕНЕННЫХ ПОЛИСТИРОЛЬНЫХ БЛОКОВ (ППС БЛОКОВ)
ПРАВИЛА ПРОЕКТИРОВАНИЯ И ПРИМЕНЕНИЯ
Automobile roads of general use.
Lightweight and combined embankments made of expanded
polystyrene blocks (EPS blocks).
Design and application rules
ГОСТ Р 59172-2020
Дата введения
1 августа 2021 года
1 РАЗРАБОТАН Некоммерческой организацией "Ассоциация производителей и поставщиков пенополистирола", Обществом с ограниченной ответственностью "СПбГАСУ-Дорсервис" (ООО "СПбГАСУ-Дорсервис")
2 ВНЕСЕН Техническим комитетом по стандартизации ТК 144 "Строительные материалы и изделия"
3 УТВЕРЖДЕН И ВВЕДЕН В ДЕЙСТВИЕ
Приказом Федерального агентства по техническому регулированию и метрологии от 12 ноября 2020 г. N 1066-ст
4 ВВЕДЕН ВПЕРВЫЕ
Правила применения настоящего стандарта установлены в статье 26 Федерального закона от 29 июня 2015 г. N 162-ФЗ "О стандартизации в Российской Федерации". Информация об изменениях к настоящему стандарту публикуется в ежегодном (по состоянию на 1 января текущего года) информационном указателе "Национальные стандарты", а официальный текст изменений и поправок - в ежемесячном информационном указателе "Национальные стандарты". В случае пересмотра (замены) или отмены настоящего стандарта соответствующее уведомление будет опубликовано в ближайшем выпуске ежемесячного информационного указателя "Национальные стандарты". Соответствующая информация, уведомление и тексты размещаются также в информационной системе общего пользования - на официальном сайте Федерального агентства по техническому регулированию и метрологии в сети Интернет (www.gost.ru)
Настоящий стандарт устанавливает требования к правилам проектирования облегченных и комбинированных насыпей и применения в них вспененных полистирольных блоков (далее - ППС блоки), произведенных из вспенивающегося полистирола ПСВ с антипиреном в блок-формах, на автомобильных дорогах общего пользования при строительстве, ремонте и капитальном ремонте облегченных и комбинированных насыпей и сооружений на слабых грунтах, а также при строительстве и ремонте подпорных стен и искусственных сооружений.
В настоящем стандарте использованы нормативные ссылки на следующие документы:
ГОСТ 4041 Прокат толстолистовой горячекатаный для холодной штамповки из нелегированной конструкционной качественной стали. Технические условия
ГОСТ 5781 Сталь горячекатаная для армирования железобетонных конструкций. Технические условия
ГОСТ 7502 Рулетки измерительные металлические. Технические условия
ГОСТ 8478 Сетки сварные для железобетонных конструкций. Технические условия
ГОСТ 8736 Песок для строительных работ. Технические условия
ГОСТ 10354 Пленка полиэтиленовая. Технические условия
ГОСТ 25192 Бетоны. Классификация и общие технические требования
ГОСТ 25485 Бетоны ячеистые. Общие технические условия
ГОСТ 27751 Надежность строительных конструкций и оснований. Основные положения
ГОСТ 32867 Дороги автомобильные общего пользования. Организация строительства. Общие требования
ГОСТ 32960 Дороги автомобильные общего пользования. Нормативные нагрузки, расчетные схемы нагружения
ГОСТ 33100 Дороги автомобильные общего пользования. Правила проектирования автомобильных дорог
ГОСТ 33149 Дороги автомобильные общего пользования. Правила проектирования автомобильных дорог в сложных условиях
ГОСТ Р 55028 Дороги автомобильные общего пользования. Материалы геосинтетические для дорожного строительства. Классификация, термины и определения
ГОСТ Р 56586 Геомембраны гидроизоляционные полиэтиленовые рулонные. Технические условия
ГОСТ Р 56925 Дороги автомобильные и аэродромы. Методы измерения неровностей оснований и покрытий
ГОСТ Р 58397 Дороги автомобильные общего пользования. Правила производства работ. Оценка соответствия
ГОСТ Р 58960 Шпонки металлические зубчатые для деревянных конструкций. Технические условия
ГОСТ Р 59171-2020 Дороги автомобильные общего пользования. Блоки полистирольные вспененные (ППС блоки). Общие технические требования
Примечание - При пользовании настоящим стандартом целесообразно проверить действие ссылочных стандартов и сводов правил в информационной системе общего пользования - на официальном сайте Федерального агентства по техническому регулированию и метрологии в сети Интернет или по ежегодному информационному указателю "Национальные стандарты", который опубликован по состоянию на 1 января текущего года, и по выпускам ежемесячного информационного указателя "Национальные стандарты" за текущий год. Если заменен ссылочный документ, на который дана недатированная ссылка, то рекомендуется использовать действующую версию этого документа с учетом всех внесенных в данную версию изменений. Если заменен ссылочный документ, на который дана датированная ссылка, то рекомендуется использовать версию этого документа с указанным выше годом утверждения (принятия). Если после утверждения настоящего стандарта в ссылочный документ, на который дана датированная ссылка, внесено изменение, затрагивающее положение, на которое дана ссылка, то это положение рекомендуется применять без учета данного изменения. Если ссылочный документ отменен без замены, то положение, в котором дана ссылка на него, рекомендуется применять в части, не затрагивающей эту ссылку.
В настоящем стандарте применены термины по
ГОСТ Р 59171, а также следующие термины с соответствующими определениями:
3.1
геомембрана: Геосинтетический материал, предназначенный для полной или частичной гидроизоляции. |
3.2
геосинтетический материал: Материал из синтетических или природных полимеров, неорганических веществ, контактирующий с грунтом или другими средами, применяемый в дорожном строительстве. |
3.3
дорожная одежда: Конструктивный элемент автомобильной дороги, воспринимающий нагрузку от транспортных средств и передающий ее на земляное полотно. |
3.4 консолидация грунта: Уплотнение водонасыщенного грунтового слоя во времени, происходящее за счет выжимания воды и сближения грунтовых частиц.
3.5
нормативная нагрузка: Модель нагрузки от транспортных средств, установленная по наибольшим значениям временных нагрузок нормальной эксплуатации с учетом перспективы. |
3.6 распределительная плита: Плита, предназначенная для равномерного распределения нагрузки от транспорта по поверхности блоков ППС.
3.7
реконструкция автомобильной дороги: Комплекс работ, при выполнении которых осуществляется изменение параметров автомобильной дороги, ее участков, ведущий к изменению класса и/или категории автомобильной дороги либо влекущий за собой изменение границы полосы отвода автомобильной дороги. |
3.8 внешняя устойчивость основания: Способность грунта основания выдерживать максимальную нагрузку, передаваемую на него сооружением, без развития поверхностей скольжения, приводящих к разрушению оснований и полной непригодности сооружений к эксплуатации.
3.9 внутренняя устойчивость насыпи: Способность насыпи из ППС блоков сопротивляться сдвигу и продавливанию при воздействии нагрузок.
3.10 облегченная насыпь: Инженерное сооружение из ППС блоков, в пределах которого дорожная одежда расположена выше уровня земли, имеющее бетонную распределительную плиту, защиту откосов и специально подготовленное основание.
3.11 комбинированная насыпь: Инженерное сооружение из ППС блоков, в котором один или несколько элементов конструкции насыпи выполнены из материала, имеющего среднюю плотность (например, распределительная плита, выполненная из пенобетона) ниже средней плотности песка, в пределах которого дорожная одежда расположена выше уровня земли.
4.1 Геометрические и физико-механические характеристики ППС блоков, применяемых при устройстве облегченных и комбинированных насыпей и сооружений на слабых грунтах, определяются требованиями, содержащимися в
ГОСТ Р 59171.
4.2 Применяемые на автомобильных дорогах общего пользования при устройстве облегченных и комбинированных насыпей и сооружений на слабых грунтах ППС блоки должны иметь маркировку по
ГОСТ Р 59171.
4.3 Основные типы устройства и поперечного сечения облегченных и комбинированных насыпей с использованием ППС блоков:
- трапецеидальный тип облегченной насыпи (см.
рисунок 1);
- трапецеидальный тип в комбинированной насыпи с прослойками из особого легкого или легкого бетона по
ГОСТ 25192 (см.
рисунок 2);
- тип с вертикальными откосами в облегченной насыпи (см.
рисунок 3).
1 - ППС блоки; 2 - дорожная одежда; 3 - распределительная
плита; 4 - грунтовое покрытие откосов;
5 - выравнивающий слой песка; 6 - грунт основания
Рисунок 1 - Конструктивная схема насыпи из ППС блоков
трапецеидальной формы
1 - ППС блоки; 2 - дорожная одежда; 3 - бетон; 4 - грунтовое
покрытие откосов; 5 - выравнивающий слой песка;
6 - грунт основания
Рисунок 2 - Конструктивная схема насыпи из ППС блоков
трапецеидальной формы с прослойками из легкого бетона
1 - ППС блоки; 2 - дорожная одежда; 3 - распределительная
плита; 4 - выравнивающий слой песка;
5 - облицовка; 6 - грунт основания
Рисунок 3 - Конструктивная схема насыпи из ППС блоков
с вертикальными откосами
4.4 Работы по укладке ППС блоков при устройстве облегченных и комбинированных насыпей и сооружений на слабых грунтах следует выполнять при скорости ветра до 14 м/с.
4.5 Технологические схемы производства работ по строительству облегченной (комбинированной) насыпи должны быть взаимно увязаны с технологическими схемами производства работ по строительству подпорной стены на примыкании к путепроводу.
4.6 Изменения технологии производства работ, предлагаемые подрядчиком в ходе строительства, следует согласовывать с проектной организацией.
4.7 При устройстве переходной зоны между облегченной насыпью и грунтовой насыпью (со стороны путепровода) технология работ по устройству облегченной насыпи в переходной зоне должна быть увязана с планом производства работ по строительству подпорной стены на примыкании к путепроводу.
4.8 При строительстве облегченных и комбинированных насыпей с использованием ППС блоков выполняют следующие основные виды операций:
- временное складирование, транспортирование, перемещение и защита ППС блоков от повреждений (см.
раздел 6);
- подготовка основания под укладку ППС блоков (см.
раздел 7);
- устройство бетонной распределительной плиты (см.
раздел 9);
- устройство дорожной одежды (см.
раздел 10);
4.9 С целью равномерного распределения транспортных нагрузок и веса дорожной одежды на поверхность ППС блоков и для защиты ППС блоков от деградации просочившимися с поверхности покрытия органическими растворителями (нефтепродукты и т.п.), а также для защиты ППС блоков от механических повреждений при строительстве вышерасположенных слоев дорожной одежды применяют бетонную распределительную плиту, выполненную по
разделу 9 из легких конструкционных бетонов по
ГОСТ 25192 или из конструкционных ячеистых бетонов неавтоклавного твердения по
ГОСТ 25485.
Минимальная толщина распределительной плиты - не менее 100 мм. В случае необходимости монтажа элементов обустройства (ограждений, шумозащитных экранов, опор освещения и т.д.) толщина распределительной плиты - не менее 200 мм.
Класс бетона по прочности на сжатие - не менее B25 для легких бетонов по
ГОСТ 25192 и не более B12,5 - для конструкционных ячеистых бетонов неавтоклавного твердения по
ГОСТ 25485. Марка по морозостойкости - средняя, но не менее F
1100, марка по водонепроницаемости - средняя, но не более W10.
4.10 Для защиты от деградации вспененных полистирольных блоков при воздействии нефтепродуктов, просочившихся через грунтовую засыпку боковых откосов насыпи (см.
раздел 11), применяют геокомпозиты по
ГОСТ Р 55028.
4.11 Долговечность конструкции из ППС блоков должна составлять не менее 50 лет.
5 Правила проектирования и расчета облегченных и комбинированных насыпей на слабых грунтах с использованием ППС блоков
5.1 Автомобильные дороги общего пользования с устройством облегченных и комбинированных насыпей и сооружений на слабых грунтах из ППС блоков следует проектировать из условия безопасного и бесперебойного движения транспортных средств в соответствии с требованиями технического
регламента [1],
ГОСТ 33100 и
ГОСТ 33149, по методике, изложенной в настоящем разделе, а также в соответствии с требованиями
ГОСТ 27751 при проектировании облегченных и комбинированных насыпей из ППС блоков в местах прилегания к мостам и иным строительным сооружениям.
5.2 Проектирование облегченных и комбинированных насыпей из ППС блоков выполняют с целью недопущения достижения предельных состояний сооружения в процессе эксплуатации с учетом исключения влияния неблагоприятных гидрологических и сейсмологических условий. Проектирование насыпей из ППС блоков в сейсмоопасных районах выполняют по методике, изложенной в настоящем разделе, с учетом требований
