Главная // Актуальные документы // Акт (форма)СПРАВКА
Источник публикации
М.: Стандартинформ, 2013
Примечание к документу
Документ
введен в действие с 1 января 2013 года.
Название документа
"РМГ 112-2010. Рекомендации по межгосударственной стандартизации. Государственная система обеспечения единства измерений. Резервуары (танки) речных и морских наливных судов. Методика поверки объемным методом"
(введены в действие Приказом Росстандарта от 12.12.2011 N 772-ст)
"РМГ 112-2010. Рекомендации по межгосударственной стандартизации. Государственная система обеспечения единства измерений. Резервуары (танки) речных и морских наливных судов. Методика поверки объемным методом"
(введены в действие Приказом Росстандарта от 12.12.2011 N 772-ст)
агентства по техническому
регулированию и метрологии
от 12 декабря 2011 г. N 772-ст
РЕКОМЕНДАЦИИ ПО МЕЖГОСУДАРСТВЕННОЙ СТАНДАРТИЗАЦИИ
ГОСУДАРСТВЕННАЯ СИСТЕМА ОБЕСПЕЧЕНИЯ ЕДИНСТВА ИЗМЕРЕНИЙ
РЕЗЕРВУАРЫ (ТАНКИ) РЕЧНЫХ И МОРСКИХ НАЛИВНЫХ СУДОВ
МЕТОДИКА ПОВЕРКИ ОБЪЕМНЫМ МЕТОДОМ
State system for ensuring the uniformity of measurements.
Tanks of river and sea liquid cargo vessels. Procedure
of verification by volumetric method
РМГ 112-2010
Группа Т88.3
Дата введения
1 января 2013 года
Цели, основные принципы и основной порядок проведения работ по межгосударственной стандартизации установлены
ГОСТ 1.0-92 "Межгосударственная система стандартизации. Основные положения" и
ГОСТ 1.2-2009 "Межгосударственная система стандартизации. Стандарты межгосударственные, правила и рекомендации по межгосударственной стандартизации. Порядок разработки, принятия, применения, обновления и отмены".
1. Разработаны Федеральным государственным унитарным предприятием Всероссийским научно-исследовательским институтом расходометрии (ФГУП ВНИИР).
2. Внесены Федеральным агентством по техническому регулированию и метрологии.
3. Приняты Межгосударственным советом по стандартизации, метрологии и сертификации (протокол N 38-2010 от 25 ноября 2010 г.).
За принятие проголосовали:
Краткое наименование страны по МК (ИСО 3166) 004-97 | Код страны по МК (ИСО 3166) 004-97 | Сокращенное наименование национального органа по стандартизации |
Грузия | GE | Грузстандарт |
Казахстан | KZ | Госстандарт Республики Казахстан |
Кыргызстан | KG | Кыргызстандарт |
Молдова | MD | Молдова-Стандарт |
Российская Федерация | RU | Росстандарт |
Таджикистан | TJ | Таджикстандарт |
Узбекистан | UZ | Узстандарт |
Украина | UA | Госпотребстандарт Украины |
4.
Приказом Федерального агентства по техническому регулированию и метрологии от 12 декабря 2011 г. N 772-ст рекомендации по межгосударственной стандартизации РМГ 112-2010 введены в действие в качестве рекомендаций по метрологии Российской Федерации с 1 января 2013 г.
5. Введены впервые.
Информация об изменениях к настоящим рекомендациям публикуется в ежегодно издаваемом указателе "Руководящие документы, рекомендации и правила", а текст изменений и поправок - в ежемесячно издаваемом информационном указателе "Национальные стандарты".
В случае пересмотра (замены) или отмены настоящих рекомендаций соответствующее уведомление будет опубликовано в ежемесячно издаваемом информационном указателе и тексты размещаются также в информационной системе общего пользования - на официальном сайте Федерального агентства по техническому регулированию и метрологии в сети Интернет.
Настоящие рекомендации распространяются на резервуары (танки) речных и морских наливных судов вместимостью от 25 до 3500 м3, предназначенных для перевозки нефти и нефтепродуктов, проведения государственных учетных и торговых операций, взаимных расчетов между поставщиком и потребителем, и устанавливают методику их первичной и периодической поверок.
В настоящих рекомендациях использованы нормативные ссылки на следующие стандарты:
ГОСТ 8.393-80 Государственная система обеспечения единства измерений. Квадранты оптические. Методы и средства поверки
| | ИС МЕГАНОРМ: примечание. Взамен ГОСТ 8.400-80 Приказом Росстандарта от 30.12.2013 N 2372-ст с 1 июля 2015 года введен в действие ГОСТ 8.400-2013. | |
ГОСТ 8.400-80 Государственная система обеспечения единства измерений. Мерники металлические образцовые. Методика поверки
ГОСТ 12.0.004-90 Система стандартов безопасности труда. Организация обучения рабочих безопасности труда. Общие положения
ГОСТ 12.1.005-88 Система стандартов безопасности труда. Общие санитарно-гигиенические требования к воздуху рабочей зоны
ГОСТ 12.4.137-84 Обувь специальная кожаная для защиты от нефти, нефтепродуктов, кислот, щелочей, нетоксичной и взрывоопасной пыли. Технические условия
ГОСТ 427-75 Линейки измерительные металлические. Технические условия
ГОСТ 2405-88 Манометры, вакуумметры, мановакуумметры, напоромеры, тягомеры и тягонапоромеры. Общие технические условия
ГОСТ 2761-84 Источники централизованного хозяйственно-питьевого водоснабжения. Гигиенические, технические требования и правила выбора
ГОСТ 2874-82 Вода питьевая. Гигиенические требования и контроль качества
ГОСТ 3900-85 Нефть и нефтепродукты. Методы определения плотности
ГОСТ 7502-98 Рулетки измерительные металлические. Технические условия
ГОСТ 9965-76 Нефть для нефтеперерабатывающих предприятий. Технические условия
ГОСТ 10227-86 Топливо для реактивных двигателей. Технические условия
ГОСТ 13196-93 Пробоотборники стационарные для резервуаров с нефтью и нефтепродуктами. Типы и основные параметры. Общие технические требования
ГОСТ 18481-81 Ареометры и цилиндры стеклянные. Общие технические условия
ГОСТ 27574-87 Костюмы женские для защиты от общих производственных загрязнений и механических воздействий. Технические условия
ГОСТ 27575-87 Костюмы мужские для защиты от общих производственных загрязнений и механических воздействий. Технические условия
