Главная // Актуальные документы // ГОСТ Р (Государственный стандарт)СПРАВКА
Источник публикации
М.: ФГБУ "РСТ", 2022
Примечание к документу
Документ включен в
Перечень документов в области стандартизации, в результате применения которых на добровольной основе обеспечивается соблюдение требований Федерального
закона от 30.12.2009 N 384-ФЗ "Технический регламент о безопасности зданий и сооружений" (
Приказ Росстандарта от 02.04.2020 N 687).
Документ
введен в действие с 01.01.2022.
Название документа
"ГОСТ Р 56778-2021. Национальный стандарт Российской Федерации. Здания жилые и общественные. Оценка потребления тепловой энергии на отопление и вентиляцию"
(утв. и введен в действие Приказом Росстандарта от 10.12.2021 N 1765-ст)
"ГОСТ Р 56778-2021. Национальный стандарт Российской Федерации. Здания жилые и общественные. Оценка потребления тепловой энергии на отопление и вентиляцию"
(утв. и введен в действие Приказом Росстандарта от 10.12.2021 N 1765-ст)
Утвержден и введен в действие
агентства по техническому
регулированию и метрологии
от 10 декабря 2021 г. N 1765-ст
НАЦИОНАЛЬНЫЙ СТАНДАРТ РОССИЙСКОЙ ФЕДЕРАЦИИ
ЗДАНИЯ ЖИЛЫЕ И ОБЩЕСТВЕННЫЕ
ОЦЕНКА ПОТРЕБЛЕНИЯ ТЕПЛОВОЙ ЭНЕРГИИ
НА ОТОПЛЕНИЕ И ВЕНТИЛЯЦИЮ
Residential and public buildings. Assessment
of the consumption of heat energy for heating
and ventilation
ГОСТ Р 56778-2021
Дата введения
1 января 2022 года
1 РАЗРАБОТАН Федеральным государственным бюджетным учреждением "Научно-исследовательский институт строительной физики Российской академии архитектуры и строительных наук" (НИИСФ РААСН)
2 ВНЕСЕН Техническим комитетом по стандартизации ТК 465 "Строительство"
3 УТВЕРЖДЕН И ВВЕДЕН В ДЕЙСТВИЕ
Приказом Федерального агентства по техническому регулированию и метрологии от 10 декабря 2021 г. N 1765-ст
Правила применения настоящего стандарта установлены в статье 26 Федерального закона от 29 июня 2015 г. N 162-ФЗ "О стандартизации в Российской Федерации". Информация об изменениях к настоящему стандарту публикуется в ежегодном (по состоянию на 1 января текущего года) информационном указателе "Национальные стандарты", а официальный текст изменений и поправок - в ежемесячном информационном указателе "Национальные стандарты". В случае пересмотра (замены) или отмены настоящего стандарта соответствующее уведомление будет опубликовано в ближайшем выпуске ежемесячного информационного указателя "Национальные стандарты". Соответствующая информация, уведомление и тексты размещаются также в информационной системе общего пользования - на официальном сайте Федерального агентства по техническому регулированию и метрологии в сети Интернет (www.rst.gov.ru)
Настоящий стандарт предназначен для реализации положений Федерального
закона от 23 ноября 2009 г. N 261-ФЗ "Об энергосбережении и о повышении энергетической эффективности и о внесении изменений в отдельные законодательные акты Российской Федерации"
[1] и
статей 13,
31 Федерального закона от 30 декабря 2009 г. N 384-ФЗ "Технический регламент о безопасности зданий и сооружений"
[2] по повышению энергетической эффективности жилых и общественных зданий.
Настоящий стандарт устанавливает метод оценки потребления тепловой энергии на отопление и вентиляцию жилых и общественных зданий.
Требуемые для проведения расчетов значения величин следует принимать из соответствующих сводов правил.
Настоящий стандарт устанавливает метод оценки потребления тепловой энергии на отопление и вентиляцию жилых и общественных зданий, необходимый для комплексного отображения результатов применения совокупности архитектурных, объемно-планировочных, конструктивных, инженерных и других проектных решений и определения расхода топливных ресурсов в процессе эксплуатации жилых и общественных зданий.
Настоящий стандарт устанавливает метод оценки основных составляющих теплового баланса жилых и общественных зданий, образующих в сумме тепловые потребности здания, для усредненных за отопительный период климатологических условий, что позволяет реализовать возможность оценки ресурсоемкости вновь внедряемых технологий в проектировании и строительстве при описании несиловых воздействий на здания указанного типа.
В настоящем стандарте использованы нормативные ссылки на следующие документы:
ГОСТ 30494 Здания жилые и общественные. Параметры микроклимата в помещениях
ГОСТ 31167-2009 Здания и сооружения. Методы определения воздухопроницаемости ограждающих конструкций в натурных условиях
