Главная // Актуальные документы // ГОСТ Р (Государственный стандарт)СПРАВКА
Источник публикации
М.: ФГБУ "Институт стандартизации", 2023
Примечание к документу
Документ
введен в действие с 01.05.2023.
Название документа
"ГОСТ Р 70716-2023. Национальный стандарт Российской Федерации. Дороги автомобильные и улицы. Безопасность движения пешеходов. Общие требования"
(утв. и введен в действие Приказом Росстандарта от 10.04.2023 N 213-ст)
"ГОСТ Р 70716-2023. Национальный стандарт Российской Федерации. Дороги автомобильные и улицы. Безопасность движения пешеходов. Общие требования"
(утв. и введен в действие Приказом Росстандарта от 10.04.2023 N 213-ст)
Утвержден и введен в действие
агентства по техническому
регулированию и метрологии
от 10 апреля 2023 г. N 213-ст
НАЦИОНАЛЬНЫЙ СТАНДАРТ РОССИЙСКОЙ ФЕДЕРАЦИИ
ДОРОГИ АВТОМОБИЛЬНЫЕ И УЛИЦЫ
БЕЗОПАСНОСТЬ ДВИЖЕНИЯ ПЕШЕХОДОВ
ОБЩИЕ ТРЕБОВАНИЯ
Automobile roads and streets.
Traffic safety of pedestrians. General requirements
ГОСТ Р 70716-2023
Дата введения
1 мая 2023 года
1 РАЗРАБОТАН Федеральным автономным учреждением "Российский дорожный научно-исследовательский институт" (ФАУ "РОСДОРНИИ") Министерства транспорта Российской Федерации
2 ВНЕСЕН Техническим комитетом по стандартизации ТК 418 "Дорожное хозяйство"
3 УТВЕРЖДЕН И ВВЕДЕН В ДЕЙСТВИЕ
Приказом Федерального агентства по техническому регулированию и метрологии от 10 апреля 2023 г. N 213-ст
4 ВВЕДЕН ВПЕРВЫЕ
Правила применения настоящего стандарта установлены в статье 26 Федерального закона от 29 июня 2015 г. N 162-ФЗ "О стандартизации в Российской Федерации". Информация об изменениях к настоящему стандарту публикуется в ежегодном (по состоянию на 1 января текущего года) информационном указателе "Национальные стандарты", а официальный текст изменений и поправок - в ежемесячном информационном указателе "Национальные стандарты". В случае пересмотра (замены) или отмены настоящего стандарта соответствующее уведомление будет опубликовано в ближайшем выпуске ежемесячного информационного указателя "Национальные стандарты". Соответствующая информация, уведомление и тексты размещаются также в информационной системе общего пользования - на официальном сайте Федерального агентства по техническому регулированию и метрологии в сети Интернет (www.rst.gov.ru)
Настоящий стандарт распространяется на автомобильные дороги общего пользования в соответствии с
[1] (далее - дороги) и на дороги и улицы городских и сельских поселений в соответствии с
СП 42.13330 (далее - улицы) и устанавливает требования к безопасности движения пешеходов.
Требования настоящего стандарта направлены на обеспечение безопасности дорожного движения, сохранение жизни, здоровья и имущества населения.
В настоящем стандарте использованы нормативные ссылки на следующие документы:
ГОСТ 34.401 Информационная технология. Комплекс стандартов на автоматизированные системы. Средства технические периферийные автоматизированных систем дорожного движения. Типы и технические требования
ГОСТ 6665 Камни бетонные и железобетонные бортовые. Технические условия
ГОСТ 32018 Изделия строительно-дорожные из природного камня. Технические условия
ГОСТ 32753 Дороги автомобильные общего пользования. Покрытия противоскольжения цветные. Технические требования
ГОСТ 32757 Дороги автомобильные общего пользования. Временные технические средства организации дорожного движения. Классификация
ГОСТ 32758 Дороги автомобильные общего пользования. Временные технические средства организации дорожного движения. Технические требования и правила применения
ГОСТ 32759 Дороги автомобильные общего пользования. Дорожные тумбы. Технические требования
ГОСТ 32839 Дороги автомобильные общего пользования. Световозвращатели дорожные. Методы контроля
ГОСТ 32843 Дороги автомобильные общего пользования. Столбики сигнальные дорожные. Технические требования
ГОСТ 32866 Дороги автомобильные общего пользования. Световозвращатели дорожные. Технические требования
ГОСТ 32944-2014 Дороги автомобильные общего пользования. Пешеходные переходы. Классификация. Общие требования
ГОСТ 32945 Дороги автомобильные общего пользования. Знаки дорожные. Технические требования
ГОСТ 32947 Дороги автомобильные общего пользования. Опоры стационарного электрического освещения. Технические требования
ГОСТ 32948 Дороги автомобильные общего пользования. Опоры дорожных знаков. Технические требования
ГОСТ 32961 Дороги автомобильные общего пользования. Камни бортовые. Технические требования
ГОСТ 32964 Дороги автомобильные общего пользования. Искусственные неровности сборные. Технические требования. Методы контроля
ГОСТ 33025 Дороги автомобильные общего пользования. Полосы шумовые. Технические условия
ГОСТ 33062-2014 Дороги автомобильные общего пользования. Требования к размещению объектов дорожного и придорожного сервиса
ГОСТ 33127 Дороги автомобильные общего пользования. Ограждения дорожные. Классификация
ГОСТ 33150 Дороги автомобильные общего пользования. Проектирование пешеходных и велосипедных дорожек. Общие требования
ГОСТ 33151 Дороги автомобильные общего пользования. Элементы обустройства. Технические требования. Правила применения
ГОСТ 33176-2014 Дороги автомобильные общего пользования. Горизонтальная освещенность от искусственного освещения. Технические требования
ГОСТ Р 50597-2017 Автомобильные дороги и улицы. Требования к эксплуатационному состоянию, допустимому по условиям обеспечения безопасности дорожного движения. Методы контроля
ГОСТ Р 50971 Технические средства организации дорожного движения. Световозвращатели дорожные. Общие технические требования. Правила применения
ГОСТ Р 51256 Технические средства организации дорожного движения. Разметка дорожная. Классификация. Технические требования
ГОСТ Р 51671 Средства связи и информации технические общего пользования, доступные для инвалидов. Классификация. Требования доступности и безопасности. Классификация. Требования доступности и безопасности
ГОСТ Р 52282 Технические средства организации дорожного движения. Светофоры дорожные. Типы и основные параметры. Общие технические требования. Методы испытаний
ГОСТ Р 52289-2019 Технические средства организации дорожного движения. Правила применения дорожных знаков, разметки, светофоров, дорожных ограждений и направляющих устройств
ГОСТ Р 52290 Технические средства организации дорожного движения. Знаки дорожные. Общие технические требования
ГОСТ Р 52605 Технические средства организации дорожного движения. Искусственные неровности. Общие технические требования. Правила применения
ГОСТ Р 52766-2007 Дороги автомобильные общего пользования. Элементы обустройства. Общие требования
ГОСТ Р 52875 Указатели тактильные наземные для инвалидов по зрению. Технические требования
ГОСТ Р 58351 Дороги автомобильные общего пользования. Ограждения дорожные фронтальные, удерживающие боковые комбинированные и удерживающие пешеходные. Общие технические требования. Методы испытаний и контроля. Правила применения
ГОСТ Р 59401 Дороги автомобильные общего пользования. Ограничивающие пешеходные и защитные ограждения. Общие технические условия
ГОСТ Р 59431 Система радиоинформирования и звукового ориентирования для инвалидов по зрению и других маломобильных групп населения. Технические требования. Методы испытаний
ГОСТ Р 59432 Дороги автомобильные общего пользования. Доступность для инвалидов и других маломобильных групп населения. Общие требования
ГОСТ Р 59812 Доступность для инвалидов объектов городской инфраструктуры. Общие требования. Показатели и критерии оценки доступности
ГОСТ Р ИСО 23600 Вспомогательные технические средства для лиц с нарушением функций зрения и лиц с нарушением функций зрения и слуха. Звуковые и тактильные сигналы дорожных светофоров
СП 42.13330.2016 "СНиП 2.07.01-89* Градостроительство. Планировка и застройка городских и сельских поселений"
СП 59.13330 "СНиП 35-01-2001 Доступность зданий и сооружений для маломобильных групп населения"
СП 140.13330 Городская среда. Правила проектирования для маломобильных групп населения
СП 396.1325800.2018 Улицы и дороги населенных пунктов. Правила градостроительного проектирования
Примечание - При пользовании настоящим стандартом целесообразно проверить действие ссылочных стандартов (сводов правил) в информационной системе общего пользования - на официальном сайте Федерального агентства по техническому регулированию и метрологии в сети Интернет или по ежегодному информационному указателю "Национальные стандарты", который опубликован по состоянию на 1 января текущего года, и по выпускам ежемесячного информационного указателя "Национальные стандарты" за текущий год. Если заменен ссылочный документ, на который дана недатированная ссылка, то рекомендуется использовать действующую версию этого документа с учетом всех внесенных в данную версию изменений. Если заменен ссылочный документ, на который дана датированная ссылка, то рекомендуется использовать версию этого документа с указанным выше годом утверждения (принятия). Если после утверждения настоящего стандарта в ссылочный документ, на который дана датированная ссылка, внесено изменение, затрагивающее положение, на которое дана ссылка, то это положение рекомендуется применять без учета данного изменения. Если ссылочный документ отменен без замены, то положение, в котором дана ссылка на него, рекомендуется применять в части, не затрагивающей эту ссылку. Сведения о действии сводов правил целесообразно проверить в Федеральном информационном фонде стандартов.
В настоящем стандарте применены следующие термины с соответствующими определениями:
3.1 безопасность движения пешеходов: Состояние движения, отражающее степень защищенности пешеходов от дорожно-транспортных происшествий и их последствий.
3.2 пешеходные пути: Элементы обустройства дорог и улиц, предназначенные для организованного движения пешеходов (тротуары, пешеходные и велопешеходные дорожки, пешеходные переходы).