СП 268.1325800.2016.
5.3 При проектировании необходимо учитывать степень риска причинения вреда от воздействия установленных внешних и внутренних нагрузок на насыпь из ППС блоков.
5.4 Расчеты насыпи следует осуществлять на основе достоверных результатов инженерно-геологических, инженерно-гидрометеорологических и гидрологических изысканий. При необходимости в трудных условиях дополнительно следует выполнять инженерно-сейсмологические и другие виды изысканий.
5.5 Расчеты устойчивости насыпи из ППС блоков необходимо проводить для расчетных поперечных профилей. В качестве расчетных необходимо принимать поперечные профили с наиболее неблагоприятным сочетанием различных факторов, таких как высота и крутизна откоса, физико-механические характеристики грунтов основания, мощность и расположение слабых прослоек, наклон слоев, наличие выходящих на поверхность грунтовых вод или подтоплений и т.п.
5.6 При учете динамических нагрузок в расчетах прочности, устойчивости насыпи из ППС блоков необходимо руководствоваться нормативными нагрузками и расчетными схемами нагружения в соответствии с
ГОСТ 32960 с учетом динамического коэффициента.
5.7 При выполнении расчетов насыпей из ППС блоков на слабых основаниях требуется рассмотреть взаимодействие между тремя основными элементами насыпи: грунтом основания, ППС блоками и дорожной одеждой. При проектировании облегченных и комбинированных насыпей из ППС блоков на слабом основании необходимо выполнить проверку расчетом:
- величины конечной осадки насыпи;
- соответствия величины конечной осадки насыпи допустимым значениям (при наличии ограничивающих факторов, таких как, например, наличие под проектируемой насыпью подземных сооружений, чувствительных к осадке);
- несущей способности основания;
- внешней устойчивости основания и устойчивости внутренней насыпи;
- длительности завершения осадки насыпи;
- сопротивления насыпи гидростатическому всплытию с подбором необходимого пригруза;
- сопротивления насыпи сдвигу (опрокидыванию) от воздействия сейсмических нагрузок;
- сопротивления насыпи сдвигу (опрокидыванию) от воздействия ветровых нагрузок;
- несущей способности ППС блоков.
Общий алгоритм расчета насыпи из ППС блоков представлен на
рисунке 4.
Рисунок 4 - Общий алгоритм расчета насыпи из ППС блоков
5.8 Перед началом проектирования должны быть проведены оценка условий строительства и выбор поперечного профиля насыпи для предварительного расчета, а также должен быть осуществлен предварительный выбор типа ППС блоков по
ГОСТ Р 59171 и дорожной одежды.
При расчете необходимо оценить особенности района будущего строительства:
- генеральный план;
- ограничения по максимально возможным срокам строительства;
- ограничения по календарным дням строительства (например, невозможность работы в выходные или праздничные дни);
- наличие подъездных дорог с запрещенным движением построечного транспорта;
- ограничения по возможности размещения в полосе отвода постоянных или временных сооружений;
- наличие наземных и подземных сооружений (зданий, инженерных сетей и т.д.), в первую очередь тех, которые особенно чувствительны к осадке (например, газопроводы);
- прогнозируемый подъем воды при наводнении;
- при проектировании подхода к мостовому устою следует уточнить тип пролетного строения моста, характеристики переходной плиты (при применении) и специальные геотехнические требования, относящиеся к осадкам моста или переходной плиты.
5.9 Анализ исходных данных включает в себя:
- определение требуемых геометрических параметров насыпи: высота насыпи, заложение откосов, количество полос движения, ширина полос;
- оценка геотехнических характеристик участка строительства;
- определение основных расчетных нагрузок: напряжений от собственного веса, транспортных нагрузок, нагрузок от воздействия воды;
- оценка возможности разрушения от ветровой нагрузки;
- оценка возможности разрушения от сейсмических нагрузок.
5.10 Перед началом проектирования необходимо определить целесообразный тип поперечного сечения насыпи из ППС блоков в соответствии с
4.3 исходя из условий строительства. После выбора типа поперечного сечения необходимо осуществить предварительный выбор типа ППС блоков и выполнить предварительное проектирование дорожной одежды.
5.11 Методика расчета основана на подборе такой дорожной одежды, которая будет оказывать наименьшее давление на поверхность насыпи из ППС блоков, чтобы удовлетворить требованиям к внешней и внутренней устойчивости насыпи.
5.12 Расчетные нагрузки
При оценке устойчивости насыпи из ППС блоков на слабом основании необходимо учитывать, в первую очередь, напряжения от собственного веса, транспортные нагрузки и нагрузки от воздействия воды. При необходимости следует учесть воздействие сейсмических и ветровых нагрузок.
5.12.1 Напряжения от собственного веса. При расчете внешней и внутренней устойчивости принимают во внимание следующие постоянные нагрузки:
- вес дорожной одежды, включая вес распределительной плиты;
- вес грунтового покрытия откосов (для насыпи трапецеидальной формы) или вес элементов облицовки (для насыпи с вертикальными откосами);
- вес грунта, укладываемого на существующее основание под ППС блоками.
В случае проектного решения с укладкой ППС блоков в предварительно подготовленный котлован необходимо учесть это снижением нагрузки на подстилающие слои.
5.12.2 Транспортная нагрузка. Влияние транспортной нагрузки на прочность, устойчивость и деформативность насыпи из ППС блоков необходимо учитывать в виде дополнительной статической нагрузки на поверхности насыпи в соответствии с
ГОСТ 32960. При расчете необходимо принимать транспортную нагрузку с учетом динамического коэффициента
Kдин = 1,3.
5.12.3 Нагрузки от воздействия воды. Как правило, участки со слабыми грунтами характеризуются высоким уровнем грунтовых вод, в том числе выходящим над поверхностью земли.
В связи с этим в расчете необходимо учитывать максимальный уровень подъема воды, наблюдающийся за многолетний период.
В расчете следует рассматривать три проблемы, связанные с воздействием воды:
- увеличение общего объемного веса ППС блоков при насыщении водой;
- возможность гидростатического всплытия насыпи из ППС блоков при повышении уровня воды;
- возможность гидростатического сдвига слоев насыпи из ППС блоков вследствие неоднородности давления воды на откосы.
5.12.4 Сейсмическая нагрузка. Сейсмическая нагрузка может влиять на внешнюю и внутреннюю устойчивость насыпи из ППС блоков. Большинство принципов расчета статической и сейсмической внешней устойчивости одинаково как для насыпи из ППС блоков, так и для насыпей из обычных грунтов.
5.12.5 Ветровая нагрузка. Смещение насыпи из ППС блоков под воздействием ветровой нагрузки происходит по механизму потери внешней устойчивости, характерному для насыпей из ППС блоков, из-за низкой плотности ППС блоков. В первую очередь возможность данного механизма разрушения необходимо учитывать при проектировании насыпи с вертикальными откосами.
5.13 Расчет основания по несущей способности
Расчет основания по несущей способности необходимо выполнять в соответствии с нормативными документами. Пример расчета приведен в
А.1,
А.2 приложения А.
5.13.1 Расчет конечной величины осадки. Конечную осадку в пределах активной зоны рассчитывают в соответствии с нормативными документами.
Если в результате расчетов величина осадки превысит допустимое значение, необходимо принять меры по дополнительному снижению веса насыпи за счет частичной замены слабого грунта на ППС блоки.
Мощность слоя грунта, подлежащего замене, определяется из требуемого снижения вертикальных напряжений, которое позволит уменьшить осадки до требуемого значения.
При частичном удалении грунта основания необходимо выполнить уширение котлована с целью обеспечения устойчивости его стен.
Также при применении данного решения следует учесть необходимость устройства временного водоотвода или устройства пригруза ППС блоков во избежание вероятности гидростатического всплытия ППС блоков при относительно высоком уровне грунтовых вод или при накоплении поверхностных вод в котловане. Кроме того, частичное удаление грунта может оказаться нежелательным, если слабый грунт находится под слоем более прочного грунта.
Пример расчета приведен в
А.3 приложения А.
5.14 Оценка развития осадки во времени
Прогноз возрастания осадки во времени выполняют в рамках теории фильтрационной консолидации в соответствии с нормативными документами. Консолидирующаяся толща рассматривается как однородный слой с приведенным коэффициентом консолидации. Интенсивная часть осадки должна завершиться в процессе устройства дорожной одежды. За завершение интенсивной части осадки допускается принимать момент достижения 90%-ной консолидации основания или интенсивности осадки не более 2 см/год. Если данные условия не будут выполнены в процессе устройства дорожной одежды, необходимо применить метод ускорения консолидации с применением дополнительного пригруза.
Если условия строительства позволяют, можно снизить объем ППС блоков, приняв к разработке, например, комбинированную насыпь из традиционного грунта и ППС блоков. Пример расчета приведен в
А.4 приложения А.
5.15 Расчет несущей способности ППС блоков
5.15.1 Расчет несущей способности включает в себя подбор типа ППС блоков по
ГОСТ Р 59171, способного выдержать нагрузку от дорожной одежды и транспортные нагрузки без существенной деформации. В расчет принимается прочность при 1% деформации по ГОСТ Р 59171-2020
(таблица 1). В случае неправильного подбора блоков будет иметь место их деформация с дальнейшей просадкой дорожной одежды (см. рисунок 5).
Рисунок 5 - Деформация насыпи и дорожной одежды
5.15.2 Методику расчета несущей способности ППС блоков рекомендуется разделить на две части.
Первая часть заключается в определении напряжений от транспортных нагрузок и от собственного веса дорожной одежды, передающихся на верхнюю поверхность блоков, и в подборе типа ППС блоков по
ГОСТ Р 59171, который будет укладываться непосредственно под системой дорожной одежды.
Вторая часть заключается в определении напряжений от транспортных нагрузок и напряжений от собственного веса дорожной одежды, распространяющихся на различной глубине насыпи, и в выборе подходящих ППС блоков по
ГОСТ Р 59171 для укладки на этой глубине.
Основные подэтапы расчета:
1) оценка транспортных нагрузок;
2) учет динамического действия транспортной нагрузки;
3) оценка транспортных нагрузок на поверхности ППС блоков;
4) оценка напряжений от собственного веса на поверхности ППС блоков;
5) расчет общих напряжений на поверхности ППС блоков;
6) определение минимального требуемого предела упругости ППС блоков, расположенных под дорожной одеждой;
7) оценка транспортных нагрузок на различных глубинах насыпи из ППС блоков;
8) оценка напряжений от собственного веса на различных глубинах насыпи из ППС блоков;
9) расчет общих напряжений на различных глубинах насыпи из ППС блоков;
10) определение минимально требуемого предела упругости на различных глубинах.
5.15.3 При обустройстве распределительной плиты первые два слоя ППС блоков, расположенных непосредственно под распределительной плитой, следует принимать плотностью не менее 25 кг/м3. Последующие слои - плотностью от 15 до 25 кг/м3.
5.16 Расчет сопротивления насыпи гидростатическому всплытию
5.16.1 Расчет сопротивления гидростатическому всплытию насыпи с вертикальными откосами. Подбор пригруза
Насыпь с вертикальными откосами наименее устойчивая к всплытию, т.к. отсутствует дополнительный пригруз от грунтового покрытия откосов.
На
рисунке 6 показаны силы и давления, действующие на насыпь с вертикальными откосами высотой
H и шириной поверху
Lн. Рассматривают только статическое давление воды.
Pд.о - это вес дополнительного пригруза верха ППС блоков, необходимый для получения требуемого коэффициента запаса. Обычно данная величина включает в себя вес дорожной одежды и грунтового покрытия откосов насыпи. В случае насыпи с вертикальными откосами учитывается только дорожная одежда, толщину которой необходимо рассчитать. В расчет следует принять, что блоки уложены на поверхность грунта основания и всплытие будет происходить над поверхностью контакта, поэтому в дальнейшем расчете рассматривается только сама насыпь.
H - высота насыпи, м; h - уровень воды, м; Lн - ширина
насыпи, м; Pводы - подъемная сила воды, кН/м; Pд.о - вес
дорожной одежды, кН/м; PППС - вес насыпи из ППС блоков, кН/м
Рисунок 6 - Расчетная схема насыпи
Насыпь будет устойчивой по гидростатическому всплытию, если будет выполнено следующее условие:

(1)
где Pд.о - вес дорожной одежды, кН/м;
PППС - вес насыпи из ППС блоков, кН/м;
Pводы - подъемная сила воды, кН/м;
Kзап - коэффициент запаса по всплытию.
Дополнительная транспортная нагрузка не учитывается, т.к. она действует кратковременно и может отсутствовать в условиях гидростатического всплытия.
Ввиду того, что гидростатическое всплытие вызывается кратковременной нагрузкой, рекомендуется Kзап принимать равным 1,1. Таким образом, условие устойчивости по гидростатическому всплытию будет иметь следующий вид:

(2)
где hд.о min - минимальная требуемая толщина дорожной одежды, м;
Lн - ширина насыпи, м;

- объемный вес дорожной одежды, кН/м
3;
H - высота насыпи, м;

- объемный вес ППС блоков, кН/м
3;
h - уровень воды, м;

- объемный вес воды, кН/м
3.
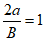
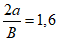
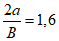
Таким образом, формула для определения минимальной требуемой толщины дорожной одежды будет следующей:

(3)
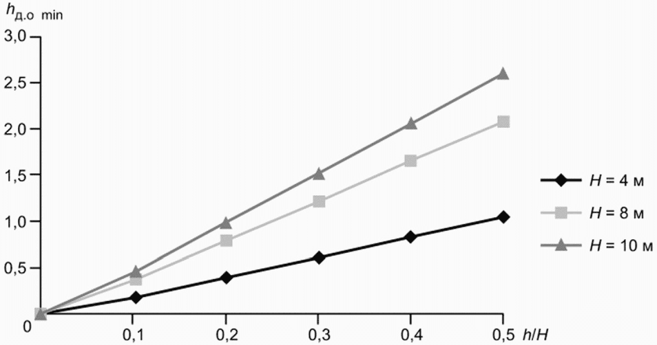
Расчетный график по гидростатическому всплытию насыпей различной высоты исходя из hд.о min, соответствующей коэффициенту запаса, равному 1,1, показан на рисунке 7.
Рисунок 7 - Графическая зависимость минимальной толщины
дорожной одежды hд.о min при коэффициенте запаса по всплытию
1,1 от отношения уровня воды к высоте насыпи h/H
5.16.2 Расчет сопротивления гидростатическому всплытию трапецеидальной насыпи. На
рисунке 8 представлена расчетная схема насыпи. На схеме обозначены силы и давления, действующие на трапецеидальную насыпь с крутизной откосов

, высотой
H и шириной поверху
Lн. Предполагается, что одинаковый уровень воды с обеих сторон насыпи является наихудшим сценарием, т.к. на уровне основания обеих сторон насыпи действует одинаковая гидростатическая подъемная сила. В расчет принимались только статические давления воды.
H - высота насыпи, м; h - уровень воды, м; Lн - ширина
насыпи поверху, м; Bн - ширина насыпи понизу, м;
Fводы - подъемная сила воды, кН/м; PППС - вес насыпи из ППС
блоков, кН/м; Pводы - удерживающая сила воды, действующая
на откосы, кН/м;

- угол заложения откоса, градусы;
Pводы - давление воды, оказываемое на основание
и поверхности откосов насыпи, кН
Рисунок 8 - Расчетная схема насыпи
Дополнительный пригруз верха ППС блоков Q, необходимый для получения требуемого коэффициента запаса, включает в себя вес дорожной одежды и грунтового покрытия откосов насыпи.
Необходимо учесть, что блоки уложены на поверхность грунта основания и всплытие будет происходить над поверхностью контакта, поэтому в дальнейшем расчете рекомендуется рассматривать только саму насыпь.
Насыпь будет устойчивой по гидростатическому всплытию, если будет выполнено следующее условие:

(4)
где PППС - вес насыпи из ППС блоков, кН/м;
Pводы - удерживающая сила воды, действующая на откосы, кН/м;
Q - вес дополнительного пригруза, кН/м;
Fводы - подъемная сила воды, кН/м;
Kзап - коэффициент запаса по всплытию.
Дополнительная транспортная нагрузка не учитывается, т.к. она действует кратковременно и может отсутствовать в условиях гидростатического всплытия.
Ввиду того, что гидростатическое всплытие вызывается кратковременной нагрузкой, рекомендуется Kзап принимать равным 1,1. Таким образом, условие устойчивости по гидростатическому всплытию будет иметь следующий вид:

(5)
где H - высота насыпи, м;
Lн - ширина насыпи поверху, м;
Bн - ширина насыпи понизу, м;

- объемный вес ППС блоков, кН/м
3;

- объемный вес воды, кН/м
3;
h - уровень воды, м;

- угол заложения откоса, градусы;
Q - вес дополнительного пригруза, кН/м.
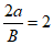
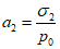
Таким образом, формула для определения минимально требуемого веса дополнительного пригруза будет следующей:

(6)
Поскольку для расчета изначально принимается, что насыпь сложена из ППС блоков на всю высоту, необходимо при окончательных расчетах уменьшить требуемый вес дорожной одежды на соответствующий вес ППС блоков.
В целях упрощения расчета далее приведены графические зависимости по гидростатическому всплытию насыпей различной высоты исходя из веса пригруза Q, соответствующего коэффициенту запаса, равному 1,1.
Значения
Q, указанные на
рисунках 9 -
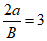
11, представляют собой требуемый вес материалов (кН), которые необходимо уложить на ППС блоки, приходящийся на погонный метр длины насыпи. Расчетные графики разработаны для насыпей со следующими характеристиками: ширина поверху 15, 28 и 36 м, заложение откосов 1:1,5; 1:1,75; 1:2 при трех параметрах высоты (4, 8 и 10 м).
Рисунок 9 - Расчетные графики гидростатического всплытия
насыпи с заложением откоса 1:1,5 при коэффициенте запаса
1,1, при трех вариантах ширины дороги
Рисунок 10 - Расчетные графики гидростатического всплытия
насыпи с заложением откоса 1:1,75 при коэффициенте запаса
1,1, при трех вариантах ширины дороги
Рисунок 11 - Расчетные графики гидростатического всплытия
насыпи с заложением откоса 1:2 при коэффициенте запаса 1,1,
при трех вариантах ширины дороги
Расчетные графики действительны только в пределах отношения уровня воды к высоте насыпи, равного 0,5, т.е. глубина воды ограничена 50% высоты насыпи, т.к. насыпь с более высоким уровнем накопленной воды является плотиной, для которой потребуется уложить на ППС блоки чрезмерно большой пригруз, чтобы обеспечить требуемый коэффициент запаса.
Для повышения коэффициента запаса по сопротивлению гидростатическому всплытию насыпи можно применить следующие методы:
1) при устройстве насыпи из ППС блоков увеличить толщину дорожной одежды, укладываемой на ППС блоки, тем самым повысив вес пригруза ППС блоков (если такой вариант допустим по критерию осадки);
2) для уменьшения вероятности скопления воды у подножия насыпи необходимо устроить систему водоотвода.
Пример расчета приведен в
А.5 приложения А.
5.17 Оценка сопротивления насыпи воздействию сейсмических нагрузок
Проектирование насыпи из ППС блоков в сейсмоопасных районах рекомендуется выполнять с учетом требований
СП 268.1325800.2016.
При устройстве насыпей на участках, сложенных илом, торфом, водонасыщенным рыхлым песком, текучепластичными глинистыми грунтами, должны быть рассмотрены варианты замены или укрепления слабых грунтов армированием нижних слоев насыпи геосинтетическим материалом во избежание их разжижения.
5.17.1 Типовые поперечные сечения насыпи с демонстрацией возможных видов разрушения под воздействием сейсмической нагрузки показаны на
рисунках 12 и
13.
I - поступательный сдвиг по поверхности контакта
между системой дорожной одежды и ППС блоков;
II - поступательный сдвиг смежных слоев ППС блоков;
III - поступательный сдвиг по поверхности контакта
ППС блоков и поверхности грунта основания
Рисунок 12 - Типовое поперечное сечение насыпи
трапецеидальной формы с учетом трех видов разрушения
I - поступательный сдвиг по поверхности контакта
между системой дорожной одежды и ППС;
II - поступательный сдвиг смежных слоев ППС блоков;
III - поступательный сдвиг по поверхности контакта
ППС блоков и поверхности грунта основания
Рисунок 13 - Типовое поперечное сечение насыпи
с вертикальными откосами с учетом трех видов разрушения
5.17.2 Оценка сопротивления ППС блоков воздействию ветровой нагрузки
Возможность потери устойчивости насыпи из ППС блоков под воздействием ветровой нагрузки необходимо рассматривать для насыпи с вертикальными откосами, т.к. при использовании такого проектного решения существует опасность опрокидывания всей насыпи относительно подошвы откоса по поверхности контакта насыпи из ППС блоков с грунтом основания.
Коэффициентом запаса по горизонтальному смещению всей насыпи от ветровых нагрузок является отношение сопротивления сдвигу по поверхности контакта между ППС блоками и грунтом основания к общей горизонтальной сдвигающей силе:

(7)
где c - сцепление по горизонтальной поверхности сдвига;
S - площадь рассматриваемой поверхности сдвига;

- сумма нормальных сил;

- сумма подъемных сил;

- угол трения на поверхности сдвига;

- сумма горизонтальных сил, определяемая как:

(8)
где Rн - сила с наветренной стороны;
Rп - сила с подветренной стороны.
Rн и
Rп необходимо принимать в соответствии с
СП 20.13330.2016 с учетом данных метеостанций, расположенных в зоне строительства.
Угол трения на поверхности сдвига