СП 60.13330.2016 "СНиП 41-01-2003 Отопление, вентиляция и кондиционирование воздуха"
СП 230.1325800.2015 Конструкции ограждающие зданий. Характеристики теплотехнических неоднородностей
Примечание - При пользовании настоящим стандартом целесообразно проверить действие ссылочных стандартов (сводов правил) в информационной системе общего пользования - на официальном сайте Федерального агентства по техническому регулированию и метрологии в сети Интернет или по ежегодному информационному указателю "Национальные стандарты", который опубликован по состоянию на 1 января текущего года, и по выпускам ежемесячного информационного указателя "Национальные стандарты" за текущий год. Если заменен ссылочный документ, на который дана недатированная ссылка, то рекомендуется использовать действующую версию этого документа с учетом всех внесенных в данную версию изменений. Если заменен ссылочный документ, на который дана датированная ссылка, то рекомендуется использовать версию этого документа с указанным выше годом утверждения (принятия). Если после утверждения настоящего стандарта в ссылочный документ, на который дана датированная ссылка, внесено изменение, затрагивающее положение, на которое дана ссылка, то это положение рекомендуется применять без учета данного изменения. Если ссылочный документ отменен без замены, то положение, в котором дана ссылка на него, рекомендуется применять в части, не затрагивающей эту ссылку. Сведения о действии сводов правил целесообразно проверить в Федеральном информационном фонде стандартов.
В настоящем стандарте применены следующие термины с соответствующими определениями:
3.1
энергосбережение: Реализация организационных, правовых, технических, технологических, экономических и иных мер, направленных на уменьшение объема используемых энергетических ресурсов при сохранении соответствующего полезного эффекта от их использования (в том числе объема произведенной продукции, выполненных работ, оказанных услуг). |
3.2
тепловая защита здания: Совокупность теплофизических и теплоэнергетических характеристик элементов здания, обеспечивающих безопасную эксплуатацию здания с позиции теплового режима помещений и способствующих экономному расходованию энергетических ресурсов. К тепловой защите здания относятся теплофизические свойства и характеристики наружных и внутренних ограждающих конструкций здания, удельная теплозащитная характеристика здания, защита от переувлажнения и воздухопроницаемость ограждающих конструкций. |
3.3
приведенное сопротивление теплопередаче фрагмента ограждающей конструкции: Физическая величина, характеризующая усредненную по площади плотность потока теплоты через фрагмент теплозащитной оболочки здания в стационарных условиях теплопередачи, численно равная отношению разности температур по разные стороны фрагмента к усредненной по площади плотности потока теплоты через фрагмент. |
3.4
коэффициент теплотехнической однородности фрагмента ограждающей конструкции: Безразмерный показатель, численно равный отношению значения приведенного сопротивления теплопередаче к условному сопротивлению теплопередаче фрагмента ограждающей конструкции. |
3.5
условное сопротивление теплопередаче ограждающей конструкции: Физическая величина, численно равная приведенному сопротивлению теплопередаче условной ограждающей конструкции, в которой отсутствуют теплотехнические неоднородности. |
3.6
удельная теплозащитная характеристика здания: Количество теплоты, равное потерям тепловой энергии через теплозащитную оболочку здания единицы отапливаемого объема в единицу времени при перепаде температуры в 1 °C. |
3.7
отапливаемый объем здания: Объем, ограниченный внутренними поверхностями наружных ограждений здания - стен, покрытий (чердачных перекрытий), перекрытий пола первого этажа или пола подвала при отапливаемом подвале. |
3.8
показатель компактности здания: Отношение общей площади внутренней поверхности наружных ограждающих конструкций здания к заключенному в них отапливаемому объему. |
3.9
воздухопроницаемость ограждающей конструкции: Физическое явление, заключающееся в фильтрации воздуха в ограждающей конструкции, вызванной перепадом давления воздуха. Физическая величина, численно равная массе воздуха усредненной по площади поверхности ограждающей конструкции, прошедшего через единицу площади поверхности ограждающей конструкции при наличии перепада давления воздуха. |