ГОСТ 28498-90 Термометры жидкостные стеклянные. Общие технические требования. Методы испытаний.
ГОСТ 30852.11-2002 Электрооборудование взрывозащищенное. Часть 12. Классификация смесей газов и паров с воздухом по безопасным экспериментальным максимальным зазорам и минимальным воспламеняющим токам
Примечание. При пользовании настоящими рекомендациями целесообразно проверить действие ссылочных стандартов в информационной системе общего пользования - на официальном сайте национального органа Российской Федерации по стандартизации в сети Интернет или по ежегодно издаваемому информационному указателю "Национальные стандарты", который опубликован по состоянию на 1 января текущего года, и по соответствующим ежемесячно издаваемым информационным указателям, опубликованным в текущем году. Если ссылочный стандарт заменен (изменен), то при пользовании настоящим стандартом следует руководствоваться заменяющим (измененным) стандартом. Если ссылочный документ отменен без замены, то положение, в котором дана ссылка на него, применяется в части, не затрагивающей эту ссылку.
В настоящих рекомендациях применяют следующие термины с соответствующими определениями:
3.1. резервуар (танк) речного или морского наливного судна: Стальной сосуд прямоугольного (квадратного) или кругового сечения с плоским или сложной геометрической формы днищем, предназначенный для размещения и измерения объема нефти и нефтепродуктов.
3.2. поверка танка наливного судна (далее - танк): Совокупность операций, выполняемых организациями национальной (государственной) метрологической службы или аккредитованными на право поверки метрологическими службами юридических лиц с целью определения вместимости танка и оценки погрешности составления градуировочной таблицы.
3.3. градуировочная таблица: Таблица, в которой приведены значения вместимостей, соответствующие уровням наполнения танка.
3.4. вместимость танка наливного судна: Внутренний объем танка, ограниченный высотой налива жидкости с учетом возможных деформаций стенки и днища при нормированном значении диапазона температур.
3.5. градуировка танка: Операция по определению вместимости танка, выполняемая организациями национальной (государственной) метрологической службы или аккредитованными на право поверки метрологическими службами юридических лиц при выпуске из производства, после ремонта и при эксплуатации.
3.6. посантиметровая вместимость танка: Вместимость танка, соответствующая уровню налитых в него доз поверочной жидкости, приходящихся на 1 см (10 мм) высоты наполнения.
3.7. дозовая вместимость танка: Вместимость танка, соответствующая уровню налитых в нее доз поверочной жидкости.
3.8. плоскость, принятая за начало отсчета: Плоскость, находящаяся на нижней части танка, которой касается груз измерительной рулетки при измерении базовой высоты танка и от которой проводят измерения уровня нефти и нефтепродуктов и воды при эксплуатации танка.
3.9. базовая высота танка: Расстояние по вертикали от плоскости, принятой за начало отсчета, до верхнего края измерительного люка (измерительной трубы).
3.10. поверочная жидкость: Поверочная жидкость, применяемая при поверке танка объемным методом: вода по
ГОСТ 2761, нефть по
ГОСТ 9965 (только при наличии обвязки поверяемого и приемного танков) и светлые нефтепродукты (далее - нефтепродукты) по
ГОСТ 305,
ГОСТ 10227.
Примечание. Параметры поверочной жидкости должны соответствовать:
- требованиям
4.3.8 - при применении нефтепродуктов;
--------------------------------
<1> На территории Российской Федерации действует
ГОСТ Р 51232-98 (здесь и далее).
3.11. "мертвая" полость: Нижняя полость танка, из которой нельзя выбрать нефть или нефтепродукт, используя приемно-раздаточный патрубок или раздаточную трубу.
3.12. "неучтенный" объем жидкости: Объем жидкости в танке, находящийся ниже плоскости, принятой за начало отсчета.
3.13. уровень жидкости (высота наполнения): Расстояние по вертикали между плоскостью на днище танка, принятой за начало отсчета, и свободной поверхностью жидкости, находящейся в танке.
3.14. рабочая зона: Пространство, ограниченное по высоте двумя метрами над уровнем площадки, на которой находится место постоянного или временного пребывания поверителей при поверке танков.
3.15. объемный динамический метод поверки танка: Метод поверки, заключающийся в определении вместимости танка путем непрерывного наполнения его поверочной жидкостью и одновременного измерения уровня, объема и температуры поверочной жидкости для каждого изменения уровня на 1 см (10 мм), определении погрешности составления градуировочной таблицы.
3.16. объемный статический метод поверки танка: Метод поверки, заключающийся в определении вместимости танка путем наполнения его отдельными дозами поверочной жидкости и одновременных измерений уровня, объема и температуры поверочной жидкости для каждого изменения уровня в пределах от 10 до 100 мм, определении погрешности составления градуировочной таблицы.
3.17. государственная учетная и торговая операции, взаимные расчеты между поставщиком и потребителем: Операции, проводимые между поставщиком и потребителем, заключающиеся в определении объема или массы нефти и нефтепродуктов для последующих учетных операций, а также при арбитраже.
3.18. учет нефти и нефтепродуктов при хранении: Операция, проводимая на предприятии, заключающаяся в определении объема и массы нефти и нефтепродуктов для последующих учетных операций.
3.19. дифферент наливного судна: Наклон наливного судна в продольной плоскости, определяемый как разность осадок (углублений) кормы и носа судна.
Примечание. Дифферент наливного судна регулируют приемом или удалением водяного балласта.
3.20. крен наливного судна: Положение наливного судна, при котором плоскость его симметрии отклонена от вертикали.
3.21. степень наклона танка (судна): Значение