3.3
приподнятый пешеходный переход: Вид технических средств организации дорожного движения, представляющий собой конструкцию в виде возвышения на проезжей части дороги, устанавливаемую или устраиваемую на проезжей части дороги с целью принудительного ограничения скорости движения транспортных средств, установленной дорожными знаками или правилами дорожного движения государств - членов Евразийского экономического союза. |
3.4 табло вызывное пешеходное; ТВП: Вспомогательное техническое средство, предназначенное для включения через дорожный контроллер сигналов светофоров, разрешающих движение пешеходов через проезжую часть по их запросу.
3.5 конфликтное регулирование: Регулирование, при котором движение пешеходов и поворачивающих транспортных средств, пересекающих направление движения пешеходов, осуществляется в одной фазе светофорного цикла.
3.6 сигнальный светодиодный маячок: Техническое средство, применяемое вместо световозвращателя типа КД3.
3.7 защитный элемент: Элемент перед островком безопасности, устраиваемый для предотвращения выезда транспортных средств на островок.
3.8 успокоение движения: Комплекс мер, направленный на снижение скорости движения транспортных средств и/или уменьшение интенсивности их движения, в целях снижения вероятности совершения дорожно-транспортных происшествий и тяжести их последствий.
4.2 Пешеходные переходы следует размещать на пути сформировавшихся регулярных пешеходных потоков по возможно кратчайшему пути к объекту притяжения пешеходов (остановки маршрутных транспортных средств, станции метрополитена, жилые кварталы, культурно-развлекательные центры, объекты торговли, парки и т.п.), а также на всех перекрестках улиц.
Подходы к пешеходным переходам должны быть обустроены пешеходными путями.
4.4 Пешеходные переходы и пешеходные дорожки должны обеспечивать беспрепятственное передвижение маломобильных групп населения.
4.5 Для целей настоящего стандарта категории дорог приняты в соответствии с
[1], улиц - в соответствии с
СП 42.13330.
5 Обеспечение безопасности движения пешеходов при пересечении проезжей части
5.1 Типы пешеходных переходов
Необходимость светофорного регулирования пешеходных переходов в одном уровне с проезжей частью на дорогах и улицах определяют по
ГОСТ Р 52289.
Устройство нерегулируемых пешеходных переходов в одном уровне с проезжей частью на участках дорог, проходящих через населенные пункты, и улицах допускается только при соблюдении условий, приведенных в таблице 1.
Таблица 1
Условия устройства нерегулируемых пешеходных переходов
Общее число полос движения <1> и тип разделительной полосы | Интенсивность движения, авт./сут |
До 9000 включ. | Св. 9000 до 12 000 включ. | Св. 12 000 до 15 000 включ. | Св. 15 000 |
Ограничение максимальной скорости, км/ч |
40 и менее | 50 | 60 | 40 и менее | 50 | 60 | 40 и менее | 50 | 60 | 40 и менее | 50 | 60 |
Две полосы | Д | Д | ДС | Д | Д | ДС | Д | ДС | Н | Д | Н | Н |
Три полосы | Д | ДС | ДС | Д | ДС | ДС | ДС | ДС | Н | ДС | Н | Н |
Четыре полосы и более с приподнятой разделительной полосой <2> | ДС | ДС | ДС | ДС | ДС | Н | ДС | Н | Н | Н | Н | Н |
Четыре полосы и более без приподнятой разделительной полосы <2> | ДС | ДС | Н | ДС | ДС | Н | Н | Н | Н | Н | Н | Н |
<1> В таблице приведено общее число полос в обоих направлениях с учетом переходно-скоростных полос. <2> Условия для участков дорог и улиц с четырьмя и более полосами движения в обоих направлениях распространяются на случаи по ГОСТ Р 52289: - если пешеходный переход находится между соседними регулируемыми пешеходными переходами, расположенными между собой на расстоянии 600 м и менее вне зоны действия знака 1.23, когда светофорное регулирование с применением вызывной фазы допускается не вводить; - если по техническим обоснованиям невозможно применение светофорного регулирования с применением вызывной фазы для движения пешеходов на пешеходном переходе. Примечания 1 В настоящей таблице приняты следующие обозначения: Д - допустимо устройство нерегулируемого пешеходного перехода; ДС - устройство нерегулируемого пешеходного перехода допустимо при применении дополнительных средств, улучшающих видимость пешеходного перехода и пешеходов (световозвращателей, освещения по 5.5.4.5 и т.п.), снижающих скорость движения по 5.5.2, 5.5.3 и разделу 8, средствами обеспечения безопасности пешеходов по 7.1; Н - недопустимо устройство нерегулируемого пешеходного перехода. 2 Для участков дорог и улиц с четырьмя и более полосами движения нерегулируемые пешеходные переходы обустраивают светофорами типа Т.7 по ГОСТ Р 52282 и ГОСТ Р 52289. |
На имеющихся нерегулируемых пешеходных переходах необходимо применять меры по улучшению дорожных условий по
таблице 1.
5.1.2 Если на существующих дорогах вне населенных пунктов с числом полос более одной в каждом направлении (с учетом переходно-скоростных полос) и разрешенной скоростью движения транспортных средств 80 км/ч уже имеются наземные пешеходные переходы или устраиваются новые при соответствующем технико-экономическом обосновании, они должны быть обустроены светофорной сигнализацией, регулирующей очередность проезда (в том числе с применением ТВП по
ГОСТ Р 52289 и по
5.3.2), островками безопасности по
7.1, освещением по
ГОСТ Р 52766 и по
5.5.4.4, а также дополнительными элементами обустройства для обеспечения безопасного пересечения пешеходами проезжей части по
5.5.5.
5.2 Пешеходные переходы в разных уровнях с проезжей частью
5.2.1 Пешеходные переходы в разных уровнях с проезжей частью на существующих дорогах устраивают по
ГОСТ 32944 на основании технико-экономического обоснования в сравнении с вариантом светофорного регулирования по
ГОСТ Р 52289.
На существующих дорогах категории I пешеходные переходы устраивают в разных уровнях с проезжей частью, в том числе в случаях по ГОСТ 33062-2014
(пункт 5.1.8) и в местах пересечений дорог с пешеходными и велосипедными дорожками по ГОСТ Р 52398-2005
(таблица 1).
5.2.2 Надземные пешеходные переходы из модульных (быстровозводимых) конструкций, изготовленных в соответствии со стандартами организаций, могут устраиваться на дорогах категорий IВ и II с числом полос более двух у остановочных пунктов маршрутных транспортных средств и в качестве меры по снижению аварийности с пешеходами на основе технико-экономического обоснования до устройства капитальных конструкций.
5.2.4 При наличии пешеходного перехода в разных уровнях с проезжей частью у остановочных пунктов маршрутных транспортных средств устанавливают ограничивающие пешеходные ограждения на протяжении 50 м в каждую сторону от краев посадочной площадки при отсутствии удерживающих ограждений для автомобилей, разделяющих транспортные потоки противоположных направлений, по ГОСТ Р 52289-2019
(пункт 8.1.30).
5.2.5 Ширину пешеходной части на пешеходных переходах в разных уровнях с проезжей частью определяют на дорогах по
ГОСТ 32944, на улицах - по
СП 396.1325800.
Общую ширину подземного пешеходного перехода или надземного пешеходного перехода принимают расчетным путем для дорог по
ГОСТ 32944 и
СП 35.13330, для улиц - по
СП 396.1325800.
Высота прохода в пешеходных переходах в разных уровнях должна быть не менее 2,3 м (от уровня пола до низа выступающих конструкций или до нижнего края элементов освещения).
На транспортно-пересадочных узлах высоту подземных пешеходных переходов (в свету) рекомендуется принимать не менее 2,5 м.
5.3 Пешеходные переходы в одном уровне с проезжей частью
5.3.1 Наземные пешеходные переходы располагают в местах пересечений <*> дорог и улиц и выездов с прилегающих территорий, на перегонах, у остановок маршрутных транспортных средств, в местах притяжения пешеходных потоков. При этом не допускается устраивать наземные пешеходные переходы внутри границ пересечений проезжих частей, за исключением диагональных переходов по
ГОСТ Р 52289.
--------------------------------
<*> Перекресток - по
[2].
5.3.2 Расстояния между пешеходными переходами на дорогах в пределах населенных пунктов определяют по
ГОСТ Р 52766. На участках дорог вне населенных пунктов расстояния между пешеходными переходами определяются наличием остановочных пунктов маршрутных транспортных средств, объектов дорожного и придорожного сервиса и других объектов притяжения.
5.3.3 Предотвращение перехода пешеходами проезжей части в неустановленных местах обеспечивается установкой пешеходных ограждений по
ГОСТ Р 52289 или посадкой кустарника по
ГОСТ Р 52766.
Наземные пешеходные переходы должны быть оборудованы элементами обустройства, в том числе техническими средствами организации дорожного движения, в соответствии с требованиями
ГОСТ Р 52766 и
ГОСТ Р 52289.
5.3.4 На регулируемых пешеходных переходах на перегонах, а также на регулируемых пересечениях в случаях, если они расположены на аварийно-опасных или на потенциально аварийно-опасных участках дорог и улиц, допускается применять подсветку контура Г-образной опоры для светофора
Т1 по ГОСТ Р 52282 (без дополнительных секций либо с дополнительными секциями с сигналами в виде колец красного цвета, включающимися при выключении сигнала в виде стрелок зеленого цвета), расположенного над проезжей частью. Подсветка опоры должна повторять по цвету включенный основной зеленый или красный сигнал светофора, быть направлена в сторону приближающихся транспортных средств и начинаться на расстоянии не менее 1 м от корпуса светофора.
5.3.5 Специальные технические средства, работающие в автоматическом режиме и имеющие функции фото- и киносъемки, видеозаписи, в местах расположения пешеходных переходов должны применяться при повышенном риске возникновения дорожно-транспортных происшествий (ДТП) с участием пешеходов для обеспечения контроля за дорожным движением по
приложению А.
5.4 Регулируемые пешеходные переходы. Оптимизация работы светофоров
5.4.1 Требования к регулированию движения пешеходов
5.4.1.1 Регулируемые пешеходные переходы устраивают при наличии условий для введения на них светофорного регулирования по
ГОСТ Р 52289.