3.10 сопротивление воздухопроницанию ограждающей конструкции: Величина, обратная потоку воздуха, проходящего через единицу площади ограждающей конструкции в единицу времени при наличии разности давления воздуха на ее наружной и внутренней поверхностях.
3.11
удельная характеристика расхода тепловой энергии на отопление и вентиляцию здания: Количество теплоты, равное потребностям в тепловой энергии единицы отапливаемого объема здания в единицу времени при перепаде температуры в 1 °C. |
3.12
удельный расход тепловой энергии на отопление и вентиляцию здания за отопительный период: Количество тепловой энергии, необходимое для удовлетворения тепловых потребностей здания за отопительный период и отнесенное к единице площади или к единице отапливаемого объема. |
3.13
тепловые потребности здания: Количество тепловой энергии, необходимое для компенсации теплопередачи через ограждающие конструкции здания в наружную окружающую среду и для нагревания наружного воздуха, поступающего в помещения здания, в единицу времени с учетом полезно используемых тепловых поступлений. |
3.14
тепловые потери здания: Количество тепловой энергии, необходимое для компенсации теплопередачи через ограждающие конструкции здания в наружную окружающую среду и для нагревания наружного воздуха, поступающего в помещения здания, в единицу времени. |
3.15
тепловые поступления здания: Количество тепловой энергии, поступающее в здание от внутренних источников, образующихся в результате жизнедеятельности человека, и от солнечной радиации, в единицу времени. |
3.16
расход тепловой энергии на отопление и вентиляцию за отопительный период: Суммарное количество тепловой энергии, необходимое для отопления и вентиляции объекта в течение отопительного периода. |
3.17
тепловые затраты здания: Количество тепловой энергии, подводимое от источника к системам отопления и вентиляции, в единицу времени. |
3.18 расход топлива на единицу произведенной энергии на отопление и вентиляцию здания за отопительный период: Расход топлива (природного газа - в кубических метрах, мазута - в литрах, угля - в килограммах, древесины - в кубических метрах) на производство единицы тепловой или электрической энергии.
Проектирование зданий и сооружений должно осуществляться с учетом требований, приведенных в
СП 50.13330, в целях обеспечения эффективности расхода тепловой энергии на отопление и вентиляцию.
5 Порядок выбора исходных данных
5.1 Исходные данные для оценки расхода тепловой энергии на отопление и вентиляцию жилых и общественных зданий принимают в соответствии с проектной документацией на основании данных, изложенных в разделах:
- архитектурные решения;
- конструктивные решения;
- инженерные решения.
5.2 Климатологические параметры для региона строительства принимают по
СП 131.13330.
6 Порядок расчета тепловых потребностей жилых и общественных зданий на отопление и вентиляцию
6.1 Тепловые потребности жилых и общественных зданий представлены тепловыми потребностями помещений. Эти потребности компенсируются инженерными системами отопления, вентиляции, а также горячего водоснабжения.
6.2 Тепловые потребности, компенсируемые системами отопления, обусловлены климатологическими характеристиками района строительства и зависят от теплозащитных свойств ограждающих конструкций и объемно-планировочных решений здания.
Тепловые потребности, компенсируемые системами вентиляции, обусловлены климатологическими характеристиками района строительства и являются тепловыми потребностями, относимыми к системам теплоснабжения вентиляционных систем.
Для систем вентиляции с естественным побуждением движения воздуха нагрузка на подогрев приточного воздуха, образующая тепловые потребности применительно к системам вентиляции, может быть возложена на системы отопления.
Тепловые потребности, компенсируемые системами горячего водоснабжения, обусловлены потребителями, эксплуатирующими помещения здания.
6.3 Для расчета потребления энергии учитывают только те тепловые потребности, которые не обусловлены субъективным фактором поведения лиц, эксплуатирующих здание.
6.3.1 Энергетические нагрузки, образованные тепловыми потребностями жилых, а также общественных зданий на отопление и вентиляцию, определяют с помощью расчетной удельной характеристики расхода тепловой энергии на отопление и вентиляцию здания.
6.3.2 Расчетную удельную характеристику расхода тепловой энергии на отопление и вентиляцию здания