, выражаемое тангенсами углов крена и дифферента, рассчитываемое по формуле

, (1)
где

,

- углы крена и дифферента соответственно в градусах.
4. Технические требования
4.1. Требования к погрешности измерений параметров
4.1.1. Пределы допускаемой погрешности измерений параметров приведены в
таблице 1.
4.1.2. Погрешность градуировочной таблицы должна находиться в пределах +/- 0,3%.
Наименование измеряемого параметра | Предел допускаемой погрешности средств измерений |
Объем дозы жидкости при градуировке, % | +/- 0,15 |
Уровень жидкости, мм | +/- 1 |
Угол дифферента судна, " (угловая секунда) | +/- 2 |
Угол крена судна, " (угловая секунда) | +/- 2 |
Температура жидкости, °C | +/- 0,2 |
Давление жидкости избыточное, % | +/- 0,4 |
4.1.3. Пределы допускаемой погрешности градуировочной таблицы по
4.1.2 могут быть уточнены по результатам испытаний танков с целью утверждения типа и расчета поправочного коэффициента по нормативному документу <1>.
--------------------------------
<1> На территории Российской Федерации действует МИ 101-99 (здесь и далее).
4.2. Требования по применению основных и вспомогательных средств поверки
4.2.1. При поверке танков применяют следующие средства поверки:
- эталонный уровнемер 2-го разряда (далее - уровнемер) с пределами допускаемой абсолютной погрешности +/- 1 мм, зарегистрированный в государственном реестре средств измерений;
| | ИС МЕГАНОРМ: примечание. Взамен ГОСТ 8.400-80 Приказом Росстандарта от 30.12.2013 N 2372-ст с 1 июля 2015 года введен в действие ГОСТ 8.400-2013. | |
- эталонные мерники 2-го разряда (далее - мерники) номинальной вместимостью 2; 5; 10; 20; 50; 100; 200; 500; 1000 дм3 по ГОСТ 8.400;
- эталонный счетчик жидкости (далее - счетчик жидкости) с пределами допускаемой относительной погрешности +/- 0,15%, зарегистрированный в государственном реестре средств измерений;
- термометр с ценой деления шкалы 0,1 °C по
ГОСТ 28498;
- термометр с ценой деления шкалы 0,5 °C по
ГОСТ 28498;
- ареометр с ценой деления шкалы 0,5 кг/м3 по
ГОСТ 18481;
- секундомер 3-го класса точности с ценой деления шкалы 0,2 с по
[1];
- штангенциркуль с диапазоном измерений 0 - 250, 0 - 400, 0 - 1000 мм по
ГОСТ 166;
- рулетка измерительная с грузом 2-го класса точности с верхним пределом измерений 10 м по
ГОСТ 7502;
- линейка измерительная металлическая с диапазоном измерений 0 - 1000 мм по
ГОСТ 427;
- квадрант оптический по ГОСТ 8.393;
- газоанализатор АНТ-2М по
[2];
- пробоотборники стационарные по ГОСТ 13196.
4.2.2. Вспомогательное оборудование:
- насос для подачи поверочной жидкости, снабженный линиями приема и подачи с кранами (вентилями), регулятором расхода (дросселем), фильтром и трехходовым краном;
- расширитель струи;
- мел, чертилка.
4.2.3. Основные средства поверки танков должны быть поверены в установленном порядке.
4.2.4. Допускается применение других, вновь разработанных или находящихся в эксплуатации средств поверки (в том числе передвижных эталонных установок), удовлетворяющих по точности и пределам измерений требованиям настоящих рекомендаций.
4.3. Требования к условиям поверки
При поверке танка соблюдают следующие условия
4.3.1. Поверку танков проводят, когда наливное судно находится на плаву.
4.3.2. Перед поверкой танков наливное судно переводят в горизонтальное положение. При этом определяют допускаемые значения углов крена