5.4.1.2 Светофорное регулирование с применением вызывной фазы для движения пешеходов на наземном пешеходном переходе следует вводить по
ГОСТ Р 52289.
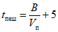
5.4.1.3 Минимальное время горения разрешающего сигнала светофора для пешеходов
tпеш, с, рассчитывают по формуле

, (1)
где B - ширина проезжей части, м;
Vп - расчетная скорость движения пешехода по
СП 396.1325800, равная 1,17 м/с. Допускается использовать
Vп = 1,3 м/с - до перерасчета цикла светофорного регулирования, равное 0,7 - 0,9 м/с (по
ГОСТ Р 59432) - в случаях расположения пешеходных переходов на дорогах у объектов притяжения маломобильных групп населения.
Допускается продлевать время горения разрешающего сигнала при применении систем автоматического обнаружения пешеходов в зоне пешеходных переходов, расположенных, в том числе, у медицинских и других социальных учреждений.
5.4.1.4 На регулируемых пешеходных переходах без ТВП, расположенных на перегонах дорог и улиц, время ожидания пешеходами разрешающего сигнала светофора tож не должно превышать:
- 60 с при интенсивности движения транспортных средств не более 700 ед./ч на полосу движения;
- 90 с при интенсивности движения транспортных средств более 700 ед./ч на полосу движения.
На таких пешеходных переходах применяют табло обратного отсчета времени горения красного и зеленого сигналов пешеходных светофоров по
ГОСТ Р 52289. Табло обратного отсчета времени должно соответствовать
ГОСТ Р 51671.
5.4.1.5 На регулируемых пешеходных переходах применяют звуковые и тактильные сигналы для лиц с нарушением функций зрения и лиц с нарушением функций зрения и слуха по
ГОСТ Р ИСО 23600 в местах по ГОСТ Р 52289-2019
(пункт 7.5.3). В таких местах также рекомендуется применять системы радиоинформирования и звукового ориентирования по
ГОСТ Р 59431 и
ГОСТ Р 59812.
5.4.1.6 Если интенсивность движения пешеходов в часы пик составляет не менее 150 пеш./ч по каждому из трех и более направлений в зоне пересечения, в цикле светофорного регулирования рекомендуется выделять фазу для пешеходов.
5.4.1.7 На регулируемых перекрестках при наличии в циклах всех программ светофорного регулирования выделенной фазы для одновременного перехода пешеходами проезжих частей допускается устраивать диагональные пешеходные переходы.
Диагональные пешеходные переходы должны быть оборудованы пешеходными светофорами
П.1 или
П.2 по ГОСТ Р 52282 и
разметкой 1.14.3.
5.4.1.8 В случае, если расчетная ширина пешеходного перехода составляет 6 м и более, обязательно должна применяться
разметка 1.14.2.
5.4.2 Оптимизация работы светофоров на регулируемых пешеходных переходах с помощью табло вызывного пешеходного и систем автоматического обнаружения пешеходов
5.4.2.1 ТВП применяют при светофорном регулировании на пешеходном переходе по
ГОСТ Р 52289 для сокращения времени задержек транспортных средств и пешеходов.
5.4.2.2 ТВП рекомендуется применять в местах концентрации ДТП и на потенциальных аварийно-опасных участках, расположенных на регулируемых пешеходных переходах, где в качестве причины ДТП зафиксирован выход пешехода на пешеходный переход при запрещающем для него сигнале светофора.
5.4.2.3 При размещении ТВП должна быть обеспечена видимость приближающегося транспорта для пешеходов, обратившихся лицом к лицевой поверхности ТВП (приложение Б,
рисунок Б.1). Кнопку ТВП размещают на высоте от 0,8 до 1,2 м от поверхности тротуара или пешеходной дорожки.
При наличии на переходе с ТВП островка безопасности на его защитном элементе устанавливают дополнительное ТВП.
При применении ТВП обеспечивают информирование пешеходов о необходимости нажатия на кнопку ТВП для вызова зеленого сигнала пешеходного светофора на самом ТВП с помощью отображения светового сообщения "Нажмите", установки совместно с ТВП специальной таблички с соответствующим текстовым сообщением или иным способом.
5.4.2.5 В случае совместной работы светофоров
П.1 или
П.2 со светофорами
Т.9 по ГОСТ Р 52282 [см. приложение Б,
рисунок Б.3 б) настоящего стандарта] на ТВП могут быть предусмотрены сигналы, аналогичные красному и зеленому сигналам светофоров уменьшенного размера [приложение Б,
рисунок Б.3 а)].
До нажатия пешеходом кнопки ТВП эти сигналы должны находиться в отключенном состоянии, а при нажатии на кнопку должен загораться сигнал, соответствующий красному сигналу пешеходного светофора.
5.4.2.6 Коэффициент яркости

для зеленого сигнала должен быть не менее 10%, для красного цвета - не менее 7%.
5.4.2.7 На светофорном объекте без табло обратного отсчета времени ТВП следует применять с таймером, отображающим время, оставшееся до включения зеленого сигнала пешеходного светофора.
5.4.2.8 На пешеходных переходах, расположенных на перегонах улиц, промежуточный такт перед пешеходной фазой цикла светофорного регулирования по
ГОСТ Р 52289 должен начинаться не более чем через 30 с после нажатия кнопки ТВП. Если это время не может быть обеспечено при расчете светофорного цикла, должно быть введено программное регулирование (без ТВП).
5.4.2.9 При бесконфликтном светофорном регулировании для динамического изменения длительности фаз могут применяться системы автоматического обнаружения пешеходов. При этом должен обеспечиваться режим работы светофорной сигнализации, аналогичный ее режиму работы при наличии вызывной фазы для движения пешеходов.
5.4.3 Обеспечение безопасности пешеходов при конфликтном регулировании
5.4.3.1 Движение пешеходов и поворачивающих транспортных средств, пересекающих направление движения пешеходов в одной фазе светофорного цикла при конфликтном регулировании, допускается при условиях, установленных
ГОСТ Р 52289, в случаях если необходимо:
- сократить время ожидания пешеходов;
- увеличить пропускную способность регулируемых пересечений за счет сокращения времени задержек транспортных средств при излишнем времени ожидания разрешающего сигнала светофора на пешеходных переходах с выраженной неравномерностью пешеходного потока низкой интенсивности.
5.4.3.2 При конфликтном регулировании применяют информационные световые секции по
ГОСТ Р 52289 (см. приложение Б,
рисунок Б.4 настоящего стандарта).
5.4.3.3 При применении конфликтного регулирования должна быть обеспечена видимость пешеходного перехода для водителей поворачивающих транспортных средств от линии
разметки 1.12.
5.4.3.4 При конфликтном регулировании длительность пешеходной фазы должна состоять из времени горения разрешающего сигнала для пешеходов до включения разрешающего сигнала для транспортных средств (бесконфликтный этап) и после включения этого сигнала (конфликтный этап).
Разрешающий сигнал светофора для пешеходов должен включаться раньше разрешающего сигнала для поворачивающих транспортных средств на время от 5 до 10 с (длительность бесконфликтного этапа).
Длительность бесконфликтного этапа для пропуска пешеходов TпешБ, с, рассчитывают по формуле

, (2)
где Lпер - длина пешеходного перехода, м;
| | ИС МЕГАНОРМ: примечание. В официальном тексте документа, видимо, допущена опечатка: имеется в виду п. 5.4.1.3, а не п. 5.3.1.3. | |
Vп - расчетная скорость движения пешехода по
5.3.1.3.
При наличии островка безопасности на пешеходном переходе за Lпер принимают расстояние между краем проезжей части, которую пересекает пешеход, и ближайшей к нему границей островка.
Если расчетное значение по
формуле (2) выходит за границы интервала 5 - 10 с, принимают ближайшее значение границы интервала (5 или 10 с).
5.4.3.5 При конфликтном регулировании следует предусматривать возможность увеличения цикла светофорного регулирования до 120 с и более для перехода на бесконфликтное регулирование.
5.5 Нерегулируемые пешеходные переходы. Способы повышения безопасности движения пешеходов
5.5.1 Снижение скорости движения транспортных средств у нерегулируемых пешеходных переходов
5.5.1.1 Максимальную скорость транспортных средств у нерегулируемых пешеходных переходов рекомендуется ограничивать до значений, не превышающих:
- 20 км/ч внутри микрорайонов (с помощью
знака 5.21 "Жилая зона");
- 30 км/ч на улицах и дорогах местного значения (по
СП 42.13330);
- 30 или 40 км/ч на магистральных улицах регулируемого движения, на магистральных улицах районного значения и на межмагистральных территориях;
- 50 км/ч на участках дорог категорий II - V, проходящих через населенные пункты;
- 70 км/ч на дорогах категорий II - V вне населенных пунктов.
5.5.1.2 При ограничении скорости движения в границах населенных пунктов до 40 км/ч и менее на дорогах и улицах с числом полос для движения менее четырех перед нерегулируемыми пешеходными переходами следует применять искусственные неровности (ИН) или совмещать пешеходные переходы с ИН с учетом их характеристик по
5.5.3 и
5.5.2 соответственно.
5.5.2 Размещение пешеходного перехода на искусственной неровности (приподнятый пешеходный переход)
5.5.2.1 Наземный нерегулируемый пешеходный переход может быть размещен на монолитной или сборно-разборной трапециевидной ИН (приложение Б,
рисунок Б.5) вблизи детских и юношеских учебно-воспитательных учреждений, детских площадок на улицах местного значения в жилых районах городов с обеспечением прохода пешеходов по центральной горизонтальной площадке ИН шириной не менее 4,5 м.
При этом выход пешеходов на наклонный участок возвышающегося пешеходного перехода рекомендуется ограничивать с помощью устройства газонов, посадки кустарника высотой не более 0,5 м на подходах к пешеходному переходу или установки ограничивающих пешеходных ограждений на тротуаре высотой не более 0,8 по
ГОСТ Р 52289 с разрывом на ширину пешеходного перехода.