, Вт/(м
3·°C), определяют по формуле

(6.1)
где
kоб - удельная теплозащитная характеристика здания, Вт/(м
3·°C), определяется в соответствии с
СП 50.13330;
kвент - удельная вентиляционная характеристика здания, Вт/(м3·°C);
kбыт - удельная характеристика бытовых тепловыделений в здании, Вт/(м3·°C);
kрад - удельная характеристика теплопоступлений в здание от солнечной радиации, Вт/(м3·°C);

- коэффициент полезного использования теплопоступлений, определяемый по формуле

(6.2)
где Kрег - коэффициент эффективности регулирования подачи теплоты в системах отопления; рекомендуемые значения:
Kрег = 0,95 - в системе отопления с местными терморегуляторами и пофасадным авторегулированием на вводе;
Kрег = 0,9 - в системе отопления с местными терморегуляторами и центральным авторегулированием на вводе;
Kрег = 0,85 - в системе отопления без местных терморегуляторов и с пофасадным авторегулированием;
Kрег = 0,8 - в системе отопления с местными терморегуляторами и без авторегулирования на вводе;
Kрег = 0,7 - в системе отопления без местных терморегуляторов и с центральным авторегулированием на вводе;
Kрег = 0,6 - в системе отопления без местных терморегуляторов и без авторегулирования на вводе;
nв - средняя кратность воздухообмена здания за отопительный период, ч
-1 (см.
формулу 6.9).
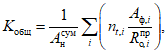
6.3.3 Удельную теплозащитную характеристику здания
kоб, Вт/(м
3·°C), рассчитывают по формуле

(6.3)
где

- приведенное сопротивление теплопередаче
i-го фрагмента теплозащитной оболочки здания, м
2·°C/Вт;
Aф,i - площадь соответствующего фрагмента теплозащитной оболочки здания, м2;
Vот - отапливаемый объем здания, м3;
nt,i - коэффициент, учитывающий отличие внутренней или наружной температуры у конструкции от принятых в расчете ГСОП;
Kобщ - общий коэффициент теплопередачи здания, Вт/(м2·°C), определяемый по формуле

(6.4)
Kкомп - коэффициент компактности здания, м-1, определяемый по формуле

(6.5)
где

- сумма площадей (по внутреннему обмеру) всех наружных ограждений теплозащитной оболочки здания, м
2.
Совокупность фрагментов теплозащитной оболочки здания, характеристики которых используются в
формуле (6.3), должна полностью замыкать оболочку отапливаемой части здания.
6.3.4 Удельная теплозащитная характеристика здания может быть найдена непосредственно через характеристики элементов, составляющих все конструкции оболочки здания:

(6.6)
Lj - суммарная протяженность линейной неоднородности j-го вида по всей оболочке здания, м;
Nk - суммарное количество точечных неоднородностей k-го вида по всей оболочке здания, шт.
6.3.5 Расчет удельной теплозащитной характеристики здания оформляют в виде таблицы, которая должна содержать следующие сведения:
а) наименование каждого фрагмента, составляющего оболочку здания;
б) площадь каждого фрагмента;
в) приведенное сопротивление теплопередаче каждого фрагмента со ссылкой на расчет;
г) коэффициент, учитывающий отличие внутренней или наружной температуры у фрагмента конструкции от принятых в расчете ГСОП.
Таблица 1
Значения составляющих удельной теплозащитной
характеристики здания
Наименование фрагмента | nt,i | Aф,i, м2 |  , (м 2·°C)/Вт |  , Вт/°C | % |
| | | | | |
| | | | | |
| | | | | |
| | | | | |
| | | | | |
Сумма | - | - | - | - | 100 |
6.3.6 Удельную вентиляционную характеристику здания kвент, Вт/(м3·°C), определяют по формуле

(6.7)
где c - удельная теплоемкость воздуха, равная 1 кДж/(кг·°C);

- средняя плотность приточного воздуха за отопительный период, кг/м
3, определяемая по формуле