и дифферента

по формуле
а) если танки имеют цилиндрическую форму,

, (2)
где

- полная вместимость танка, м3;

- внутренний диаметр танка, м;

(здесь и далее);
б) если танки имеют прямоугольную (квадратную) форму,

, (3)
где S - площадь поперечного сечения танка, м2;
L - длина танка, м.
Значения величин

,

, S принимают по исполнительной документации на танк.
4.3.3. В процессе поверки допускаются изменения углов крена и дифферента в их нормированных пределах для танка данного типа.
4.3.4. Температура окружающего воздуха и поверочной жидкости - (20 +/- 15) °C.
4.3.5. Изменение температуры поверочной жидкости в поверяемом танке и счетчике жидкости (мернике) за время поверки не должно превышать:
+/- 2,5 °C - при применении в качестве поверочной жидкости воды;
+/- 0,5 °C - при применении в качестве поверочной жидкости нефти и нефтепродуктов в соответствии с
3.9.
4.3.6. При невыполнении требований
4.3.5 вводят температурные поправки на объем поверочной жидкости, измеренный через каждое изменение температуры поверочной жидкости в танке на 2,5 °C или 0,5 °C.
4.3.7. При применении мерников их суммарную вместимость выбирают таким образом, чтобы можно было получить дозы жидкости в объемах, достаточных для подъема уровня поверочной жидкости в танке на 10 - 100 мм.
4.3.8. При применении счетчика жидкости поверочная жидкость должна соответствовать следующим требованиям:
- вязкость поверочной жидкости должна находиться в нормированных пределах диапазона измерений применяемого счетчика жидкости;
- расход поверочной жидкости должен находиться в нормированных пределах диапазона измерений применяемого счетчика жидкости. Расход поверочной жидкости в процессе поверки танка не должен изменяться более чем на 2%.
В случае изменения нормированного диапазона измерений расхода применяемого счетчика жидкости с импульсным выходным сигналом применяют соответствующий новому диапазону коэффициент преобразования счетчика жидкости;
- избыточное давление за счетчиком жидкости,