5.5.2.2 Сборно-разборные ИН по физико-механическим показателям материалов должны соответствовать требованиям
ГОСТ 32964.
Коэффициент сцепления поверхности ИН должен соответствовать требованиям
ГОСТ Р 50597 для покрытий проезжей части.
Горизонтальные площадки сборно-разборных и монолитных ИН, совмещенных с наземными нерегулируемыми пешеходными переходами, должны иметь
разметку 1.14.1, фотоколориметрические характеристики которой должны соответствовать требованиям
ГОСТ Р 51256. При этом расстояние от границы разметки до границы горизонтальной площадки ИН должно быть не менее 0,25 м.
5.5.2.3 Размеры трапециевидных ИН при совмещении их с пешеходным переходом выбирают в соответствии по таблицей 2.
Таблица 2
Размеры ИН при совмещении с пешеходным переходом
Длина, м | Максимальная высота гребня, м |
горизонтальной площадки | наклонного участка |
Не менее 4,5 | 2,25 | 0,07 |
5.5.2.4 Пешеходные переходы, совмещенные с ИН, должны быть обустроены дорожными знаками по
ГОСТ Р 52290, дорожной разметкой по
ГОСТ Р 51256 в соответствии с правилами их применения по
ГОСТ Р 52289, а участок тротуара у пешеходного перехода понижен до уровня пешеходного перехода на ИН.
5.5.3 Принудительное снижение скорости движения транспортных средств в зонах пешеходных переходов с помощью устройства искусственных неровностей. Применение шумовых полос
Перед пешеходными переходами рекомендуется применять сборно-разборные искусственные неровности.
Пешеходные переходы с ИН на подъездах к ним должны быть обустроены дорожными знаками и разметкой в соответствии с требованиями
ГОСТ Р 52289.
5.5.3.2 ИН допускается применять в местах концентрации ДТП с участием пешеходов на пешеходных переходах, а также для успокоения движения транспортных средств в зонах, обозначенных
знаком 5.31 "Зона с ограничением максимальной скорости".
Обустройство пешеходных переходов ИН рекомендуется осуществлять, в первую очередь, при ликвидации мест концентрации ДТП и для профилактики ДТП при размещении переходов:
- на магистральных улицах районного значения и улицах и дорогах местного значения (по
СП 42.13330) с двумя полосами движения;
- у границ нерегулируемых пересечений;
- вблизи детских площадок, на улицах местного значения в жилых районах.
5.5.3.3 ИН устраивают за 10 - 15 м до наземных нерегулируемых пешеходных переходов (приложение Б,
рисунок Б.6).
5.5.3.4 На дорогах и улицах, на которых осуществляется движение безрельсовых маршрутных транспортных средств, предпочтительно применять ИН типа Б по
ГОСТ 32964 (см. приложение Б,
рисунок Б.7 настоящего стандарта).
5.5.3.5 В случаях, не предусмотренных
5.5.3.2, допускается перед пешеходными переходами применять поперечные шумовые полосы. При этом уровень шума не должен превышать допустимых значений по
[3].
5.5.4 Улучшение видимости пешеходов и пешеходных переходов
5.5.4.1 На пешеходных переходах дорог и улиц в одном уровне с проезжей частью должна быть обеспечена видимость пешехода в зонах треугольников видимости для условий "пешеход - транспорт" по ГОСТ Р 50597-2017
(подраздел 7.1).
Размеры катетов треугольника видимости для условий "пешеход - транспорт" для улиц при скоростях движения транспортных средств, не оговоренных
ГОСТ Р 50597, определяют по
СП 396.1325800. Для дорог минимальное расстояние видимости для остановки определяют по
СП 34.13330, минимальное расстояние боковой видимости пешехода
Sбок, м, определяют по формуле

, (3)
где Vпеш - расчетная скорость движения пешехода по пешеходному переходу, равная 4,2 км/ч (1,17 м/с);
Vавт - расчетная скорость движения транспортного средства, км/ч;
Sост - расчетное расстояние видимости из условия остановки перед препятствием, м.
В зоне треугольника видимости:
- остановка и стоянка автомобилей транспортных средств должны быть запрещены.
В условиях сложившейся капитальной застройки, не позволяющей обеспечить необходимые треугольники видимости, безопасное движение пешеходов следует обеспечивать техническими средствами организации дорожного движения по
ГОСТ Р 52289, а также иными средствами и способами согласно настоящему стандарту.
Отступление от соблюдения требований к треугольникам видимости допускается в случаях сужения проезжей части по
8.1.4.4.
5.5.4.2 Пешеходный переход рекомендуется располагать за границей нерегулируемого перекрестка на второстепенной улице или дороге, в направлении которой разрешен поворот направо.
5.5.4.4 Опоры стационарного электрического освещения должны соответствовать требованиям
ГОСТ 32947.
Для улучшения видимости пешеходов на пешеходном переходе со стороны приближающихся транспортных средств рекомендуется размещать опоры искусственного освещения со смещением относительно границ пешеходного перехода на расстояние от 2 до 4 м навстречу движению (приложение Б,
рисунок Б.8).
5.5.4.5 Для улучшения видимости пешеходов и повышения освещенности покрытия пешеходного перехода рекомендуется на нерегулируемых пешеходных переходах дорог и улиц применять дополнительные источники освещения в виде светильников с цветовой температурой от 3000 до 5500 К, размещаемых на отдельных или имеющихся опорах освещения или стойках. Дополнительные источники освещения не должны вызывать ослепления участников дорожного движения.
5.5.4.6 На нерегулируемых пешеходных переходах в одном уровне с проезжей частью, расположенных на аварийно-опасных или на потенциально аварийно-опасных участках дорог и улиц допускается применять световую проекцию горизонтальной дорожной
разметки 1.14.1,
1.14.2 и желтого заполнения (при его наличии) по
ГОСТ Р 51256, которая должна полностью совпадать с контурами линий разметки и желтого заполнения, соответствовать им по цвету и не ослеплять пешеходов и водителей (приложение Б,
рисунок Б.9).
Освещение тротуаров или пешеходных дорожек непосредственно у пешеходного перехода со световой проекцией на расстоянии не менее ширины пешеходной части тротуара должно соответствовать требованиям по освещенности пешеходных переходов для улиц по ГОСТ Р 55706-2013
(пункт 5.3.2) и ГОСТ Р 55844-2013
(пункт 4.2), для дорог по ГОСТ 33176-2014
(пункт 4.9). При этом на неосвещаемых участках дорог и улиц световую проекцию белого цвета следует применять также для освещения тротуаров или пешеходных дорожек на расстоянии не менее 1,5 м от пешеходного перехода.
5.5.5 Обустройство пешеходных переходов светодиодными маячками
5.5.5.1 Для дополнительного обозначения пешеходного перехода допускается применение сигнальных светодиодных маячков (далее - маячков) вместо световозвращателей типа КД3.
Маячки должны соответствовать требованиям
ГОСТ 32866 по стойкости к механическим воздействиям и стойкости к статическому воздействию жидкостей и климатическим факторам.
Маячки могут работать как в мигающем, так и в постоянном режиме, в темное время суток или круглосуточно. Частота мигания маячка должна быть равной частоте мигания дорожных светофоров по
ГОСТ Р 52289.
5.5.5.2 Сила света маячка в темное время суток должна быть в диапазоне от 0,3 кд до 5 кд включительно. При работе маячков в дневное время суток их сила света должна быть не менее 17 кд. Свечение маячков не должно ослеплять водителей транспортных средств.
Коэффициент яркости должен соответствовать коэффициенту яркости для дорожных знаков с внутренним освещением по
ГОСТ Р 52290 для белого и желтого цветов соответственно.
5.5.5.3 Расстояние видимости работающих маячков должно быть не менее 300 м. Не допускается наличие видимых разрушений и деформаций более 25% площади маячка.
Корпус маячка должен быть квадратным или круглым с размером стороны или диаметром от 120 до 160 мм.
5.5.5.4 Маячки применяют аналогично световозвращателям типа КД3 по
ГОСТ 33151. Маячки устанавливаются в покрытие проезжей части с обеих сторон от разметки пешеходного перехода.
Допускается применение маячков белого или желтого цветов. Маячки одного цвета устанавливают в начале и в конце каждой линии разметки пешеходного перехода по ее оси.
При совместном применении маячков со светофорами
Т.7 их мигание должно быть синхронным.
5.6 Обеспечение безопасности пешеходов на остановочных пунктах трамвая
| | ИС МЕГАНОРМ: примечание. В официальном тексте документа, видимо, допущена опечатка: таблица 6 отсутствует. | |
5.6.1 В зоне остановочных пунктов трамваев, расположенных на участках улиц и дорог с одной полосой для движения в одном направлении и на которых посадка и высадка пассажиров осуществляется с проезжей части, проезжая часть должна быть приподнята на длину остановочной площадки. Параметры приподнятого участка должны соответствовать значениям, указанным в таблице 6.
5.6.2 На участках улиц и дорог с двумя и более полосами для движения в одном направлении допускается располагать остановочные пункты трамваев при условии светофорного регулирования для движения пешеходов и устройства посадочной площадки вдоль трамвайных путей.
6 Исключение выхода пешеходов на проезжую часть в не предназначенных для ее перехода местах
6.1 Для исключения выхода пешеходов для перехода проезжей части вне обустроенных пешеходных переходов устраивают газон вдоль края проезжей части, применяют ограничивающие пешеходные ограждения по ГОСТ Р 52289-2019
(пункт 8.1.29) или вместо ограждений устраивают сплошную посадку кустарника вдоль края проезжей части по ГОСТ Р 52766-2007
(подпункт 4.5.1.9). При этом сплошная посадка кустарника предпочтительнее.
Ограничивающие пешеходные ограждения допускается не устанавливать:
- на разделительной полосе - при наличии на ней удерживающих ограждений для автомобилей;
- на закруглении перекрестка - между выходами на пешеходные переходы;
- в зонах парковочных мест, оборудованных соответствующими техническими средствами организации дорожного движения.
6.2 Конструкции ограничивающих пешеходных ограждений должны соответствовать требованиям
ГОСТ Р 59401.