(6.8)
здесь
tот - средняя температура наружного воздуха, °C, отопительного периода, принимаемая по
СП 131.13330 для периода со средней суточной температурой наружного воздуха не более 8 °C, а при проектировании лечебно-профилактических, детских организаций и домов-интернатов общего типа не более 10 °C;
Lвент - количество приточного воздуха в здание, м
3/ч, определяемое по
6.3.7;
Gинф - количество инфильтрующегося воздуха в здание, кг/ч, определяемое по
6.3.8;
Vот - отапливаемый объем здания, равный объему, ограниченному внутренними поверхностями наружных ограждений здания, м3;
kэф - коэффициент эффективности рекуператора.
Коэффициент эффективности рекуператора kэф отличен от нуля в том случае, если:
- средняя воздухопроницаемость квартир жилых и помещений общественных зданий (при закрытых приточно-вытяжных вентиляционных отверстиях) обеспечивает в период испытаний воздухообмен кратностью n50, ч-1, при разности давлений 50 Па наружного и внутреннего воздуха при вентиляции с механическим побуждением n50 <= 2 ч-1;
- кратность воздухообмена зданий и помещений при разности давлений 50 Па и их среднюю воздухопроницаемость определяют по
ГОСТ 31167.
6.3.7 Среднюю кратность воздухообмена здания за отопительный период
nв, ч
-1, рассчитывают по суммарному воздухообмену за счет вентиляции и инфильтрации по формуле

(6.9)
где Lвент - количество приточного воздуха в здание при неорганизованном притоке либо нормируемое значение при механической вентиляции, м3/ч, равное для:
а) жилых зданий с расчетной заселенностью квартир менее 20 м2 общей площади на человека - 3AЖ;
б) других жилых зданий - 0,35hэт(Aоб), но не менее 30m;
где Aоб - общая площадь квартир;
m - расчетное число жителей в здании;
в) общественных и административных зданий - определяют согласно подразделу проектной документации "Отопление, вентиляция и кондиционирование воздуха, тепловые сети" с учетом баланса приточного и вытяжного воздуха, в том числе при использовании систем рециркуляции, либо согласно
приложению И СП 60.13330.2016 с учетом количества человек в помещениях;
Aж - для жилых зданий площадь жилых помещений, к которым относятся спальни, детские, гостиные, кабинеты, библиотеки, столовые, кухни-столовые, м2;
Aр - для общественных и административных зданий расчетная площадь, определяемая как сумма площадей всех помещений, за исключением коридоров, тамбуров, переходов, лестничных клеток, лифтовых шахт, внутренних открытых лестниц и пандусов, а также помещений, предназначенных для размещения инженерного оборудования и сетей, м2;
hэт - высота этажа от пола до потолка, м;
nвент - число часов работы механической вентиляции в течение недели;
168 - число часов в неделе;
Gинф - количество инфильтрующегося воздуха в здание через ограждающие конструкции, кг/ч: для жилых зданий - воздуха, поступающего в лестничные клетки в течение суток отопительного периода, определяемое согласно
6.3.8; для общественных зданий - воздуха, поступающего через неплотности светопрозрачных конструкций и дверей; допускается принимать для общественных зданий в нерабочее время в зависимости от этажности здания: до трех этажей - равным

, от четырех до девяти этажей -

, выше девяти этажей -

, где
Vо6щ - отапливаемый объем общественной части здания;
nинф - число часов учета инфильтрации в течение недели, ч, равное 168 для зданий со сбалансированной приточно-вытяжной вентиляцией и (168 - nвент) для зданий, в помещениях которых поддерживается подпор воздуха во время действия приточной механической вентиляции;
Vот - отапливаемый объем здания, равный объему, ограниченному внутренними поверхностями наружных ограждений здания, м3;

- коэффициент снижения объема воздуха в здании, учитывающий наличие внутренних ограждающих конструкций.
При отсутствии данных следует принимать

.
В случаях, когда здание состоит из нескольких зон с различным воздухообменом, средние кратности воздухообмена находят для каждой зоны в отдельности (зоны, на которые разделено здание, должны составлять весь отапливаемый объем).
Все полученные средние кратности воздухообмена суммируют, и суммарный коэффициент подставляют в
формулы (6.2) и
(6.4) для расчета удельной вентиляционной характеристики здания и средней кратности воздухообмена за отопительный период.
6.3.8 Количество инфильтрующегося воздуха, поступающего на лестничную клетку жилого здания или в помещения общественного здания через неплотности заполнений проемов, полагая, что все они находятся на наветренной стороне, определяют по формуле

(6.10)
где Aок и Aдв - суммарная площадь окон и балконных дверей и входных наружных дверей соответственно, м2;

и

- требуемое сопротивление воздухопроницанию окон и балконных дверей и входных наружных дверей соответственно, м
2·ч/кг;