прямолинейных участков до и за счетчиком жидкости должны соответствовать требованиям технической документации на счетчик жидкости данного типа.
4.3.9. Должна быть исключена возможность попадания воздуха в измерительную систему, собранную для поверки танков, после наполнения их поверочной жидкостью.
4.3.10. Процесс определения вместимости танка при его поверке должен идти непрерывно (без перерывов, приводящих к изменению объема и уровня жидкости в танке), начиная с уровня, равного нулю, до предельного уровня поверки.
4.3.11. Скорость изменения уровня поверочной жидкости в танке в процессе его поверки не должна превышать 0,3 мм/с.
4.3.12. При первичной поверке танка его вместимость определяют не менее двух раз, а при периодической поверке - один раз. Расхождение между результатами двух измерений вместимости танка должно находиться в пределах +/- 0,1%. За действительное значение вместимости танка при первичной поверке принимают среднеарифметическое результатов двух измерений.
4.3.13. Измерения геометрических величин при поверке танка проводят не менее двух раз. Расхождение между результатами двух измерений величин не должно превышать 2 мм. За действительное значение измеряемой величины принимают среднеарифметическое результатов двух измерений.
4.3.14. Измерения величин при поверке танка должны быть проведены группой лиц, включающей не менее трех поверителей, прошедших курсы повышения квалификации в соответствии с
6.1.
5. Требования к организации проведения поверки
5.1. Танки подлежат поверке организациями национальной (государственной) метрологической службы <1> или аккредитованными на право поверки метрологическими службами юридических лиц.
--------------------------------
<1> На территории Российской Федерации органы государственной метрологической службы проходят аккредитацию на право проведения поверки резервуаров.
5.2. Поверку танка проводят:
а) первичную - после изготовления и ремонта;
б) периодическую - по истечении срока действия свидетельства о поверке.
5.3. Измерения величин при поверке резервуара проводит группа лиц, включающая в себя поверителя организации, указанной в
5.1, и не менее двух специалистов, прошедших курсы повышения квалификации (при необходимости), аттестованных по промышленной безопасности в установленном порядке.
5.4. Межповерочный интервал для всех типов танков речных и морских наливных судов должен быть не более 5 лет.
6. Требования к квалификации поверителей и требования
безопасности
6.1. Поверку танка проводит физическое лицо, прошедшее курсы повышения квалификации и аттестованное в качестве поверителя в области промышленной безопасности в установленном порядке <1>.
--------------------------------
<1> На территории Российской Федерации действует
Приказ Ростехнадзора N 37 от 29.01.2007.
6.2. К поверке танка допускают лиц, изучивших техническую документацию на танк и его конструкцию, средства поверки танка и прошедших обучение по
6.1 и инструктаж по безопасности труда в соответствии с
ГОСТ 12.0.004.
6.3. Лица, проводящие поверку танка, надевают спецодежду:
6.4. Перед началом поверки танка проверяют:
- исправность наружных лестниц с поручнями и подножками;
- помосты с ограждениями. Помосты и ступеньки наружных лестниц должны быть изготовлены из рифленой стали или просечно-вытяжной стали.
6.5. Давление внутри танка должно быть равно атмосферному при измерениях уровня вручную. При измерениях уровня уровнемером давление внутри танка - согласно эксплуатационной документации.
6.6. Средства, применяемые при поверке танка, должны быть во взрывозащищенном исполнении для группы взрывоопасных смесей категории IIB-ТЗ по
ГОСТ 30852.11 <2> и предназначены для эксплуатации на открытом воздухе.
--------------------------------
6.7. Содержание вредных паров и газов в воздухе рабочей зоны не должно превышать санитарных норм, установленных
ГОСТ 12.1.005.
6.8. Для освещения в темное время суток применяют светильники во взрывозащищенном исполнении.
7. Подготовка к проведению поверки
При подготовке к поверке танка проводят следующие работы.
7.1. Изучают техническую документацию на танк.
7.2. Проводят сборку измерительной системы (по схеме, приведенной на
рисунке А.1 или
А.2, Приложение А).
7.3. Устанавливают уровнемер на горловине танка.
7.4. Опускают в танк шланг с расширителем струи. При этом расширитель струи прикрепляют на уровне средней высоты танка, например с помощью магнитных наконечников.
7.5. При применении мерников 1, 2, 3 (
рисунок А.1, Приложение А) их устанавливают над горловиной поверяемого танка и выставляют в вертикальное положение с помощью уровня.
7.6. Допускается использовать технологическую обвязку танка для подачи поверочной жидкости в поверяемый танк. При этом обеспечивают герметичность технологической обвязки танка и линии подачи поверочной жидкости.
8.1. Вместимость танка при поверке измеряют объемным статическим или объемным динамическим методом. Допускается комбинация объемных статического и динамического методов.
8.2. При поверке танка выполняют операции, указанные в таблице 2.
Таблица 2
Наименование операции | Номер пункта рекомендации |
Внешний осмотр | |
Проверка герметичности измерительной системы | |
Определение углов крена и дифферента | |
Определение базовой высоты танка | |
Определение координат точки отсчета значений уровня жидкости и базовой высоты танка | |
Определение высоты "мертвой" полости | |
Определение вместимости танка с применением уровнемера и мерников | |
Определение вместимости танка с применением уровнемера и счетчика жидкости | |
Определение погрешности составления градуировочной таблицы | |
9. Проведение поверки танка
9.1.1. Проверяют состояние кровли танка (отсутствие вмятин, выпучин и загрязнений, а также исправность измерительного люка).
9.1.2. Проверяют состояние внутренней поверхности танка (отсутствие остатков жидкости, посторонних предметов).
Танк полностью опорожняют, очищают от остатков хранившейся жидкости и твердых отложений.
9.2. Проверка герметичности измерительной системы
9.2.1. Наполняют измерительную систему (
рисунок А.1 или
А.2, Приложение А) поверочной жидкостью, удаляют из нее воздух и испытывают на герметичность под рабочим давлением. При этом вентили 4 - 9 (
рисунок А.1, Приложение А), 5 (
рисунок А.2, Приложение А) закрывают и переводят трехходовой кран 7 в положение "Измерение".
Измерительную систему считают герметичной, если по истечении 15 минут после наполнения ее поверочной жидкостью и создания рабочего давления при визуальном осмотре не обнаруживают в местах соединений, уплотнений и на поверхности труб и арматуры, а также в конце шланга 18, предназначенного для подачи жидкости из трехходового крана в приемный танк 17 (
рисунок А.2, Приложение А) в режиме "Циркуляция", наличия течи (каплепадений) и влаги.
9.2.2. При обнаружении течи (каплепадений) и влаги в измерительной системе или танке в ходе его поверки поверку танка прекращают и после устранения негерметичности продолжают или повторяют.
9.2.3. При применении счетчика жидкости 10 (
рисунок А.2, Приложение А) измерительную систему дополнительно промывают и измеряют расход поверочной жидкости в такой последовательности:
- переводят трехходовой кран 7 в положение "Циркуляция";
- включают насос 14;
- одновременно фиксируют показания счетчика жидкости 10 и секундомера;
- после того как стрелка указателя счетчика 10 сделает не менее одного оборота (ролик счетного механизма поворачивается на один оборот) или число импульсов, зарегистрированное счетчиком импульсов, составит не менее 5000 импульсов, выключают секундомер и одновременно фиксируют показание счетчика.
Расход поверочной жидкости Q, дм3/с, через счетчик жидкости рассчитывают по формулам:
- для счетчиков жидкости с непосредственным отсчетом объема жидкости в дм3