6.3 На участке проезжей части, вдоль которой установлены пешеходные ограждения или имеется посадка кустарника, при отсутствии организованной парковки следует запрещать остановку транспортных средств с помощью соответствующих дорожных знаков и/или разметки.
6.4 Не допускается устраивать пешеходные переходы напротив расположенных вблизи проезжей части входов в магазины, входов на территории предприятий, школ или иных детских учреждений. В таких случаях пешеходные переходы следует располагать со смещением от входа в объекты на 20 м навстречу движению транспортных средств по ГОСТ 32944-2014
(рисунок Б.2). При этом такие пешеходные переходы обустраивают по
6.1.
6.5 На дорогах и улицах с разделительной полосой шириной более 4 м следует устраивать Z-образные (разнесенные в плане на 8 - 10 м) нерегулируемые пешеходные переходы с помощью устройства между ними прохода, выделенного ограничивающими пешеходными ограждениями по
ГОСТ 33127 для обеспечения движения пешеходов по разделительной полосе навстречу движению транспортных потоков (приложение Б,
рисунок Б.10). При этом ширина прохода должна быть не менее 1,5 м.
Ограничивающие пешеходные ограждения устанавливают по периметру прохода с разрывами в местах начала пешеходного перехода шириной не менее ширины пешеходного перехода. При этом ограждения на участке вдоль проезжей части устанавливают на расстоянии от лицевой поверхности бордюрного камня или от кромки проезжей части по
ГОСТ Р 52289.
При этом, в случае отсутствия на разделительной полосе дорожных удерживающих ограждений, по оси разделительной полосы устанавливают ограничивающие пешеходные ограждения на протяжении не менее 20 м перед ближней границей перехода по ходу движения.
7 Обустройство пешеходных переходов средствами обеспечения безопасности пешеходов
7.1 Устройство островков безопасности и защитных элементов
Рекомендуется устраивать островки безопасности на дорогах и улицах с числом полос не менее двух в одном направлении.
Для размещения островка безопасности допускается уменьшать ширину полос движения на улицах до 3,0 м.
На улицах и дорогах без конструктивно выделенной разделительной полосы для защиты пешеходов, находящихся на островках безопасности, перед ними должны устраиваться защитные элементы.
7.1.2 Островки безопасности на нерегулируемых пешеходных переходах рекомендуется устраивать:
- на магистральных улицах районного значения, улицах районного и местного значения с шириной полосы движения не менее 3,25 м [приложение Б,
рисунок Б.11 а)];
- на наземных пешеходных переходах остановочных пунктов маршрутных транспортных средств на двухполосных улицах в случаях, если в их составе по
ГОСТ Р 52766 не предусмотрены заездные карманы [приложение Б,
рисунок Б.11 б)];
- на наземных пешеходных переходах двухполосных улиц при уровне загрузки от 0,7 и выше по одному из направлений движения;
- на наземных пешеходных переходах, расположенных на улицах и дорогах, проходящих вдоль территорий детских и спортивных учреждений, детских площадок.
7.1.3 Ширина островка безопасности, выделенного разметкой, должна быть не менее 1,5 м, длина (вдоль оси проезжей части) - не менее ширины пешеходного перехода, увеличенной на 1 м. Ширина приподнятого островка безопасности должна быть не менее 2,0 м.
Если на регулируемых пешеходных переходах длительность такта светофорной сигнализации, разрешающего движение пешеходов по пешеходному переходу, рассчитывается из условия пересечения пешеходами половины проезжей части (от тротуара до островка безопасности), ширину островка безопасности Bо, м, вычисляют по формуле

, (4)
где Nпеш - интенсивность движения пешеходов по пешеходному переходу в обоих направлениях, пеш./ч;
Tц - длительность цикла светофорного регулирования, с;
f - площадь, занимаемая одним пешеходом на островке безопасности (0,3 м2), м2;
Bп - ширина пешеходного перехода, м.
Перед островком безопасности на улицах устраивают направляющие островки с помощью ограничивающей линии
разметки 1.2 с заполнением линиями
разметки 1.16.1 длиной 20 - 30 м (приложение Б,
рисунки Б.11,
Б.12). На дорогах для отклонения транспортных потоков перед островком безопасности применяют линию
разметки 1.2 с отгоном от оси дороги по
ГОСТ 33151 с заполнением линиями
разметки 1.16.1. В пределах направляющих островков рекомендуется размещать фронтальные ограждения по
ГОСТ Р 58351.
7.1.4 Ширина стороны защитного элемента, примыкающей к островку безопасности, должна быть равна ширине островка безопасности, а его длина - не менее 1,5 м. Высота защитного элемента (рефюжи) должна быть на улицах от 0,15 до 0,30 м, на дорогах - по
ГОСТ 33151 [см. приложение Б,
рисунок Б.13 а), б) настоящего стандарта].
Защитные элементы должны быть обозначены дорожной
разметкой 2.7 по ГОСТ Р 51256 (за исключением сборно-разборных) и тумбами диаметром 0,2 - 0,5 м с характеристиками по
ГОСТ 32759, высотой не более 0,75 м с вертикальной
разметкой 2.3 со световозвращающими полосами белого цвета из материала типа В по
ГОСТ Р 52290 и размещенными на них дорожным
знаком 4.2.1 "Объезд препятствия".
По периметру защитных элементов рекомендуется устанавливать не менее трех световозвращателей типа КД3-Б1 или КД4-Б по
ГОСТ Р 50971 или
ГОСТ 32866.
Рекомендуется устанавливать тумбы с искусственным освещением. Допускается не устанавливать тумбы на защитных элементах в случае установки дорожных знаков на травмобезопасных опорах по
ГОСТ 32948.
На улицах допускается применять:
- модульные (сборно-разборные) конструкции защитного элемента;
- делиниаторы с пластинами по
ГОСТ 32758 или столбиками С2П, С3П по
ГОСТ 32843 высотой 0,5 м, которые устанавливают по предполагаемой границе защитного элемента с шагом пластин/столбиков не более 0,5 м (приложение Б,
рисунок Б.12).
Боковые поверхности сборно-разборного защитного элемента или делиниаторов должны быть серого цвета, на них должны быть нанесены полосы белого или желтого цвета из световозвращающих материалов класса III по
ГОСТ 32945 длиной 0,40 м и расстоянием между ними 0,20 м [приложение Б,
рисунок Б.11 б)].
7.1.5 На закруглениях перекрестков улиц и дорог в местах расположения пешеходных переходов рекомендуется устраивать бордюрные ограждения из отдельных бортовых (бордюрных) камней высотой 0,3 - 0,4 м по
ГОСТ 32961,
ГОСТ 32018 или
ГОСТ 6665.
7.1.6 В зимний период защитные элементы следует очищать от снега.
7.2 Установка дорожных пластин на подъездах к пешеходному переходу
7.2.1 На аварийно-опасных участках дорог, а также вблизи детских и юношеских учебно-воспитательных учреждений, детских площадок на дорогах и улицах без разделительной полосы рекомендуется устанавливать дорожные пластины по
ГОСТ 32758 из полимерных материалов по оси проезжей части с обеих сторон перехода без островка безопасности.
Пластины устанавливают при наличии
разметки 1.3 по ГОСТ Р 52289 на дорогах с двумя, тремя и четырьмя полосами движения, на магистральных улицах районного значения и улицах местного значения.
7.2.2 На дорогах и улицах с двумя и тремя полосами движения устанавливают по три пластины по оси проезжей части от начала
разметки 1.14.1 с каждой стороны пешеходного перехода с шагом 5 м.
На дорогах и улицах с четырьмя полосами движения без разделительной полосы устанавливают по три пластины по оси проезжей части с каждой стороны пешеходного перехода с шагом 10 м. Первую от пешеходного перехода пластину устанавливают на расстоянии 1,0 м до ближайшего края разметки, обозначающей пешеходный переход.
Пластины на дорогах и улицах с четырьмя полосами движения могут быть установлены как непосредственно на покрытие проезжей части, так и на делиниаторы (приложение Б,
рисунок Б.14). В местах установки делиниаторов
разметку 1.3 допускается не наносить.
7.2.3 Пластины устанавливают под прямым углом к оси проезжей части таким образом, чтобы нижний край наклонных полос был направлен в сторону участка проезжей части, по которому осуществляется движение транспортных средств, приближающихся к переходу.
7.2.4 Высота пластин, устанавливаемых перед нерегулируемыми пешеходными переходами, должна быть не более 1100 мм, ширина - от 226 до 250 мм.
Пластины следует применять в сочетании с сигнальными фонарями по
ГОСТ 32757, которые должны включаться с наступлением вечерних сумерек при естественной освещенности менее 20 лк.
Фонари с рассеивателями круглой формы желтого цвета могут работать как в мигающем режиме с частотой мигания 1 миг/с, так и в постоянном режиме.
7.2.5 Пластины должны быть надежно закреплены на покрытии проезжей части. Крепление пластин должно исключать их падение. При применении пластин с делиниаторами делиниаторы могут быть установлены без разрывов либо с разрывами не более 1 м.
7.2.6 На участках двухполосных дорог вне населенных пунктов вместо дорожных пластин по оси проезжей части в зоне нерегулируемого пешеходного перехода допускается устанавливать сигнальные столбики С2П или С3П по
ГОСТ 32843 из полимерных материалов на протяжении 40 м до и после пешеходного перехода с шагом 5 м при ширине полосы движения 3,5 м и менее.
7.3 Устройство контрастного покрытия проезжей части перед пешеходными переходами
7.3.1 Контрастное покрытие проезжей части рекомендуется применять перед нерегулируемыми пешеходными переходами на участках дорог и улиц с интенсивным движением пешеходов для профилактики ДТП с участием пешеходов.
7.3.2 Контрастное покрытие может устраиваться при помощи цветных покрытий противоскольжения по
ГОСТ 32753 или по
7.3.5.
Перед нерегулируемыми пешеходными переходами применяют покрытие противоскольжения красного цвета.
На проезжей части дорог и улиц цветное покрытие противоскольжения следует устраивать на всю ширину полосы движения транспортных средств.