необходимо принимать на основании лабораторных исследований образцов блоков, предназначенных для укладки в насыпь.
В расчетах рекомендуется принимать требуемый коэффициент запаса по ветровому сдвигу 1,1, т.к. сдвиг от действия ветра вызывается временными нагрузками так же, как и в других случаях действия временных нагрузок, таких как сейсмические и гидростатические нагрузки.
Для повышения коэффициента запаса по сопротивлению горизонтальному сдвигу насыпи можно применить следующие методы:
- при устройстве насыпи из ПСС блоков увеличить толщину дорожной одежды, укладываемой на блоки, тем самым повысив вес пригруза ППС блоков (если такой вариант допустим по критерию осадки);
- применение системы анкеров для нижнего слоя ППС блоков, позволяющей сцепить блоки с грунтовым основанием насыпи.
5.18 Применение насыпей из ППС блоков в местах примыкания к мостовым устоям
Ввиду того, что ППС блоки по
ГОСТ Р 59171 имеют форму прямоугольных блоков, использование их в качестве обратной засыпки мостового устоя позволяет исключить боковое давление на устои (см.
рисунок 14), и расчет выполняют как в случае насыпи с вертикальными откосами.
1 - обратная засыпка грунтом; 2 - укрепление мостового устоя
ППС блоками; 3 - опоры моста; 4 - система дорожной одежды
Примечание - Стрелками показано распределение давления от грунта обратной засыпки и от ППС блоков на грунтовое основание и на мостовой устой.
Рисунок 14 - Схема распределения давлений
от грунтовой засыпки и заполнения из ППС блоков
6 Правила временного складирования, транспортирования, перемещения и защиты блоков от повреждений
6.1 Транспортирование и хранение ППС блоков проводят по
ГОСТ Р 59171.
6.2 Поверхность покрытия площадки складирования должна иметь уклон не более 5°, обеспечивающий сток воды.
6.3 Площадки складирования следует размещать не ближе 30 м от мест производства работ с использованием открытого пламени. На площадках складирования запрещается курение.
6.4 ППС блоки складируют в штабеля высотой до 5 м, шириной до 6 м. Нижний ряд блоков укладывают на подкладки из досок (не менее трех подкладок шириной не менее 20 см под каждым блоком).
6.5 Не допускается складирование (штабелирование) ППС блоков на строящейся насыпи. Блоки разных типов складируют отдельно.
6.6 При длительном хранении (более 1 мес) штабеля ППС блоков укрывают светонепроницаемым материалом для защиты от прямого солнечного излучения.
6.7 Для предотвращения смещения ППС блоков сильным ветром штабеля пригружают мешками с песком по
ГОСТ 8736.
6.8 На всех стадиях складирования, транспортирования и производства строительных работ следует:
- не применять методы складирования и перемещения блоков, а также оборудование и оснастку, которые могут вызвать повреждение блоков (образование вмятин, отверстий, обламывание кусков и т.п.);
- защищать блоки от контакта с органическими растворителями, такими как нефтепродукты (бензин, дизельное топливо и др.), и от воздействия открытого пламени.
6.9 Для транспортирования и подъема ППС блоков при их укладке могут быть применены конвейеры, подъемники и крановое оборудование при условии, что их применение не связано с движением этих машин по ППС блокам.
7 Правила подготовки основания под укладку ППС блоков
7.1 В случае частичного удаления грунта основания необходимо выполнить уширение котлована с целью обеспечения устойчивости его стен. При этом по
[2] следует учесть необходимость устройства временного водоотвода или устройства пригруза ППС блоков во избежание вероятности гидростатического всплытия ППС блоков при относительно высоком уровне грунтовых вод или при накоплении поверхностных вод в котловане.
7.2 В зоне укладки ППС блоков не допускаются застой воды, снежные и ледяные отложения.
7.3 При постройке насыпей на участках, сложенных илом, торфом, водонасыщенным рыхлым песком, текучепластичными глинистыми грунтами, должны быть рассмотрены варианты замены или укрепления слабых грунтов армированием нижних слоев насыпи геосинтетическим материалом по
ГОСТ Р 55028 во избежание их разжижения.
7.4 Для устройства выравнивающего слоя применяют песок с коэффициентом фильтрации не менее 1 м/сут по
ГОСТ 8736.
7.5 При укладке блоков на грунтовую насыпь грунт должен быть уплотнен до значения коэффициента уплотнения в соответствии с требованием проекта, но не менее 0,95.
7.6 Грунтовое основание должно быть спланировано под проектные отметки с допуском +/- 50 мм по
СП 78.13330.2012.
7.7 На подготовленную поверхность основания укладывают выравнивающий слой из неуплотненного песка по
ГОСТ 8736 толщиной 20 см, прослойку из нетканого геотекстиля и геомембрану по
ГОСТ Р 56586 толщиной 1,5 мм. Для удобства производства работ геосинтетические материалы по
ГОСТ Р 55028 могут быть уложены под выравнивающий слой.
7.8 Геомембрану укладывают путем соединения полиэтиленовых листов непрерывным сварным швом.
7.9 Поверхность выравнивающего слоя должна быть выровнена. Допускаемое отклонение от ровности при измерении трехметровой рейкой по
ГОСТ Р 56925 составляет +/- 10 мм.
7.10 Выравнивание песчаного слоя проводят вручную, например путем протаскивания тяжелой рейки или виброрейки по маячным брускам, установленным по проектным отметкам.
7.11 Выравнивание выполняют на захватках размером больше на 0,5 м в каждую сторону, чем необходимая ширина для укладки двух рядов блоков. Ширину блоков принимают по проекту.
7.12 В поперечном к оси дороги направлении поверхность выравнивающего слоя должна быть горизонтальной, в продольном направлении - должна иметь проектный уклон, в соответствии с рабочими чертежами.
8 Правила укладки ППС блоков
8.1 Укладку ППС блоков начинают после завершения следующих работ:
- устройства земляного полотна (подготовки грунтового основания) (см.
раздел 7);
- устройства выравнивающего слоя под укладку нижнего слоя блоков, проверки ровности и уклонов поверхности (см.
раздел 7);
- выноса оси дороги и установки вешек по контуру укладки блоков;
- закрепления на вешках отметки верха укладываемого слоя и натягивания шнуров-причалок.
8.2 Укладку ППС блоков проводят слоями согласно рабочим чертежам. Укладка блоков на мерзлые грунты допускается в случаях, предусмотренных проектом.
8.3 ППС блоки следует укладывать вручную.
8.4 ППС блоки в смежных слоях укладывают попеременно: длинной стороной перпендикулярно к оси дороги и длинной стороной параллельно оси дороги. Продольные оси блоков вышерасположенного слоя должны быть расположены под прямым углом к продольным осям блоков нижерасположенного слоя.
8.5 Длинные стороны верхнего слоя ППС блоков, расположенного под дорожной одеждой, должны быть перпендикулярными к оси насыпи.
8.6 Не допускается совпадение вертикальных швов между ППС блоками в смежных слоях. С этой целью блоки укладывают со смещением вертикальных швов в смежных слоях. Величина смещения вертикальных швов должна составлять не менее 300 мм.
8.7 Следует обеспечивать плотное прилегание укладываемых ППС блоков в вертикальных и горизонтальных швах. Ширина зазоров в вертикальных швах между ППС блоками не должна превышать 10 мм. При укладке блоков на горизонтальных кривых допускаются зазоры шириной до 20 мм, которые следует заполнять сухим песком по
ГОСТ 8736.
8.8 При укладке ППС блоков необходимо постоянно контролировать ровность поверхности каждого слоя. Отклонение от ровности при измерении трехметровой рейкой по
ГОСТ Р 56925 не должно превышать +/- 10 мм.
8.9 Отклонение верха насыпи, сложенной из ППС блоков, от проектной отметки не должно превышать +/- 50 мм.
8.10 Для обеспечения плотной подгонки ППС блоков к строительным конструкциям (дренажные колодцы, мостовые опоры, фундаменты элементов обустройства дороги и т.д.) и соблюдения требований к величине перевязки вертикальных швов блоки обрезают до нужных размера и формы.
8.11 ППС блоки некратного размера рекомендуется укладывать во внутренней (не в откосной) части насыпи.
8.12 Использование стружки, обломков, тонких пластин пенополистирола для подгонки блоков не допускается.
8.13 При подгонке блоков к строительным конструкциям размер зазоров не должен превышать 50 мм. Зазоры следует заполнять сухим песком по
ГОСТ 8736.
8.14 Обрезку ППС блоков проводят переносным резаком с режущим элементом в виде нагретой проволоки. Для обрезки блоков можно применять ручную или механическую пилу.
8.15 Поверхность уложенного слоя ППС блоков должна быть очищена от мусора перед укладкой следующего слоя. В зимний период после завершения смены верхний слой уложенных блоков укрывают защитной полиэтиленовой пленкой по
ГОСТ 10354 толщиной 200 мкм. Перед началом следующей смены защитная пленка и скопления снега и/или воды на ней (при их наличии) должны быть убраны.
8.16 Не допускается движение колесного, гусеничного и другого строительного оборудования непосредственно по поверхности блоков с давлением на поверхность блоков более 20 кПа.
8.17 Для предотвращения смещения ППС блоков в процессе строительства и повышения внутренней сейсмической устойчивости насыпей из ППС блоков в сейсмоопасных районах каждый блок вышерасположенного слоя крепят к блокам нижерасположенного слоя двумя крепежными элементами. Конкретное место размещения крепежных элементов не нормируется.
Крепежный элемент изготовляют из стальных полос толщиной 1,35 мм по
ГОСТ 4041 методом холодной штамповки. Общий вид и размеры крепежного элемента показаны в
приложении Б. В качестве крепежного элемента могут применяться двухсторонние зубчатые шпонки типов С1, С5, С6, С8 по
ГОСТ Р 58960.
8.18 Для предотвращения смещения ППС блоков сильным ветром поверхность блоков, уложенных в насыпь, может быть временно пригружена. Для временного пригружения применяют мешки с песком по
ГОСТ 8736 весом не более 15 кг. Не допускается временное пригружение укладкой или штабелированием строительных материалов на строящейся насыпи.
9 Правила устройства бетонной распределительной плиты
9.2 Толщину бетонной распределительной плиты и характеристики бетона определяют проектом с учетом
4.9.
9.3 Бетонная распределительная плита устраивается бесшовной (за исключением рабочих швов).
9.4 Для уменьшения трещинообразования вследствие усадки распределительная плита армируется сварной металлической сеткой из арматуры класса А1 по
ГОСТ 5781,
ГОСТ 8478. Размер ячейки, класс и диаметр арматуры определяются проектом.
9.5 Отдельные полотнища сетки (в том числе в рабочих швах) соединяются нахлестом, равным 200 мм. Не допускается соединение арматурных сеток сваркой.
9.6 Арматурную сетку размещают в нейтральной зоне (посередине толщины) плиты.
9.7 Для фиксации арматурной сетки в проектном положении используют бетонные или металлические подкладки.
9.8 Бетонирование следует проводить на полную ширину плиты захватками возможно большей площади.
9.9 В конце каждой захватки или при вынужденных длительных перерывах в укладке бетона следует устраивать поперечные рабочие швы. Соединение арматурных сеток в рабочих швах следует проводить нахлестом вновь укладываемой сетки на выпуски сетки из рабочего шва (см.
9.5).
9.10 До начала работ по устройству бетонной распределительной плиты поверхность ППС блоков должна быть тщательно очищена и высушена. Для предупреждения проникания цементного раствора в швы между блоками необходимо закрыть швы (например, клейкой лентой и др.).
9.11 Подачу бетона к месту укладки проводят автокраном в бадьях или установкой с бетонораздаточной стрелой.
9.12 Распределение и выравнивание поверхности бетонной смеси проводят вручную.
9.13 Не допускается движение колесного, гусеничного и другого оборудования непосредственно по поверхности распределительной плиты.
9.14 Крепление силовых ограждений, опор дорожных знаков, мачт наружного освещения и других систем обустройства проводят к распределительной плите.
10 Правила устройства дорожной одежды
10.2 К устройству несвязных слоев дорожной одежды допускается приступать после достижения не менее 70%-ной проектной прочности распределительной плиты.
10.3 Работы по устройству несвязных слоев дорожной одежды следует проводить методом "от себя", послойно, путем отсыпки на бетонную плиту слоя материала толщиной 20 - 25 см легким ковшовым погрузчиком или надвижкой передним отвалом легкого автогрейдера.
10.4 Тип и размер строительного оборудования, применяемого для устройства дорожной одежды, должны быть ограничены величиной колесных, гусеничных нагрузок и нагрузок от катков, при которых дополнительные напряжения на поверхность блоков не превышают предела упругости ППС блоков по
ГОСТ Р 59171.
10.5 Катки, применяемые для уплотнения слоев дорожной одежды, не должны создавать нагрузки, превышающие 60 кН/м.
10.6 Уплотнение материала несвязных слоев дорожной одежды рекомендуется проводить виброплитами или статическими катками, удовлетворяющими требованиям
10.4 и
10.5.
11 Правила устройства откосов
11.1 Крутизну откосов назначают с учетом требований
ГОСТ 33149.
11.2 Геокомпозит для защиты откосов выполняют в виде геомембраны по
ГОСТ Р 56586 толщиной 0,3 мм, покрытой с двух сторон геотекстилем с поверхностной плотностью не менее 300 г/м
2. Не допускается применение мембран из поливинилхлорида (ПВХ).
11.3 Рулоны геокомпозита укладывают с нахлестом не менее 0,5 м.
11.4 Место соединения геокомпозита с бетонной распределительной плитой должно быть гидроизолировано. Мероприятия по гидроизоляции определяются проектом.
11.5 Полотно следует свободно (без натяжения) укладывать на ступенчатую поверхность откосов.
11.6 При сквозном повреждении полотна при его укладке, а также при засыпке грунта на откос или при планировании поврежденный участок необходимо заклеить заплатой из того же полотна путем ее припаивания.
11.7 Для предотвращения сползания полотна по откосу при засыпке грунтом рекомендуется пригрузить его мешками с песком.
11.8 Для засыпки боковых откосов применяют грунты с учетом требований
СП 78.13330.2012 и
[3]. Толщина засыпки - не менее 0,5 м. Коэффициент уплотнения - не менее 0,95.
11.9 Выгрузку, разравнивание и уплотнение грунта необходимо проводить с обеих сторон насыпи из ППС блоков одновременно, чтобы исключить сдвиг ППС блоков.
11.10 Вертикальные откосы из ППС блоков должны быть защищены сборными железобетонными панелями, гофрированной сталью и другими материалами с учетом
[3].
12 Правила приемки, методы контроля и оценки соответствия
12.1 Контроль качества работ при устройстве насыпей из ППС блоков включает:
- входной контроль качества материалов и операционный контроль качества работ на всех технологических этапах устройства насыпи и ее элементов по
12.2;
- наблюдение за деформациями насыпи и слабого основания в период строительства и после возведения насыпи по
12.5 -
12.17 и
[2].
12.2 Входной контроль ППС блоков проводят в соответствии с
ГОСТ Р 59171.
12.3 Строительный контроль при выполнении работ по устройству насыпей из ППС блоков осуществляют в соответствии с
ГОСТ Р 58397.
12.4 Содержание операционного контроля качества при укладке ППС блоков представлено в таблице 1.
Таблица 1
Операционный контроль качества работ при укладке блоков
Элемент контроля | Требование |
Состав контроля (контролируемые параметры) | Ровность укладки. Величина перекрытия швов. Плотность укладки. Наличие крепления. Проектное положение |
Средства контроля | Шнур-причалка. Визуально |
Периодичность контроля | После укладки каждого слоя |
12.5 В течение срока строительства подрядчик должен контролировать величину осадки насыпи из ППС блоков и ее затухание во времени. Величину осадки измеряют еженедельно.
12.6 Для мониторинга за величиной осадки облегченной или комбинированной насыпи из ППС блоков и затуханием ее во времени напряженно-деформированным состоянием системы "насыпь-основание" проводят установку контрольно-измерительной аппаратуры.
12.7 Поперечники для контроля осадок размещают на пикетах, указанных проектной организацией.
12.8 На поперечнике оборудуют три пункта контрольно-измерительной аппаратуры: один - на оси полотна и два боковых - на расстоянии 1 м от бровки насыпи. Контрольно-измерительная аппаратура пункта включает два пьезометра и три осадочные марки.
12.9 Осадочные марки устанавливают на поверхности основания, под подошвой и на поверхности массива блоков в процессе отсыпки насыпи. Плановое и высотное положения осадочных марок фиксируют геодезическими приборами.
12.10 Для измерения осадок устанавливают осадочные марки (см.
рисунок 15).
1 - соединительная муфта; 2 - секции
а - Схема установки марок
1 - резьба для муфтового соединения; 2 - стальная труба
диаметром 50 мм; 3 - стальной лист толщиной 5 мм
б - Нижняя секция марки
Рисунок 15 - Схема установки осадочных марок
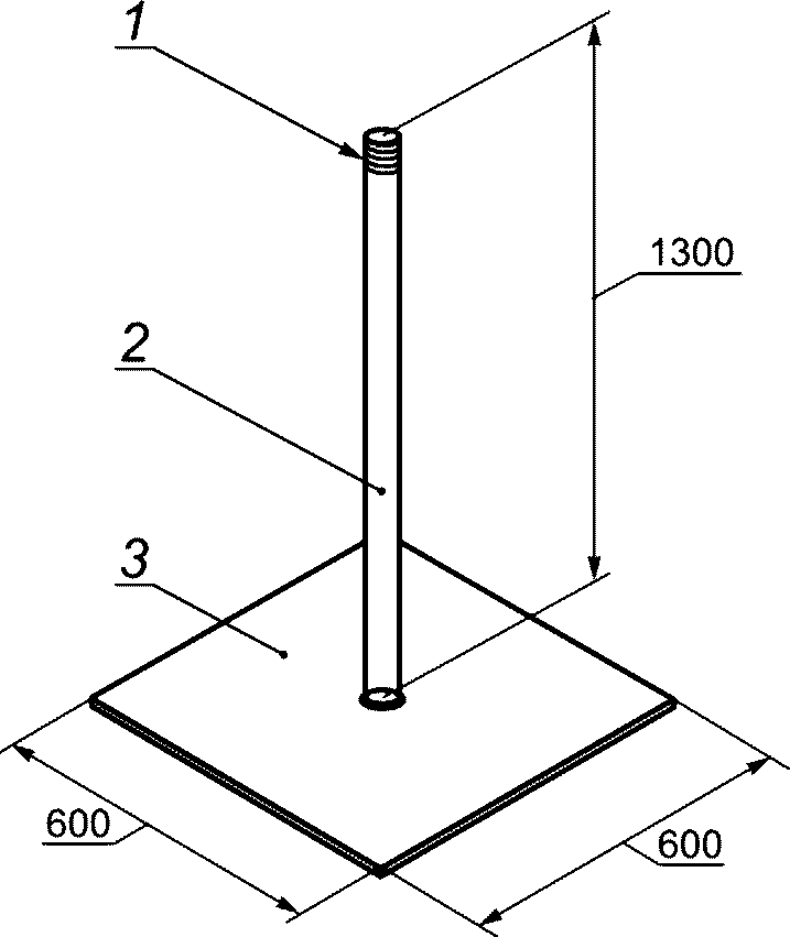
Места установки осадочных марок должны быть указаны в проекте. Осадочные марки изготовляют из стальной трубы диаметром 50 мм, разрезанной на секции длиной 1300 мм. Конструкция осадочной марки состоит из стальной плиты размером не менее 0,5 x 0,5 м и толщиной 5 мм.
12.11 Нижнюю секцию осадочной марки устанавливают на поверхности основания насыпи. Секции наращивают по мере укладки ППС блоков путем свинчивания муфтовых соединений. К нижней поверхности стального листа приваривают заостренный штырь длиной 300 мм, диаметром 20 мм (на
рисунке 15 не показан) для фиксирования в основании насыпи.
12.12 Конструкция осадочной марки должна позволять снимать высотные отметки после укладки дорожной конструкции, устраиваемой над бетонной плитой.
12.13 По окончании строительства осадочные марки и копию журнала контроля осадок передают проектной организации для продолжения измерений.
12.14 В местах размещения марок устанавливают хорошо заметное ограждение, чтобы исключить случайное повреждение марок.
12.15 Контроль горизонтальных смещений насыпи и выявление выпора грунта слабого основания осуществляют по боковым и дополнительным осадочным маркам, установленным на поперечнике в одном створе. Дополнительные марки устанавливают на контрольном поперечнике на расстоянии от 3 до 5 м от подошвы насыпи.
12.16 Измерения горизонтальных смещений ведут теодолитной съемкой по
[2].
12.17 Периодичность наблюдений:
- в период устройства насыпи - ежедневно;
- в течение трех месяцев после полного возведения насыпи - еженедельно;
- до сдачи дороги в эксплуатацию - два раза в месяц;
- при необходимости в процессе эксплуатации дороги - первый год.
13 Требования к ремонту и содержанию
Капитальный ремонт и ремонт облегченных и комбинированных насыпей и сооружений на слабых грунтах с использованием ППС блоков осуществляют в соответствии с нормативными документами.
14 Требования безопасности и охраны окружающей среды
14.1 При проведении работ по устройству облегченных и комбинированных насыпей с использованием ППС блоков необходимо соблюдать требования
ГОСТ Р 58397,
ГОСТ 32867, а также руководствоваться типовыми инструкциями по охране труда.
14.2 При устройстве облегченных и комбинированных насыпей земляного полотна автомобильных дорог блоками из ППС следует соблюдать требования
[4],
[5].
14.3 При выполнении работ по устройству облегченных и комбинированных насыпей из ППС блоков должны соблюдаться требования по защите окружающей среды в соответствии с нормативными документами.
14.4 Не допускается применение антигололедных материалов, способных вызвать повреждение геокомпозита и деградацию пенополистирола.
14.5 При аварийном разливе нефтепродуктов на участке с насыпями из ППС блоков необходимо выполнить неотложные меры и мероприятия по
[6],
[7] в соответствии с планом, разработанным и согласованным по
[8].
(рекомендуемое)
ПРИМЕРЫ РАСЧЕТОВ ОБЛЕГЧЕННОЙ НАСЫПИ
С ИСПОЛЬЗОВАНИЕМ ППС БЛОКОВ
А.1 Оценка устойчивости слабого основания насыпи
- расчетная высота hн = 8 м;
- ширина по верху B = 12 м;
- заложение откосов m = 1:1,5;
- половина ширины основания b = 18 м;
- глубина рассматриваемого горизонта от поверхности земли z, м;
- мощность соответствующего слоя основания h1 = 12 м (для текучего тиксотропного суглинка), h2 = 6 м (для пылеватой пластичной супеси), h3 = 6 м (для мягкопластичного тиксотропного суглинка).
1 - слой тиксотропного текучего суглинка; 2 - слой
пластичной пылеватой супеси; 3 - слой тиксотропного
мягкопластичного суглинка; 4 - слой несжимаемой породы
Рисунок А.1 - Расчетная схема насыпи и основания
В том числе:
- удельный вес грунта насыпи