; (4)
- для счетчиков жидкости с импульсным выходным сигналом в импульсах

, (5)
где

,

- показания счетчика жидкости, соответствующие концу отсчета времени, дм3, имп. соответственно;

,

- показания счетчика жидкости, соответствующие началу отсчета времени, дм3, имп. соответственно;

- время, определяемое по секундомеру, с;
K - коэффициент преобразования счетчика жидкости, имп./дм3, определяют по шкале счетного механизма конкретного счетчика.
9.2.4. Расход поверочной жидкости, рассчитанный по
формуле (4) или
(5), должен находиться в нормированных пределах диапазона изменений для применяемого счетчика жидкости по
4.3.8. Если это условие не выполняется, то с помощью дросселя (регулятора расхода) 8 (
рисунок А.2, Приложение А) изменяют расход поверочной жидкости, проходящей через счетчик жидкости.
9.3. Определение углов крена и дифферента
9.3.1. Углы крена

и дифферента

измеряют оптическими квадрантами (далее - квадранты) по ГОСТ 8.393, устанавливаемыми последовательно в точках наливного судна, указанных в исполнительной документации на нее.
9.3.2. Углы

и

измеряют в соответствии с
4.3.13 не менее двух раз в каждом направлении. Расхождение между результатами двух измерений по каждому направлению должно находиться в пределах +/- 5".
9.3.3. Результаты измерений углов

и

вносят в протокол,
форма которого приведена в Приложении Б.
9.4. Измерения базовой высоты танка
9.4.1. Базовую высоту танка

измеряют измерительной рулеткой с грузом не менее двух раз по
4.3.13 при горизонтальном положении наливного судна в соответствии с
4.3.2. Расхождение между результатами двух измерений должно находиться в пределах +/- 1 мм. Среднеарифметическое значение базовой высоты заносят в табличку, прикрепленную к измерительному люку (измерительной трубе) танка.
9.4.2. В процессе поверки танка базовую высоту измеряют через каждое изменение уровня поверочной жидкости в поверяемом танке на 500 мм.
9.4.3. Базовую высоту измеряют ежегодно. При этом должно быть выполнено условие
4.3.2. Допускаются измерения базовой высоты танка при наличии в нем жидкости до уровня, не превышающего 500 мм. Результаты ежегодных измерений базовой высоты танка оформляются актом,
форма которого приведена в Приложении Е.
При изменении базовой высоты более чем на 0,1% устанавливают причину (отложение грязи, твердых частиц и др.) и при невозможности устранения причин вновь градуируют и поверяют танк.
9.4.4. Результаты измерений

вносят в протокол,
форма которого приведена в Приложении Б.
9.5. Определение координат точки отсчета значений уровня жидкости и базовой высоты танка
9.5.1. Координаты точки отсчета значений уровня жидкости и базовой высоты танка определяют в последовательности:
9.5.1.1. Определяют центр танка

(
рисунок А.3, Приложение А).
9.5.1.2. От центра танка чертилкой проводят линии, параллельные продольной и поперечной осям симметрии наливного судна (
рисунок А.4, Приложение А).
9.5.1.3. Измеряют расстояние

(
рисунок А.4, Приложение А) между центром танка и точкой отсчета значений уровня жидкости и базовой высоты измерительной рулеткой по
ГОСТ 7502 в соответствии с
4.3.13. Расхождение между результатами двух измерений должно находиться в пределах +/- 1 мм.
9.5.1.4. Измеряют расстояние

между точкой отсчета значений уровня жидкости (базовой высоты) и линией AB (
рисунок А.4, Приложение А) измерительной рулеткой по
ГОСТ 7502 в соответствии с
4.3.13. Расхождение между результатами двух измерений должно находиться в пределах +/- 1 мм.
9.5.2. Результаты измерений величин

,

вносят в протокол,
форма которого приведена в Приложении Б.
9.6. Измерения высоты "мертвой" полости
9.6.1. Высоту "мертвой" полости

(при наличии) измеряют измерительной линейкой или штангенциркулем в соответствии с
4.3.13 по стенке танка. Расхождение между результатами двух измерений должно находиться в пределах +/- 1 мм.
9.6.2. Результаты измерений

вносят в протокол,
форма которого приведена в Приложении Б.
9.7. Определение вместимости танка с применением уровнемера и мерников
9.7.1. Подбирают мерники (мерник) в соответствии с
4.3.7.
9.7.2. Поверочную жидкость (далее - жидкость) подают (
рисунок А.1, Приложение А) в мерники 1, 2, 3 из приемного танка 13 с помощью насоса 10 и, регулируя вентилями 4, 5, 6 режим потока жидкости, наполняют мерники. При этом вместимость мерника или суммарная вместимость мерников должна соответствовать требованиям
4.3.7.
9.7.3. После наполнения измеряют температуру жидкости в мерниках, сливают дозу жидкости в поверяемый танк 14, открывая вентили 7, 8, 9, и снимают показания уровнемера 16.
9.7.4. В порядке, указанном в
9.7.2 и
9.7.3, подают последующие дозы жидкости