7.3.3 Дорожная разметка на покрытии противоскольжения должна соответствовать проекту организации дорожного движения в месте ее нанесения. При этом горизонтальную дорожную разметку наносят в специально оставленные для нее разрывы при устройстве покрытия.
При устройстве покрытия противоскольжения следует соблюдать отступ от 0,1 до 0,15 м от линий разметки, обозначающей границы полос движения и разметки пешеходного перехода.
7.3.4 Протяженность цветного покрытия противоскольжения выбирают по разрешенной скорости движения транспортных средств на подъездах к пешеходному переходу по таблице 3.
Таблица 3
Протяженность цветного покрытия противоскольжения
на подъезде к пешеходному переходу
Разрешенная скорость движения транспортных средств перед пешеходным переходом, км/ч | Протяженность цветного покрытия противоскольжения L, м |
До 40 включ. | От 10 до 20 включ. |
Св. 40 до 60 включ. | От 30 до 70 включ. |
Св. 60 до 90 включ. | От 80 до 120 включ. |
7.3.5 Допускается устраивать контрастное покрытие из булыжников, колотого камня, брусчатки или иных материалов с выраженной текстурой на улицах и дорогах с двумя полосами движения, отнесенных к объектам культурного наследия, при обеспечении эксплуатационных характеристик покрытия по
ГОСТ Р 50597. При этом покрытие может быть выполнено на подъездах к пешеходным переходам или на самих пешеходных переходах.
Коэффициент сцепления покрытия из булыжников, колотого камня, брусчатки и т.д. должен быть не менее 0,3.
7.3.6 Контрастное покрытие из булыжника, колотого камня, брусчатки или иных материалов с выраженной текстурой на подъездах к пешеходному переходу должно иметь протяженность не менее 10 м и устраиваться по всей ширине проезжей части.
Рекомендуется совмещать такое покрытие с искусственной неровностью с трапециевидным профилем и размещенным на ней пешеходным переходом.
7.4 Обустройство пешеходных переходов наружными тактильными наземными указателями
7.4.2 Назначение, размеры, типы рифления и места расположения наружных предупреждающих ТНУ приведены в таблице 4.
Таблица 4
Наименование и назначение указателя | Размеры | Тип рифления | Место расположения |
Локальный предупреждающий указатель "Внимание, по ходу движения - регулируемый или нерегулируемый наземный пешеходный переход" | Указатель глубиной (длиной) от 500 до 600 мм включ. и шириной, равной ширине перехода, обустроенный на тротуаре перед началом перехода | Продольные рифы, ориентированные на противоположную сторону перехода | На расстоянии 300 мм от кромки тротуара перед выходом на пешеходный переход |
Локальный предупреждающий указатель "Внимание, прямо по ходу движения - подземный или надземный пешеходный переход" | Указатель глубиной (длиной) от 500 до 600 мм включ. и шириной, равной ширине участка лестницы, разрешенный для движения инвалидов | Рифы типа усеченных конусов, усеченных куполов, цилиндров, расположенных в линейном порядке | На тротуаре на расстоянии 300 мм от кромки приподнятой площадки надземного или подземного пешеходного перехода, а при ее отсутствии - от кромки проступи первой ступени лестницы |
Локальный предупреждающий указатель "Внимание, по ходу движения - отдельно стоящая опора (светофор, столб, несущая конструкция) или дерево, находящиеся по ходу движения" | Указатель глубиной (длиной) от 500 до 600 мм включ., обустроенный перед одиночным вертикальным препятствием или вокруг него, в зависимости от условий движения пешеходов в зоне препятствия. Указатель перед препятствием должен иметь ширину не менее 60 см | Рифы типа усеченных конусов, усеченных куполов, цилиндров, расположенных в шахматном порядке | Перед опорами на расстоянии 300 мм от их внешней границы. Тактильный указатель должен выступать за пределы препятствия со стороны основного потока движения по тротуару на 300 мм |
7.4.3 Поверхность ТНУ должна обладать противоскользящими свойствами, сохраняющимися при движении в любых направлениях, отличаться по цвету от прилегающей поверхности дорожного покрытия или тротуара, иметь определенный тип рифления. Высоту рифов для наружных предупреждающих ТНУ принимают равной 5 мм.
7.4.4 ТНУ должны быть надежно закреплены, не должны сдвигаться и/или задираться при контакте с обувью или средством реабилитации, а также при уборке с использованием механизированных уборочных средств щеточного типа и должны иметь повышенную износостойкость к интенсивным механическим воздействиям.
7.4.5 Допускается вместо устройства ТНУ изменять фактуру поверхности подходов к пешеходным переходам на улицах при условии обеспечения характеристик, аналогичных характеристикам ТНУ.
8 Обеспечение безопасности движения пешеходов в жилой застройке
8.1 Безопасность пешеходов на территориях, не обозначенных знаками "Жилая зона". Успокоение движения
8.1.1 Общие требования
Для обеспечения безопасности движения пешеходов на территориях жилой застройки (не обозначенных
знаками 5.21 "Жилая зона" или
5.39 "Велосипедная зона") применяют следующие методы успокоения движения:
- устройство приподнятых пересечений;
- устройство кольцевых пересечений;
- сокращение числа полос движения или уменьшение их ширины;
- канализирование движения на пересечениях, в том числе с помощью перекрытия сквозного движения.
Указанные меры обеспечения безопасности дорожного движения при необходимости допускается применять и на территориях, обозначенных
знаками 5.21 "Жилая зона" или
5.39 "Велосипедная зона".
8.1.2 Устройство приподнятых пересечений
8.1.2.1 Приподнятые пересечения рекомендуется устраивать при отсутствии на них светофорного регулирования на магистральных улицах районного значения, улицах и дорогах местного значения в рамках работ по реконструкции, капитальному ремонту или ремонту пересечения.
8.1.2.2 На подъездах к приподнятому пересечению при помощи
знаков 3.24 должно быть введено ограничение скорости не более 40 км/ч.
8.1.2.3 Технические параметры приподнятого пересечения для улиц определяют по таблице 5 в зависимости от ограничения максимальной скорости.
Таблица 5
Технические параметры приподнятого пересечения для улиц
Максимально допустимая скорость движения, указываемая на знаке, км/ч | Длина наклонного участка, м | Максимальная высота пересечения, м |
20 | 1,0 - 1,15 (1,5 - 2,0) | 0,08 |
30 | 1,0 - 1,40 (2,0 - 2,5) |
40 | 1,75 - 2,25 (4,0 - 4,5) |
Примечание - В скобках указаны значения для улиц, по которым осуществляется регулярное движение безрельсовых маршрутных транспортных средств. |
Горизонтальная площадка должна занимать всю площадь пересечения.
Поперечный уклон приподнятого пересечения должен обеспечивать водоотвод от центра пересечения.
8.1.2.4 Для предупреждения водителей о приближении к приподнятому пересечению следует применять дорожный
знак 1.17 "Искусственная неровность". Перед наклонными участками следует наносить
разметку 1.25.
Пешеходные переходы размещают на горизонтальной площадке пересечения.
Для дополнительного информирования участников дорожного движения рекомендуется применять дорожную
разметку 1.24.1 и
1.24.2, дублирующую
знаки 1.17 "Искусственная неровность" и
3.24 "Ограничение максимальной скорости" соответственно.
8.1.2.5 На горизонтальной площадке и наклонных участках пересечения рекомендуется устраивать цветные покрытия противоскольжения по
ГОСТ 32753. На пересечениях улиц с двумя полосами движения в жилой застройке допускается применять материалы, по цвету и структуре отличающиеся от покрытия пересекающихся дорог (например, плитка, брусчатка).
8.1.3 Устройство кольцевых пересечений
8.1.3.1 Кольцевые пересечения рекомендуется устраивать на нерегулируемых пересечениях улиц в жилых районах.
При устройстве кольцевых пересечений по
СП 396.1325800 на территориях, не обозначенных
знаками 5.21 "Жилая зона", их обустраивают пешеходными переходами и техническими средствами организации движения по
ГОСТ Р 52289 (см. приложение Б,
рисунок Б.16 настоящего стандарта).
8.1.3.2 В жилой застройке расчетную скорость движения на участке въезда на кольцевое пересечение принимают не более 30 км/ч, на мини-кольцевое пересечение - не более 15 км/ч.
На существующих пересечениях в одном уровне в стесненных условиях на улицах и дорогах местного значения допускается устройство мини-кольцевых пересечений с радиусом центрального островка от 2 до 5 м (приложение Б,
рисунок Б.17). При этом при четырех примыкающих направлениях диаметр центрального островка мини-кольцевых пересечений рекомендуется устраивать не менее 4,0 м (приложение Б,
рисунок Б.18). При трех примыкающих направлениях его диаметр может быть уменьшен до 2,0 - 3,0 м.
8.1.3.3 Пути движения пешеходов и велосипедные дорожки следует предусматривать за пределами кольцевых пересечений.
При интенсивном движении транспортных средств и пешеходов рекомендуется вводить на кольцевом пересечении светофорное регулирование по
ГОСТ Р 52289.
Для обеспечения защиты пешеходов на пешеходных переходах, расположенных на въездах на кольцевые пересечения и пересекающих направляющие островки, необходимо на направляющих островках устраивать островки безопасности на расстоянии не менее 6,0 м от границы полосы движения на кольцевом пересечении (приложение Б,
рисунок Б.19). Островки безопасности обустраивают наземными тактильными указателями по
ГОСТ Р 52875.
8.1.4 Уменьшение ширины проезжей части с сокращением числа полос движения или уменьшением их ширины
8.1.4.1 Успокоение движения с помощью сокращения числа полос движения или уменьшения их ширины осуществляют для снижения скорости транспортного потока и повышения безопасности и комфорта движения пешеходов.
8.1.4.2 Сокращение числа полос движения или уменьшение их ширины рекомендуется применять на магистральных улицах районного значения, улицах районного и местного значения с четырьмя полосами движения на подъездах к нерегулируемым пешеходным переходам, расположенным на перегонах, а также на участках улично-дорожной сети, обозначенных
знаком 5.31 "Зона с ограничением максимальной скорости".