и

- расчетная разность давлений наружного и внутреннего воздуха, Па, для окон и балконных дверей и входных наружных дверей соответственно, определяют по
формуле (6.11); для окон и балконных дверей с заменой в ней значения 0,55 на 0,28 и с вычислением удельного веса по
формуле (6.12) при температуре воздуха, равной
tот;
10 - номинальный перепад давления, при котором следует испытывать окна и двери на воздухопроницаемость, Па.
Разность давлений воздуха на наружной и внутренней поверхностях ограждающих конструкций

, Па, определяют по формуле

(6.11)
где H - высота здания (от уровня пола первого этажа до верха вытяжной шахты), м;

,

- удельный вес наружного и внутреннего воздуха соответственно, Н/м
3, определяемый по формуле

(6.12)
t - температура воздуха: внутреннего (для определения

) - принимается согласно оптимальным параметрам по
ГОСТ 30494 и требованиям
[3]; наружного (для определения

) - принимается равной средней температуре наиболее холодной пятидневки обеспеченностью 0,92 по
СП 131.13330;
v - максимальная из средних скоростей ветра по румбам за январь, повторяемость которых составляет 16% и более, принимаемая по
таблице 3.1 СП 131.13330.2018.
Для общественных зданий в нерабочее время количество инфильтрующегося воздуха, поступающего через неплотности светопрозрачных конструкций и дверей, допускается принимать в зависимости от этажности здания: до трех этажей - равным

, от четырех до девяти этажей -

, выше девяти этажей -

, где
Vобщ - отапливаемый объем общественной части здания.
Для лестнично-лифтовых узлов (ЛЛУ) жилых зданий количество инфильтрующегося воздуха, поступающего через неплотности заполнения проемов, допускается принимать в зависимости от этажности здания: до трех этажей - равным

, от четырех до девяти этажей -

, выше девяти этажей -

, где
VЛЛУ - отапливаемый объем лестнично-лифтовых узлов здания.
Для ЛЛУ без поэтажных выходов на балконы количество инфильтрующегося воздуха, полученное по упрощенным формулам, следует уменьшать в два раза.
6.3.9 Удельную характеристику бытовых тепловыделений в здании kбыт, Вт/(м3·°C), определяют по формуле

(6.13)
где qбыт - величина бытовых тепловыделений на 1 м2 площади жилых помещений Aж или расчетной площади общественного здания Aр, Вт/м2, принимаемая:
а) для жилых зданий с расчетной заселенностью квартир менее 20 м2 общей площади на человека qбыт = 17 Вт/м2;
б) жилых зданий с расчетной заселенностью квартир 45 м2 общей площади и более на человека qбыт = 10 Вт/м2;
в) других жилых зданий - в зависимости от расчетной заселенности квартир по интерполяции величины qбыт между 17 и 10 Вт/м2;
г) общественных и административных зданий - по расчетному числу людей (90 Вт/чел.), находящихся в здании, освещения (по установочной мощности) и оргтехники (10 Вт/м2) с учетом рабочих часов в неделю;
tв - расчетная температура внутреннего воздуха здания, °C, принимаемая по минимальным значениям оптимальной температуры соответствующих зданий по
ГОСТ 30494 (в интервале 16 °C - 22 °C) либо по нормам проектирования соответствующих зданий;
Aж - то же, что и в
6.3.7.
6.3.10 Удельную характеристику теплопоступлений в здание от солнечной радиации kрад, Вт/(м3·°C), определяют по формуле

(6.14)
где

- суммарные теплопоступления через окна, расположенные на фасадах, ориентированных по направлениям
j, и фонари от солнечной радиации в течение отопительного периода, МДж/год, определяют по формуле

(6.15)
где

- суммарная радиация за отопительный период для вертикальной поверхности, ориентированной по направлению
j, МДж/(год·м
2);
Iгор - суммарная радиация за отопительный период для горизонтальной поверхности, МДж/год·м2;
Ajl, Aфон - площадь окон, ориентированных по направлению j, и зенитных фонарей соответственно, м2;
gjl,
gфон - коэффициенты общего пропускания солнечной энергии для окон, ориентированных по направлению
j, и зенитных фонарей соответственно, определяемые как сумма коэффициента прямого пропускания солнечной энергии и коэффициента вторичной теплопередачи внутрь помещения, отн. ед.; мансардные окна с углом наклона к горизонту 45° и более следует считать как вертикальные окна, с углом наклона менее 45° - как зенитные фонари, определяемые экспериментально или по
приложению Д СП 345.1325800.2017;