в танк с одновременными измерениями уровня жидкости

и ее температуры

в пробах, отобранных из танка переносным термостатическим пробоотборником по
ГОСТ 2517 или стационарным пробоотборником по ГОСТ 13196 после налива в него каждой дозы.
При этом первую пробу отбирают при достижении уровня жидкости в танке 500 мм.
9.7.5. Через каждое изменение уровня поверочной жидкости в поверяемом танке на 500 мм измеряют углы крена

и дифферента

наливного судна в соответствии с
9.3.
9.7.6. В случае применения в качестве поверочной жидкости нефтепродукта измеряют его плотность в лаборатории

в соответствии с
ГОСТ 3900.
9.7.7. Температуру жидкости измеряют в пробоотборнике. При этом термометр погружают в жидкость, находящуюся в пробоотборнике, на глубину, указанную в техническом паспорте на данный термометр, и выдерживают в пробе 1 - 3 мин до принятия столбиком ртути постоянного положения. Не вынимая термометр из жидкости, отсчитывают температуру с погрешностью до 0,1 °C.
9.7.8. Допускаются по
9.7.4 отбор проб жидкости из танка и измерения ее температуры через каждое изменение уровня жидкости в танке на 500 мм.
В этом случае температуру жидкости в танке после поступления в него каждой дозы вычисляют по результатам измерений температур в начале и конце поступления суммарной дозы, объем которой соответствует изменению уровня жидкости в танке на 500 мм.
9.7.9. Танк наполняют дозами жидкости до предельного уровня поверки

, соответствующего полной вместимости танка.
9.7.10. Измеряют максимальный уровень жидкости в танке

с помощью измерительной рулетки с грузом в соответствии с
4.3.13.
9.7.11. При наличии неровностей днища уровень жидкости по
9.7.3,
9.7.4,
9.7.10 измеряют измерительной рулеткой с грузом. Наличие или отсутствие неровностей днища устанавливают в соответствии с
В.1.5.
9.7.12. Результаты измерений объема

и температуры

жидкости в мерниках, уровня

, температуры

и плотности жидкости

в танке, максимального уровня

и углов крена

и дифферента

наливного судна вносят в протокол,
форма которого приведена в Приложении Б.
9.8. Определение вместимости танка с применением уровнемера и счетчика жидкости
9.8.1. Поверку танка проводят по схеме, приведенной на
рисунке А.2, в такой последовательности:
а) открывают вентиль 5;
б) устанавливают указатели шкал приборов (при необходимости) на нулевую отметку;
в) снимают показание счетчика жидкости 10 -

,
г) переводят трехходовой кран 7 в положение "Измерение";
д) поверочную жидкость подают в танк 4 через счетчик жидкости 10 из приемного танка 17 и наполняют его дозой жидкости до появления на дисплее уровнемера 2 значения 10 мм;
е) снимают показания манометра 9 -

;
ж) снимают показание термометра (измерителя температуры) 6 -

;
и) выключают насос 14 и снимают показание счетчика жидкости 10 -

.
9.8.2. Включают насос 14 и в пределах 1/20 части номинальной вместимости танка поверяют его статическим методом: при каждом изменении уровня жидкости в пределах до 30 мм прекращают подачу жидкости в танк. Одновременно снимают показания счетчика жидкости 10 -

, уровнемера 2 -

, манометра 9 -

и термометра (измерителя температуры) 6 -

. Отбирают пробу жидкости из танка и измеряют ее температуру

и плотность

в соответствии с
9.7.6 -
9.7.8.
9.8.3. При достижении уровня жидкости, соответствующего 1/20 части номинальной вместимости танка, его поверяют до предельного уровня динамическим или статическим методом.
9.8.4. Через каждое изменение уровня поверочной жидкости в поверяемом танке на 500 мм прекращают подачу поверочной жидкости в танк и измеряют углы крена

и дифферента

наливного судна в соответствии с
9.3.
9.8.5. Измеряют максимальный уровень жидкости в цистерне

в соответствии с
9.7.9 и
9.7.10.
9.8.6. Для танков (танкеров) большой вместимости (до 20000 м3) допускается определение вместимости и градуировки при наполнении их перевозимыми нефтепродуктами в процессе эксплуатации, начиная от уровня, равного нулю, до уровня, соответствующего полной вместимости, с соблюдением всех требований настоящих рекомендаций.
9.8.7. Результаты измерений объема

, температуры

и давления

дозы жидкости, уровня

, температуры

и плотности

жидкости в танке, максимального уровня

и углов

и

вносят в протокол,
форма которого приведена в Приложении Б.
9.9. Определение погрешности составления градуировочной таблицы
9.9.1. Погрешность составления градуировочной таблицы танка

, % вычисляют по формуле

, (6)
где

,

- пределы относительных погрешностей счетчика жидкости (мерников), уровнемера, %. Предел относительной погрешности уровнемера при абсолютной погрешности +/- 1 мм соответствует +/- 0,1%;

- относительная погрешность измерения температуры жидкости в танке, %;

- относительная случайная составляющая погрешности градуировочной таблицы, %;

- относительная погрешность измерений степени наклона танка (судна), %.
9.9.1.1. Относительную погрешность измерений температуры жидкости