При этом ширина полосы движения для магистральных улиц районного значения должна быть не менее 3,25 м, для улиц районного и местного значения - не менее 3,0 м, коэффициент загрузки улицы не должен превышать 0,8.
Ширина проезжей части, оставшейся после уменьшения или сокращения числа полос движения, должна обеспечивать пропускную способность улицы в соответствии с требованиями СП 396.1325800.2018
(пункт 5.5.12).
8.1.4.3 На улицах с четырьмя полосами за счет уменьшения ширины проезжей части могут быть уширены тротуары, устроены велополосы, выделена дополнительная полоса для поворота налево (приложение Б,
рисунок Б.20).
8.1.4.4 Сужение проезжей части может осуществляться с помощью устройства парковочных мест по краям проезжей части. При этом парковочные места допускается размещать как на проезжей части, так и с частичным использованием тротуара.
В таких случаях для обеспечения видимости пешеходов в зоне пешеходного перехода дополнительно устраивают локальные сужения проезжей части путем уширения тротуара на ширину парковочного места (приложение Б,
рисунок Б.21). При этом расстояние от ближайшего по ходу движения парковочного места до границы пешеходного перехода должно быть не менее 5 м.
8.1.4.5 При невозможности уширения тротуаров в зоне пешеходного перехода расстояние от ближайшего по ходу движения парковочного места до границы пешеходного перехода должно составлять не менее 10 м (приложение Б,
рисунок Б.22). При этом необходимо соблюдать требования по
5.5.4.1.
8.1.4.6 На улицах местного значения с двумя полосами движения допускается устройство парковочных мест с частичным использованием тротуара (приложение Б,
рисунок Б.23) при соблюдении требований к минимальной ширине пешеходной части тротуара и полос движения по
СП 42.13330.
При такой организации движения следует обеспечивать ширину проезжей части не менее 3,0 м. Ширина незанятого парковкой тротуара должна соответствовать требованиям
ГОСТ Р 52766,
СП 42.13330,
СП 396.1325800.
8.1.4.7 Для успокоения движения в зоне пешеходного перехода уменьшение ширины проезжей части рекомендуется осуществлять с помощью устройства газонов и зеленых насаждений, при этом необходимо обеспечивать треугольник видимости для условий "пешеход - транспорт" по
5.5.4.1 (приложение Б,
рисунок Б.24).
8.1.5 Канализирование движения на пересечениях
8.1.5.1 Канализирование движения пешеходов и транспортных средств на пересечениях улиц осуществляют с использованием направляющих островков, устроенных по
ГОСТ Р 52766, возвышающихся над проезжей частью, или выполненных дорожной разметкой. При строительстве и реконструкции пересечений улиц направляющие островки устраивают в соответствии с
СП 396.1325800.
8.1.5.2 Направляющие островки устраивают в случаях, когда ширина проезжей части и интенсивность транспортного потока не позволяют пешеходам перейти проезжую часть за время одной пешеходной фазы светофора. При этом в пределах направляющих островков устраивают островки для ожидания пешеходов при переходе ими проезжей части (приложение Б,
рисунок Б.25).
8.1.5.3 Направляющие островки рекомендуется устраивать на регулируемых пересечениях улиц магистрального и районного значения с четырьмя и более полосами движения. Островки могут устраиваться как по оси проезжей части, так и для выделения правой полосы движения для поворота направо.
8.1.5.4 Ширина направляющего островка, по которому осуществляется движение пешеходов, должна составлять не менее 2,0 м. Расстояние от направляющих островков каплевидной формы до створа пересекаемого направления движения следует принимать не более 2,0 м. Радиус закругления кромок направляющих островков при отсутствии движения вдоль них следует принимать не менее 0,5 м.
8.1.5.5 Для повышения безопасности пешеходов, переходящих дорогу по пешеходным переходам, расположенным на пересечении и подъездах к нему, допускается перекрывать прямое (сквозное) движение транспортных средств на пересечении и пропускать по нему пешеходов по диагонали [приложение Б,
рисунок Б.26 а),
б)].
Перекрытие сквозного движения рекомендуется устраивать для ликвидации мест концентрации ДТП и профилактики ДТП, связанных с наездом на пешеходов, а также для профилактики ДТП других видов на нерегулируемых пересечениях.
8.1.5.6 Перекрытие сквозного движения на пересечениях рекомендуется устраивать на участках улично-дорожной сети с двумя полосами движения, обозначенных
знаком 5.31 "Зона с ограничением максимальной скорости", и/или с ограничением максимальной скорости менее 50 км/ч в исторических центрах городов, а также в случаях, когда есть необходимость исключить транзитное движение транспорта через жилые районы или улицы с интенсивным движением пешеходов.
При этом следует обеспечивать возможность проезда к объектам, находящимся на перекрытом направлении движения, в том числе для автомобилей специальных служб.
8.1.5.7 Для перекрытия сквозного движения на пересечении допускается предусматривать:
- устройство приподнятого над проезжей частью и ограниченного бордюрным камнем островка, по которому допускается движение пешеходов при обеспечении ширины прохода не менее 2,0 м [приложение Б,
рисунок Б.26 а)];
- установку делиниаторов с дорожными пластинами или с сигнальными столбиками [приложение Б,
рисунок Б.26 б)];
- устройство крестообразного направляющего островка в центре пересечения, приподнятого над проезжей частью [приложение Б,
рисунок Б.26 в)];
- установку парапетного ограждения перпендикулярно перекрываемому для сквозного проезда направлению движения [приложение Б,
рисунок Б.26 г)];
- устройство направляющих островков, выделяющих полосу для правого поворота и перекрывающих движение в прямом направлении, выделенных с помощью разметки и сигнальных столбиков [приложение Б,
рисунок Б.26 д)].
8.1.5.8 Для возможности пропуска грузовых и маршрутных транспортных средств на пересечениях с перекрытым сквозным движением следует обеспечивать минимальную ширину полосы движения не менее 3,5 м. При отсутствии движения через пересечение грузовых и маршрутных транспортных средств минимальная ширина полосы должна быть не менее 3,0 м.
8.2 Безопасность пешеходов на территориях, обозначенных дорожными знаками "Жилая зона", и на дворовых территориях
8.2.1 Введение режимов движения, устанавливаемых с помощью дорожных знаков "Жилая зона", определяется следующими условиями:
- отсутствием транспортных связей городского или районного значения, проходящих через зону;
- отсутствием крупных центров тяготения транспортных потоков в пределах самой зоны;
- отсутствием сквозного проезда жилой территории;
- преобладанием улично-дорожной сети местного значения.
При соответствующем технико-экономическом обосновании территория может включать в себя улицы в жилой застройке, улицы и дороги в научно-производственных, промышленных и коммунально-складских зонах, по которым осуществляется транспортная связь в пределах городского микрорайона.
8.2.2 Границами жилой зоны могут быть магистральные улицы и дороги, улицы в жилой застройке, естественные и искусственные рубежи (реки, каналы, водоемы, зеленые насаждения, железные дороги и др.).
Организация жилых зон не рекомендуется на межмагистральных территориях, если расстояние между магистральными улицами менее 200 м и если в зоне отсутствует разветвленная сеть проездов.
8.2.3 Для исключения транзитного движения транспортных средств через жилую зону устраивают тупики, петлевые проезды или одностороннее движение.
Организация петлевых проездов при изменении схемы движения транспортных средств обеспечивается использованием на пересечениях диагональных заградительных устройств по
8.1.5.
8.2.4 Принудительное снижение скорости на внутриквартальных проездах, на других территориях, обозначенных дорожными знаками "Жилая зона", и внутри дворовых территорий осуществляют с помощью устройства сборно-разборных ИН по
ГОСТ 32964. ИН обязательно устраивают в местах выходов с территорий детских учреждений, а также выходов из зданий непосредственно на проезжую часть.
При выезде с дворовых территорий на улицу должна быть обеспечена боковая видимость пешеходов, двигающихся вдоль улицы по тротуару или пешеходной дорожке, не менее 2 м при расстоянии от переднего бампера автомобиля до пешеходной дорожки или тротуара не менее 5 м.
8.2.5 Упорядочение мест для парковки транспортных средств на территории жилой зоны осуществляют с помощью устройства специальных площадок с соответствующей разметкой и ограждением. Число парковочных мест должно быть определено с учетом перспективного роста спроса на стоянку до введения на жилой территории организации движения по методу "жилая зона".
Парковочные места могут устраиваться на одной стороне проезда (улицы) при обеспечении расстояния от парковочного места до края проезжей части не менее 4,0 м.
8.2.6 При устройстве парковок на внутриквартальных проездах для исключения размещения транспортных средств на тротуарах рекомендуется применять ограничивающие пешеходные ограждения по
ГОСТ Р 52289 или антипарковочные столбики, которые устанавливают у внешнего края тротуара.
9 Обеспечение пешеходов пешеходными путями
9.1 Устройство тротуаров и пешеходных дорожек
От посадочных площадок остановочных пунктов маршрутных транспортных средств в направлении основных потоков пассажиров следует устраивать пешеходные дорожки или тротуары до существующих тротуаров или пешеходных дорожек, а при их отсутствии - на расстояние не менее расстояния боковой видимости по
СП 34.13330.
При отсутствии велосипедной или велопешеходной дорожки или полосы для велосипедистов для движения велосипедистов и лиц, использующих средства индивидуальной мобильности, ширина тротуара по
СП 42.13330 должна быть увеличена не менее чем на 1,0 м.
Тротуары следует предусматривать с двух сторон улиц. При соответствующем обосновании по
СП 396.1325800 допускается их одностороннее размещение. В таких случаях обязательно устраивают пешеходные переходы к автобусным остановкам и объектам притяжения, расположенным на стороне улицы без тротуара.
Тротуары на улицах проектируют с отделением их от проезжей части бортовым камнем и/или полосой озеленения.
9.1.3 Подходы к наземным пешеходным переходам, подходы от остановочных пунктов маршрутных транспортных средств и пути от этих подходов к объектам социальной инфраструктуры на дорогах и улицах должны быть обустроены тротуарами или пешеходными дорожками по
ГОСТ Р 52766 и
СП 42.13330.