;
- тип дорожного покрытия - капитальный;
- горизонт грунтовых вод совпадает с поверхностью земли;
Рисунок А.2 - Компрессионная кривая
тиксотропного текучего суглинка
Рисунок А.3 - Компрессионная кривая
пластичной пылеватой супеси
Рисунок А.4 - Компрессионная кривая
тиксотропного мягкопластичного суглинка
Физико-механические характеристики грунтов основания представлены в таблице А.1.
Таблица А.1
Физико-механические характеристики грунтов основания
Наименование грунта | Геологический индекс | Удельный вес частиц грунта  , кН/м 3 | Плотность грунта  , г/см 3 | Коэффициент пористости e | Природная влажность W, % | Прочностные характеристики | Модуль деформации E, МПа (кгс/см2) | Коэффициент консолидации Cu, см2 /год |
Угол внутреннего трения  , градусы | Сцепление c, кПа |
1 Тиксотропные текучие суглинки | lg III | 27,2 | 1,91 | 0,89 | 33 | 5 | 7 | 5 (50) | 90,0·104 при нагрузке 0,05 МПа |
2 Пластичные пылеватые супеси | lg III | 27 | 2,01 | 0,58 | 22 | 20 | 15 | 11 (110) | - |
3 Тиксотропные мягкопластичные суглинки | lg III | 27 | 1,95 | 0,70 | 27 | 15 | 15 | 9 (90) | - |
Устойчивость (несущую способность) слабого основания насыпи оценивают по величине коэффициента безопасности Kбез по формуле