,

- коэффициенты, учитывающие затенение светового проема окон и зенитных фонарей соответственно непрозрачными элементами заполнения, рассчитываемые по формуле

(6.16)
где

- индекс
i-й ячейки переплета, отн. ед.; для переплета прямоугольной формы

, для переплета круглой формы

;
di - толщина
i-й ячейки переплета, м;
ri - радиус ячейки переплета, м;
A0 - площадь оконного блока по наружному обмеру, м2;
Ai = aibi - площадь i-й ячейки в свету, м2;
ai, bi - ширина и высота i-й ячейки в свету, м;
KГi - составляющая коэффициента светопередачи, зависящая от геометрических размеров ячейки переплета, определяемая по формуле

(6.17)
Коэффициенты

,

также могут быть определены по упрощенной формуле

(6.18)
Суммарную (прямая плюс рассеянная) солнечную радиацию на горизонтальную поверхность (покрытие, зенитные фонари) Iгор, МДж/год·м2, при действительных условиях облачности за отопительный период для климатического района строительства определяют по формуле

(6.19)
где

- суммарная солнечная радиация на горизонтальную поверхность при действительных условиях облачности для
i-го месяца отопительного периода, МДж/(год·м
2), принимается по данным
[4], таблица 1.10;
m - число месяцев отопительного периода со среднесуточной температурой наружного воздуха, равной и ниже 8 °C.
Суммарную (прямая, рассеянная и отраженная) солнечную радиацию на вертикальную поверхность (стены и окна)

, МДж/(год·м
2), при действительных условиях облачности за отопительный период определяют по формуле

(6.20)
где

- прямая солнечная радиация на вертикальную поверхность при действительных условиях облачности в
i-м месяце отопительного периода для
j-й ориентации, МДж/м
2, определяют с учетом коэффициента пересчета с горизонтальной поверхности на вертикальную
KГВji;

,

- рассеянная и отраженная солнечная радиация на вертикальную поверхность при действительных условиях облачности в
i-м месяце отопительного периода, МДж/м
2;

,

- прямая и рассеянная солнечная радиация на горизонтальную поверхность при действительных условиях облачности в
i-м месяце отопительного периода, МДж/м
2, принимаются по данным
[4], таблицы 1.8, 1.9;
Aki - альбедо поверхности земли в
i-м месяце отопительного периода, %, принимается по данным
[4], таблица 1.10;
kji - коэффициент пересчета прямой солнечной радиации с горизонтальной поверхности на вертикальную
i-го месяца отопительного периода для
j-й ориентации, принимается по данным
приложения В СП 345.1325800.2017.
7 Определение энергетических нагрузок жилых и общественных зданий
7.1 Энергетические нагрузки
7.1.1 Энергетические нагрузки, образованные тепловыми потребностями жилых, а также общественных зданий на отопление и вентиляцию, определяют с помощью расчетной удельной характеристики расхода тепловой энергии на отопление и вентиляцию здания в соответствии с
разделом 6, численно равной расходу тепловой энергии на 1 м
3 отапливаемого объема здания в единицу времени при перепаде температуры 1 °C,
qот, Вт/(м
3·°C).
7.1.2 Показателем расхода тепловой энергии на отопление и вентиляцию жилого или общественного здания, также и на стадии разработки проектной документации, является удельная характеристика расхода тепловой энергии на отопление и вентиляцию здания.
Расчетное значение удельной характеристики расхода тепловой энергии на отопление и вентиляцию здания

, Вт/(м
3·°C), определяют в соответствии с
разделом 6 с учетом климатических условий района строительства, выбранных объемно-планировочных решений, ориентации здания, теплозащитных свойств ограждающих конструкций, принятой системы вентиляции здания, а также с учетом применяемых энергосберегающих технологий.
Расчетное значение удельной характеристики расхода тепловой энергии на отопление и вентиляцию здания должно быть меньше или равно нормируемых значению

, Вт/(м
3·°C):

(7.1)
где

- нормируемая удельная характеристика расхода тепловой энергии на отопление и вентиляцию здания, Вт/(м
3·°C), определяемая для различных типов жилых и общественных зданий по
СП 50.13330.
7.1.3 Для достижения нормируемого значения удельной характеристики расхода тепловой энергии на отопление и вентиляцию здания средняя воздухопроницаемость квартир жилых и помещений общественных зданий (при закрытых приточно-вытяжных вентиляционных отверстиях) должна обеспечивать определяемый по
ГОСТ 31167 воздухообмен кратностью
n50, ч
-1, при разности давлений наружного и внутреннего воздуха 50 Па при вентиляции:
- с естественным побуждением - n50 <= 4 ч-1;
- с механическим побуждением - n50 <= 2 ч-1.
7.1.4 Удельный расход тепловой энергии на отопление и вентиляцию здания за отопительный период q, кВт·ч/(м3·год) или кВт·ч/(м2·год), определяют по формулам:

(7.2)

(7.3)
где

- то же, что в
6.3.2;
h - средняя высота этажа здания, м, равная Vот/Aот;
Aот - сумма площадей этажей здания, измеренных в пределах внутренних поверхностей наружных стен, м2, за исключением технических этажей и гаражей;
Vот - то же, что в
6.3.3.
7.1.5 Расход тепловой энергии на отопление и вентиляцию здания за отопительный период

, кВт·ч/год, определяют по формуле

(7.4)
7.1.6 Общие теплопотери здания за отопительный период

, кВт·ч/год, следует определять по формуле

(7.5)
где ГСОП - градусо-сутки отопительного периода (ГСОП), °C·сут/год, определяют по формуле
ГСОП = (
tв -
tот)·
zот, (7.6)
где
zот - средняя температура наружного воздуха, °C, и продолжительность, сут/год, отопительного периода, принимаемые по
СП 131.13330.2018 для периода со средней суточной температурой наружного воздуха не более 8 °C, а при проектировании лечебно-профилактических, детских организаций и домов-интернатов общего типа - не более 10 °C;
Vот - то же, что в
6.3.3;
kоб,
kвент - то же, что в
6.3.2.
7.2 Показатели энергетической эффективности объекта капитального строительства
7.2.1 В качестве базового показателя, характеризующего удельную величину расхода энергетических ресурсов в здании, применяют удельную характеристику расхода тепловой энергии на отопление и вентиляцию здания, нормируемые значения которой представлены в
СП 50.13330.
7.2.2 Для оценки достигнутой в проекте здания или в эксплуатируемом здании потребности энергии на отопление и вентиляцию установлены классы энергосбережения в процентах отклонения расчетной удельной характеристики расхода тепловой энергии на отопление и вентиляцию здания от нормируемой (базовой) величины.
7.2.3 Удельный расход тепловой энергии на отопление здания

, кДж/(м
3·°C·сут) или кДж/(м
2·°C·сут), согласно
СП 50.13330 следует определять по формулам:

(7.7)

(7.8)
где

- то же, что в
6.3.2;
h - средняя высота этажа здания, м, равная Vот/Aот.
При обратном пересчете удельного расхода тепловой энергии на отопление и вентиляцию здания необходимо проверять используемые в расчетах объем и площадь здания. Для корректного расчета энергетических показателей применяют отапливаемый объем здания, м3, т.е. объем, ограниченный внутренними поверхностями наружных ограждений здания (стен, покрытий и/или чердачных перекрытий, перекрытий пола первого этажа и/или пола подвала при отапливаемом подвале), а также отапливаемую площадь здания, м2, как сумму площадей этажей здания, измеренных в пределах внутренних поверхностей наружных стен.
7.2.4 Удельный расход тепловой энергии на отопление здания q, кВт·ч/(м3·год) или кВт·ч/(м2·год), определяют по формулам:

(7.9)

(7.10)
где

- то же, что в
6.3.2;
h - средняя высота этажа здания, м, равная Vот/Aот;
ГСОП - градусо-сутки отопительного периода (ГСОП), °C·сут/год, определяют по
формуле (7.6).
| Федеральный закон "Об энергосбережении и о повышении энергетической эффективности и о внесении изменений в отдельные законодательные акты Российской Федерации" от 23 ноября 2009 г. N 261-ФЗ |
| Федеральный закон "Технический регламент о безопасности зданий и сооружений" от 30 декабря 2009 г. N 384-ФЗ |
| Санитарно-эпидемиологические правила и нормативы | Санитарно-эпидемиологические требования к условиям проживания в жилых зданиях и помещениях |
| Научно-прикладной справочник по климату СССР. - Серия 3. Многолетние данные. - 4.1 - 6. - Вып. 1 - 34. - СПб: Гидрометеоиздат, 1989 - 1998. |
УДК 692+697.1+697.9:006.354 | |
Ключевые слова: потребление тепловой энергии, системы отопления, системы вентиляции, тепловые потери |