9.1.4 При устройстве наземного нерегулируемого пешеходного перехода не допускается устраивать пешеходный переход и наносить
разметку 1.14.1 от границы тротуара с одной стороны дороги или улицы до проезжей части примыкающей дороги, улицы (проезда) или выезда с прилегающей территории - на другой стороне. Также не допускается наносить разметку пешеходного перехода по
ГОСТ Р 52289 не по всей ширине проезжей части.
9.1.5 Минимальную длину пониженного до уровня проезжей части участка тротуара у пешеходного перехода следует принимать не менее ширины пешеходного перехода, увеличенной на 1 м без учета наклонных участков.
При наличии газона между тротуаром и наземным пешеходным переходом прилегающая к пешеходному переходу часть подхода должна иметь ширину не менее ширины пешеходного перехода.
9.1.6 Если пешеходный переход проходит через железнодорожные или трамвайные пути, необходимо устраивать межрельсовый настил или межрельсовое покрытие для перехода пешеходов. Переходы через трамвайные пути должны иметь разность уровней между верхней частью головки рельса и поверхностью перехода для комфортных условий 0 - 5 мм, для нормальных - 6 - 10 мм.
Разметку 1.14.1 и
1.14.2 наносят по ГОСТ Р 52289-2019
(пункт 6.2.17). Межрельсовые настилы и покрытия не должны иметь неровностей по
ГОСТ Р 50597.
9.1.7 При проектировании нерегулируемых пересечений проезжей части с путями следования пешеходов необходимо обеспечивать взаимную видимость пешеходов и транспортных средств по
5.5.4.1.
9.2 Устройство велосипедных и велопешеходных дорожек
9.2.1 Велосипедные и велопешеходные дорожки вне населенных пунктов устраивают в соответствии с требованиями
ГОСТ Р 52766 и
ГОСТ 33150.
9.2.2 Формирование инфраструктуры для велосипедного движения в населенных пунктах осуществляют в соответствии с СП 396.1325800.2018
(раздел 9). Параметры велосипедных дорожек следует принимать в соответствии с СП 42.13330.2016
(подраздел 11.7).
9.2.3 В случаях, если велосипедная дорожка расположена на участке подхода к кольцевому пересечению, ее перенаправляют в обход кольцевой проезжей части и совмещают с тротуаром. При этом расстояние от начала и конца участка обхода велосипедной дорожки до граничной линии кольцевой проезжей части должно составлять не менее 30 м (приложение Б,
рисунок Б.27).
Для удобства движения велосипедистов велодорожку и совмещенную дорожку для движения велосипедистов и пешеходов сопрягают с проезжей частью пандусами.
9.2.4 Рекомендуется устраивать пешеходные переходы, смежные с велосипедными дорожками, пересекающими проезжую часть [приложение Б,
рисунок Б.28 а),
б)]. При совместном расположении регулируемого пешеходного перехода или регулируемого пересечения велосипедной дорожки с проезжей частью движение пешеходов и велосипедистов должно регулироваться соответственно светофорами П.1 (П.2) и Т.9 по
ГОСТ Р 52282 и
ГОСТ Р 52289.
Пересечение велосипедной дорожки с проезжей частью должно быть обозначено
разметкой 1.15 по ГОСТ Р 52289. Рекомендуется устраивать цветное покрытие велосипедной дорожки в местах пересечения с проезжей частью.
При наличии двустороннего движения велосипедистов велосипедные дорожки для пересечения проезжей части могут устраиваться однополосными с обеих сторон пешеходного перехода или двухполосными с одной его стороны шириной по
ГОСТ 33150.
На пересечении велосипедной дорожки с проезжей частью улиц и дорог, а также с тротуарами и пешеходными дорожками рекомендуется устраивать покрытие противоскольжения красного цвета.
(обязательное)
ТРЕБОВАНИЯ ПО ОБУСТРОЙСТВУ ДОРОГ И УЛИЦ
ТЕХНИЧЕСКИМИ СРЕДСТВАМИ АВТОМАТИЧЕСКОЙ ФОТОВИДЕОФИКСАЦИИ
НАРУШЕНИЙ ПРАВИЛ ДОРОЖНОГО ДВИЖЕНИЯ В МЕСТАХ
РАСПОЛОЖЕНИЯ НАЗЕМНЫХ ПЕШЕХОДНЫХ ПЕРЕХОДОВ
А.1 На магистральных дорогах регулируемого движения и магистральных улицах общегородского значения регулируемого движения в местах расположения наземных пешеходных переходов следует устанавливать специальные технические средства, предназначенные для автоматической фиксации нарушений установленного скоростного режима и/или проезда на запрещающий сигнал светофора, а также нарушений правил проезда нерегулируемого перехода (далее - специальные технические средства).
А.2 На дорогах и других улицах в местах расположения наземных пешеходных переходов специальные технические средства для автоматической фиксации нарушений установленного скоростного режима и/или проезда на запрещающий сигнал светофора, а также нарушений правил проезда нерегулируемого пешеходного перехода могут быть установлены при соответствующем технико-экономическом обосновании:
- в случаях, когда пешеходные переходы являются местами концентрации ДТП или потенциальными аварийно-опасными участками;
- в иных случаях на основе анализа условий движения (в том числе аудита безопасности дорожного движения), нарушений правил дорожного движения водителями транспортных средств.
(справочное)
ИЛЛЮСТРАЦИИ К СТАНДАРТУ
Рисунок Б.1 - Расположение ТВП (кнопки вызова) в направлении
встречного движения (виден приближающийся транспорт)
Рисунок Б.2 - Пример ТВП обычного типа
| |
а) Аналогично сигналам светофоров П1 (П2) | |
Рисунок Б.3 - Примеры ТВП с сигналами, аналогичными
сигналам светофоров, уменьшенного размера
Рисунок Б.4 - Информационная световая секция,
примеры размещения со светофором
Рисунок Б.5 - Пример обустройства пешеходного перехода,
совмещенного с искусственной неровностью
Рисунок Б.6 - Пример обустройства пешеходного перехода
искусственными неровностями по бокам от пешеходного перехода
Рисунок Б.7 - Пример обустройства пешеходного
перехода искусственными неровностями по
ГОСТ 32964
на полосах, где осуществляется движение
безрельсового общественного транспорта
Рисунок Б.8 - Установка опор искусственного освещения
со смещением относительно границ пешеходного перехода
Рисунок Б.9 - Пример применения световой проекции
разметки нерегулируемого пешеходного перехода
и дополнительного освещения подходов к переходу
Рисунок Б.10 - Z-образный пешеходный переход
с устройством ограничивающего пешеходного ограждения
б) С дорожной тумбой в зоне остановочного
пункта маршрутных транспортных средств
Рисунок Б.11 - Пример устройства островков
безопасности на улицах с двумя полосами движения
Рисунок Б.12 - Пример устройства защитных
элементов на улицах с двумя полосами движения
при помощи делиниаторов с дорожными пластинами
Рисунок Б.13 - Пример конструкций защитного элемента
Рисунок Б.14 - Пример обустройства пешеходного
перехода сигнальными пластинами на улицах
с четырьмя полосами движения
Рисунок Б.15 - Примеры обустройства пешеходных
переходов наружными тактильными указателями
Рисунок Б.16 - Пример обустройства
кольцевого пересечения пешеходными переходами
и техническими средствами организации дорожного движения
Рисунок Б.17 - Обустройство пешеходных
переходов на мини-кольцевых пересечениях
dмкп - диаметр мини-кольцевого пересечения; dцо - диаметр
центрального островка; bкпч - ширина кольцевой проезжей
части; bвх и bвых - ширины проезжей части при въезде
и выезде с кольца; rвъезда и rвыезда - радиусы кромок
проезжей части (бортового камня) при въезде
на кольцо и выезде с кольцевой проезжей части
Рисунок Б.18 - Элементы и основные
геометрические параметры мини-кольцевых пересечений
Рисунок Б.19 - Расположение и минимальные
размеры островка безопасности для ожидания пешеходов
Рисунок Б.20 - Уменьшение ширины проезжей
части с устройством велополос и выделением
полосы для поворота налево
Рисунок Б.21 - Уменьшение числа полос
с устройством парковочных мест и локальным
уширением тротуаров в зоне пешеходного перехода
Рисунок Б.22 - Уменьшение числа полос
с устройством парковочных мест без локального
уширения тротуаров в зоне пешеходного перехода
Рисунок Б.23 - Устройство парковочных
мест с частичным использованием тротуара
Рисунок Б.24 - Уменьшение числа полос с уширением
тротуаров и устройством газонов и зеленых насаждений
Рисунок Б.25 - Пример использования направляющих островков
для перехода пешеходов на Т-образном пересечении
|
а) Устройство островка, приподнятого над проезжей частью, сдвижением пешеходов |
| |
б) Установка делиниаторов и дорожных пластин | в) Устройство крестообразного направляющего островка, приподнятого над проезжей частью |
| |
г) Перекрытие сквозного движения при помощи парапетного ограждения | д) Устройство направляющих островков, выделяющих полосу для правого поворота и перекрывающих движение в прямом направлении |
Рисунок Б.26 - Примеры перекрытия
сквозного движения на пересечении
Рисунок Б.27 - Элементы кольцевого пересечения,
обеспечивающие движение пешеходов и велосипедистов
Рисунок Б.28 - Организация пересечения велосипедной
дорожки с проезжей частью, смежной с пешеходным переходом
| Правила классификации автомобильных дорог в Российской Федерации и их отнесения к категориям автомобильных дорог (утверждены постановлением Правительства Российской Федерации от 28 сентября 2009 г. N 767) |
| Правила дорожного движения Российской Федерации (утверждены постановлением Совета Министров - Правительства Российской Федерации от 23 октября 1993 г. N 1090) |
| | Санитарно-эпидемиологические требования к условиям проживания в жилых зданиях и помещениях |
УДК 625.711.3:006.354 | |
Ключевые слова: автомобильные дороги, улицы, безопасность движения пешеходов, общие требования |