(А.1)
где Pбез - безопасная нагрузка на основание насыпи, МПа;
Pрасч - расчетная нагрузка на основание насыпи, МПа.
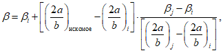
Безопасную нагрузку на основание насыпи Pбез, МПа, определяют по зависимости

(А.2)
где c - сцепление внутреннего трения грунта основания при его природной плотности-влажности;

- средневзвешенный удельный вес грунтов основания (при необходимости с учетом взвешивания), расположенных выше горизонта
z;
z - глубина рассматриваемого горизонта от поверхности земли;

- угол внутреннего трения грунта основания при его природной плотности-влажности;

- функция, зависящая от

, размеров эпюры нагрузки

и относительной глубины

, определяемая по графикам для определения значения

(см.
приложение В).
Определяют безопасную нагрузку на основание насыпи. Для этого с определенным шагом по z рассчитывают Pбез.
А.1.1 Определяют Pбез для слоя тиксотропного текучего суглинка мощностью h1 = 12 м. Назначают шаг по z, равный 2 м.
Для установления функции необходимо рассчитать параметры размеров эпюры нагрузки и относительной глубины насыпи, соответственно

и

.
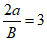
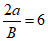
Длину откоса насыпи a, м, рассчитывают по формуле
a = hн·m. (А.3)
При высоте насыпи hн = 8 м и заложении откосов m = 1:1,5, a = hн·m = 8·1,5 = 12 м.
Тогда, с учетом того, что B = 12 м, размеры эпюры нагрузки:

(А.4)
Также из
таблицы А.1 устанавливают необходимые для расчета значения угла внутреннего трения

и сцепления грунта
c, соответствующие природной влажности:
c = 7 кПа = 0,007 МПа. (А.5)
| | ИС МЕГАНОРМ: примечание. Текст дан в соответствии с официальным текстом документа. | |
При
z = 0 м, учитывая, что половина ширины основания насыпи
b = 18 м, относительная глубина насыпи

.
По графикам
приложения В, соответствующим вышеуказанным параметрам (см.
рисунок В.17 б), устанавливают, что

, следовательно,
Pбез в соответствии с
формулой (А.2) стремится к максимальному значению.
При
z = 2 м,

Определяют значение функции

при

.
Из
формулы (А.4) известно, что

. Однако графики для определения значения функции

при известных

и

приведены для значений

и

(см.
рисунок В.17 б, кривые 2 и 3 соответственно).
В этой связи, находят по графику значение

при

и при

, а затем методом интерполяции определяют значение

при

.
При

,

, при

,

, интерполируя значения

при

и

находят, что при

,

.
Определяют средневзвешенный удельный вес грунта

(кН/м
3), расположенного выше горизонта
z. Для грунтов, залегающих ниже уровня грунтовых вод, удельный вес
i-го слоя грунта основания устанавливают с учетом взвешивающего действия воды по формуле

(А.6)
где

- удельный вес частиц грунта
i-го слоя, кН/м
3;
- удельный вес воды, кН/м
3;
ei - коэффициент пористости грунта i-го слоя.
Горизонт грунтовых вод совпадает с поверхностью земли. В этой связи вычисляют удельный вес слоя тиксотропного текучего суглинка с учетом взвешивающего действия воды, подставляя в
формулу (А.6) значения удельного веса частиц грунта

и коэффициента пористости
ei, установленные из
таблицы А.1:

(А.7)
Тогда средневзвешенный удельный вес грунта с учетом взвешивающего действия воды:

(А.8)

(А.9)

(А.10)

(А.11)
Подставляя полученные значения в
формулу (А.2), находят безопасную нагрузку
Pбез, МПа:

(А.12)
При z = 6 м:

(А.13)
При z = 8 м:

(А.14)
При z = 10 м:

(А.15)
При z = 12 м:

(А.16)
А.1.2 Определяют Pбез для слоя пластичной пылеватой супеси мощностью h2 = 6 м.
Назначают шаг по z, равный 2 м.
Из
таблицы А.1 устанавливают необходимые для расчета значения угла внутреннего трения

и сцепления грунта
c, соответствующие природной влажности:
c = 15 кПа = 0,015 МПа. (А.17)
При z = 12 м:

(А.18)
При z = 14 м:

(А.19)
Удельный вес пластичной пылеватой супеси

, кН/м
3, с учетом взвешивающего действия воды определяют, подставляя в
формулу (А.6) значения удельного веса частиц грунта

и коэффициента пористости
e2, установленные из
таблицы А.1:

(А.20)
Средневзвешенный удельный вес грунта

, кН/м
3, расположенного выше горизонта
z, с учетом взвешивания определяют по формуле

(А.21)
Рассчитывают безопасную нагрузку
Pбез, МПа, подставляя полученные значения в
формулу (А.2):

(А.22)
При z = 16 м:

(А.23)
При z = 18 м:

(А.24)
А.1.3 Определяют Pбез для слоя тиксотропного мягкопластичного суглинка мощностью h3 = 6 м.
Назначают шаг по z, равный 2 м.
Из
таблицы А.1 устанавливают необходимые для расчета значения угла внутреннего трения

и сцепления грунта
c, соответствующие природной влажности:
c = 15 кПа = 0,015 МПа. (А.25)
При z = 18 м:

(А.26)
При z = 20 м:

(А.27)
Удельный вес тиксотропного мягкопластичного суглинка

, кН/м
3, с учетом взвешивающего действия воды определяют, подставляя в
формулу (А.6) значения удельного веса частиц грунта

и коэффициента пористости
e3, установленные из
таблицы А.1:

(А.28)
Средневзвешенный удельный вес грунта

, кН/м
3, расположенного выше горизонта
z, с учетом взвешивания определяют согласно формуле

(А.29)
Рассчитывают безопасную нагрузку
Pбез, МПа, подставляя полученные значения в
формулу (А.2):

(А.30)
При z = 22 м:

(А.31)
При z = 24 м

(А.32)
А.1.4 Минимальное значение безопасной нагрузки на основание насыпи:
Pбез = 51 кН/м2 = 0,051 МПа. (А.33)
Расчетная нагрузка от насыпи составит:

(А.34)

(А.35)
| | ИС МЕГАНОРМ: примечание. Текст дан в соответствии с официальным текстом документа. | |
Из
формулы (А.34) видно, что коэффициент безопасности
Kбез < 1. Устойчивость слабого основания насыпи не обеспечена.
Для обеспечения устойчивости основания необходимо применить легкую насыпь, содержащую слой из ППС блоков.
А.2 Расчет легкой насыпи, содержащей слой из ППС блоков, для обеспечения устойчивости основания
Когда легкую насыпь применяют для обеспечения устойчивости основания, необходимо соблюдение равенства действующей расчетной нагрузки от насыпи безопасной нагрузки на основание Pрасч = Pбез.
Необходимую толщину слоя из ППС блоков по оси насыпи рассчитывают по формуле

(А.36)
где

- удельный вес грунта верхней части насыпи;
Hгр2 - толщина слоя грунта в нижней части насыпи, м;

- удельный вес грунта нижней части насыпи;

- удельный вес ППС блоков, кН/м
3.
В нижней части насыпи предусматривают слой из дренирующих грунтов толщиной 0,5 м, т.е. Hгр2 = 0,5 м.
При удельном весе ППС блоков

получают толщину слоя:

(А.37)
По технологическим соображениям принимают HППС = 5,6 м.
Назначают ширину слоя из ППС блоков в верхней части bППС = 12 м.
Откосы слоя из ППС блоков устраивают уступами, ширину и высоту которых принимают 0,9 и 0,6 м.
Ширина слоя из блоков по низу составляет 27 м.
Толщина слоя грунта в верхней части насыпи (над блоками) Hгр1 = 1,9 м обеспечивает размещение дорожной одежды.
Конструкция легкой насыпи, содержащей слой из ППС блоков, без учета осадки приведена на рисунке А.5.
Рисунок А.5 - Поперечный профиль легкой насыпи, содержащей
слой из ППС блоков
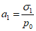
А.3 Определение конечной величины осадки основания
Исходя из условий одномерной задачи конечную величину осадки основания в пределах сжимаемой толщи Sкон определяют методом послойного суммирования по зависимости

(А.38)
где 0,001 - переводной коэффициент;
n - количество слоев, однородных по напряженно-деформированному состоянию;
epzi - модуль осадки грунта
i-го слоя, устанавливаемый по компрессионной кривой при нагрузке, равной вертикальному нормальному напряжению для середины данного слоя от веса легкой насыпи

, мм/м;
hi - мощность i-го слоя основания, м.
Найдем сжимаемую толщу основания.
Расчетную нагрузку от легкой насыпи, содержащей слой из ППС блоков, на основание вычисляют по формуле

(А.39)
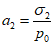
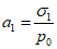
Определяют вертикальные нормальные напряжения в основании от веса легкой насыпи для осевого створа:

(А.40)
где

- вертикальные нормальные напряжения в основании насыпи, МПа;
p0 - вес легкой насыпи, МПа.
При z = 12 м,

и

.
По графикам
приложения В, интерполируя значения
a1, при

,
a1 = 0,76 и

,
a1 = 0,85 устанавливают для

:

(А.41)
Различие напряжений на нижней и верхней границах слоя составляет 20%, поэтому слой является неоднородным по напряженному состоянию. Необходимо разделить слой на подслои.
При
z = 8 м,

и

по графикам
приложения В интерполяцией определяют:

(А.42)
Различие напряжений на нижней и верхней границах слоя составляет 10%, слой является однородным по напряженному состоянию.
При
z = 18 м,

и

и интерполяцией определяют:

(А.43)
Различие напряжений на нижней и верхней границах слоя составляет 16%, слой является неоднородным по напряженному состоянию. Разделяют слой на подслои.
При
z = 15 м,

и

интерполяцией определяют:

(А.44)
Различие напряжений на нижней и верхней границах слоя менее 10%, слой является однородным по напряженному состоянию.
При
z = 24 м,

и

и интерполяцией определяют:

(А.45)
Различие напряжений на нижней и верхней границе слоя составляет 10%, слой является однородным по напряженному состоянию.
Строят эпюру вертикальных нормальных напряжений от веса легкой насыпи по глубине (см.
рисунок А.6).
Рисунок А.6 - Эпюры вертикальных нормальных напряжений
Вычисляют вертикальные нормальные напряжения от собственного веса грунта по глубине по зависимости

(А.46)
где

- удельный вес
i-го слоя грунта основания.
Удельный вес грунтов, залегающих ниже уровня грунтовых вод, устанавливают с учетом взвешивающего действия воды.
Определяют нормальное напряжение от собственного веса грунта на глубине z = 12 м:

(А.47)
Нормальное напряжение от собственного веса грунта на глубине z = 18 м, если h2 = 6 м:

(А.48)
Нормальное напряжение от собственного веса грунта на глубине z = 24 м, если h2 = 6 м:

(А.49)
Строят эпюру вертикальных нормальных напряжений от собственного веса грунта по глубине (см.
рисунок А.6).
Строят эпюру 10% (для грунтов модуль деформации E <= 5 МПа) и 20% (E > 5 МПа) напряжений от собственного веса грунта по глубине. Эпюра 20% напряжений от собственного веса грунта по глубине пересекает эпюру напряжений в основании от веса легкой насыпи на глубине 17 м, поэтому мощность сжимаемой толщи основания Hс = 17 м.
Определяют конечную осадку слоя тиксотропного текучего суглинка.
По компрессионной кривой тиксотропного текучего суглинка (см.
рисунок А.2) при нагрузке

устанавливают модуль осадки
epz1.1 = 18 мм/м.
Осадка первого подслоя мощностью h1.1 = 8 м равна:
S1.1 = 0,001·18·8 = 0,144 м. (А.50)
Для второго подслоя мощностью
h1.2 = 4 м при нагрузке

модуль осадки равен
epz1.2 = 16 мм/м, а осадка равна:
S1.2 = 0,001·16·4 = 0,064 м. (А.51)
Определяют величину осадки для слоя пластичной пылеватой супеси.
По компрессионной кривой пластичной пылеватой супеси грунта (см.
рисунок А.3) при нагрузке

находят значение модуля осадки
epz2.1 = 9 мм/м.
Осадка подслоя толщиной h2.1 = 3 м равна:
S2.1 = 0,001·9·3 = 0,027 м. (А.52)
Для подслоя мощностью
h2.2 = 2 м при нагрузке

модуль осадки
epz2.2 = 8 мм/м, осадка равна:
S2.2 = 0,001·8·2 = 0,016 м. (А.53)
Определяют конечную осадку сжимаемой толщи основания суммированием осадок слоев:

(А.54)
Величина конечной осадки сжимаемой толщи не превышает 10% от высоты насыпи, поэтому вес просевшей части насыпи при определении напряженно-деформированного состояния основания не учитывают. Конструкция легкой насыпи, содержащей слой из ППС блоков, с учетом конечной осадки представлена на рисунке А.7.
Рисунок А.7 - Конструкция легкой насыпи, содержащей слой
из ППС блоков, на расчетном поперечнике
А.4 Прогноз осадки насыпи на слабом основании во времени
При неполном объеме испытаний слабых грунтов на консолидацию время достижения интенсивной части осадки реальным слоем рассчитывают по формуле теории фильтрационной консолидации (при степени консолидации U = 85% или U = 90% в зависимости от типа дорожного покрытия):

(А.55)
где TU - время достижения заданной степени консолидации слоем слабого грунта при расчетной нагрузке, год;
NU - коэффициент, зависящий от степени консолидации;
Hф - путь фильтрации отжимаемой воды из слоя, см;
CU - коэффициент консолидации при U = 50%, см2/год.
Слой тиксотропного текучего суглинка мощностью 12 м обладает самым длительным сроком завершения осадки при наибольшей ее величине, поэтому прогноз осадки основания во времени проводят по этому слою. Коэффициент консолидации по
таблице А.1:
CU = 90,0·104 см2/год. (А.56)
Рассчитают время достижения степени консолидации
U = 90% (тип дорожного покрытия - капитальное) слоем тиксотропного текучего суглинка при одностороннем дренировании
Hф = 1200 см. Для степени консолидации
U = 90% коэффициент
NU = 0,85
[2]. Подставляя полученные значения в
формулу (А.55), получают:

(А.57)
А.5 Пример расчета сопротивления гидростатическому всплытию. Подбор требуемого веса пригруза
Исходные данные для расчетов:
- объемный вес ППС блоков:

;
- высота насыпи H = 6 м;
- заложение откосов 1:1,75;
- ширина насыпи поверху Lн = 28 м;
- ширина насыпи понизу Bн = 49 м;
- уровень воды h = 1 м.
Условие устойчивости по гидростатическому всплытию:

(А.58)
Минимально требуемый вес дополнительного пригруза Q:

(А.59)
(справочное)
ОБЩИЙ ВИД И РАЗМЕРЫ КРЕПЕЖНОГО ЭЛЕМЕНТА
ДЛЯ СКРЕПЛЕНИЯ БЛОКОВ ПО СЛОЯМ
Рисунок Б.1 - Крепежный элемент
(справочное)
ГРАФИКИ ДЛЯ ОПРЕДЕЛЕНИЯ НАПРЯЖЕНИЙ
В ОСНОВАНИИ НАСЫПИ И ФУНКЦИИ 
Для расчетной схемы на рисунке В.1 с использованием графиков (см.
рисунки В.2 -
В.15) можно определить величину большего и меньшего главных нормальных напряжений, возникающих в любой точке основания от нагрузки, распределенной на поверхности по закону равнобокой трапеции.
Рисунок В.1 - Расчетная схема
Рисунок В.2 - Графики значений при

при

Рисунок В.3 - Графики значений при

при

Рисунок В.4 - Графики значений при

при

Рисунок В.5 - Графики значений при

при

Рисунок В.6 - Графики значений при

при

| | ИС МЕГАНОРМ: примечание. Текст дан в соответствии с официальным текстом документа. | |
Рисунок В.7 - Графики значений при

при

Рисунок В.8 - Графики значений при

при

Рисунок В.9 - Графики значений при

при

Рисунок В.10 - Графики значений при

при

Рисунок В.11 - Графики значений при

при

Рисунок В.12 - Графики значений при

при

Рисунок В.13 - Графики значений при

при

Рисунок В.14 - Графики значений при

при

Рисунок В.15 - Графики значений при

при

Для точки с относительными координатами

и

(
z и
x - вертикальная и горизонтальная координаты точки в абсолютных единицах) - при заданном очертании эпюры нагрузки

с использованием графиков устанавливают значения главных напряжений

и

в долях от нагрузки на поверхности
p0:

(В.1)
Значения a1 и a2 определяют непосредственно по изолиниям или интерполяцией.
| | ИС МЕГАНОРМ: примечание. В официальном тексте документа, видимо, допущена опечатка: рисунок Б.17 отсутствует, Возможно, имеется в виду рисунок В.17. | |
Для расчетной схемы по рисунку В.16 значения функции

показаны на
рисунке Б.17.
Рисунок В.16 - Расчетная схема
а - при

;
б - при

;
в - при

;
г - при

;
д - при

;
е - при

;
1 - при

;
2 - при

;
3 - при

;
4 - при

;
5 - при

Рисунок В.17 - Графики для определения значения функции

| Технический регламент Таможенного союза ТР ТС 014/2011 Безопасность автомобильных дорог |
| Пособие по проектированию земляного полотна автомобильных дорог на слабых грунтах (введено в действие распоряжением Минтранса России N ОС-1067-р от 3 декабря 2003 г.) |
| ОДМ 218.2.078-2016 Типовые конструкции укрепления откосов земляного полотна автомобильных дорог общего пользования |
| Строительные нормы и правила 12-03-2001 Безопасность труда в строительстве. Часть 1. Общие требования |
| Строительные нормы и правила 12-04-2002 Безопасность труда в строительстве. Часть 2. Строительное производство |
| Постановление Правительства Российской Федерации от 21 августа 2000 г. N 613 О неотложных мерах по предупреждению и ликвидации аварийных разливов нефти и нефтепродуктов |
| Постановление Правительства Российской Федерации от 15 апреля 2002 г. N 240 О порядке организации мероприятий по предупреждению и ликвидации разливов нефти и нефтепродуктов на территории Российской Федерации |
| Приказ МЧС России от 28 декабря 2004 г. N 621 Об утверждении Правил разработки и согласования планов по предупреждению и ликвидации разливов нефти на территории Российской Федерации |
УДК 625.731.2:006.354 | |
Ключевые слова: автомобильные дороги общего пользования, облегченные и комбинированные насыпи, вспененные полистирольные блоки (ППС блоки), дорожный пенополистирольный блок, правила проектирования и применения |