, % (при условии введения температурной поправки к вместимости танка) вычисляют по формуле

,
где

,

- абсолютные погрешности измерений температуры жидкости в танке и счетчике, °C. Их значения в соответствии с
таблицей 1 равны 0,2 °C;

- коэффициент объемного расширения жидкости, 1/°C. Его значение определяют при применении в качестве поверочной жидкости нефтепродуктов по
формуле (В.4), 1/°C.
9.9.1.2. Относительную погрешность измерения степени наклона танка (судна)

, %, вычисляют по формуле

,
где

,

- абсолютные погрешности измерений углов крена и дифферента в радианах, принимаемые равными 0,00009696 рад (20").
9.9.1.3. Относительную случайную составляющую погрешности градуировочной таблицы

, %, определяют по
формуле (В.23) Приложения В.
9.9.2. Танк считается пригодным к применению в качестве средства измерений объема нефти и нефтепродуктов при проведении государственных учетных и торговых операций, взаимных расчетов между потребителем и поставщиком, если погрешность градуировочной таблицы, вычисленная по
формуле (6), находится в пределах, указанных в
4.1.2, и для него определен поправочный коэффициент.
9.9.3. Значение погрешности градуировочной таблицы

, определенное по
формуле (6), приводят в титульном листе градуировочной таблицы.
10. Обработка результатов измерений
10.1. Обработка результатов измерений при поверке танка
10.1.1. Обработку результатов измерений проводят в соответствии с
Приложением В.
10.1.2. Результаты вычислений вносят в журнал,
форма которого приведена в Приложении Г.
10.2. Составление градуировочной таблицы
10.2.1. Градуировочную таблицу составляют, начиная от плоскости, принятой за начало отсчета до предельного уровня

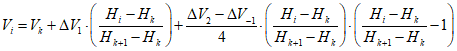
с шагом

, используя интерполяционную формулу

, (7)

,

,

,

- дозовые вместимости танка при наливе в него k - 1, k, k + 1 и k + 2 доз жидкости, соответствующие уровням наполнения

,

,

,

и вычисляемые по
формуле (В.24) или
формулам (В.25),
(В.26) Приложения В;

- текущий уровень наполнения танка.
В
формуле (7) вместимости

,

,

,

выражены в м3, а уровни

,

,

,

- в см.
10.2.2. Результаты расчетов при составлении градуировочной таблицы вносят в журнал, форма которого приведена в Приложении Г
(таблица Г.4).
10.2.3. При составлении градуировочной таблицы значения посантиметровой вместимости танка округляют до третьего значащего знака после запятой, дм3 (0,001 м3).
10.2.4. В пределах каждого шага (изменения уровня наполнения танка на 1 см) вычисляют коэффициент вместимости

, равный вместимости, приходящейся на 1 мм высоты наполнения, по формуле

, (8)
где

,

- вместимости танка, соответствующие уровням

,

и вычисляемые по
формуле (7).
10.2.5. Значения посантиметровой вместимости танка, указанные в градуировочной таблице, соответствуют температуре 20 °C и начальным значениям углов крена

и дифферента

по
4.3.2.
10.2.6. Объем нефти и нефтепродуктов, находящихся в поверяемых танках, определяют из градуировочных таблиц танков по уровням, пересчитанным по
формуле (В.7).
10.2.7. Порядок расчета при составлении градуировочной таблицы
10.2.7.1. Обработка результатов измерений может быть проведена ручным способом или с использованием ЭВМ.
10.2.7.2. Результаты измерений оформляют протоколом поверки.
10.2.7.3. Протокол поверки является входным документом при расчете градуировочной таблицы на ЭВМ.
10.2.7.4. Требования к машинному алгоритму обработки результатов измерений
Вместимость танка, приходящуюся на 1 см высоты наполнения, вычисляют последовательным суммированием значений вместимостей, приходящихся на 1 мм наполнения.
Последовательно суммируя значения вместимостей каждого миллиметрового наполнения, начиная с плоскости, принятой за начало отсчета, при

, см, или уровня наполнения, равного

, см, при

, вычисляют вместимость танка с интервалом 1 см.
10.3. При эксплуатации танков наливных судов, предназначенных для определения объема нефти и нефтепродуктов при проведении государственных учетных и торговых операций, взаимных расчетов между потребителем и поставщиком, определяют поправочные коэффициенты на полную вместимость танков.
Результаты определения поправочного коэффициента на полную вместимость танка оформляют актом, который прикладывают к градуировочной таблице.
11. Оформление результатов поверки
11.1. Положительные результаты поверки танка оформляют свидетельством о поверке по форме, установленной национальной (государственной) метрологической службой.
11.2. К свидетельству о поверке прилагают:
а) градуировочную таблицу;
б) протокол поверки (оригинал прикладывают к первому экземпляру градуировочной таблицы);
в) эскиз танка;
г) журнал обработки результатов измерений при поверке;
д) акт измерений базовой высоты (прикладывают ежегодно по результатам измерений базовой высоты).
11.3. Формы титульного листа градуировочной таблицы и градуировочной таблицы приведены в
Приложении Д.
Форма протокола поверки приведена в Приложении Б.
Форма акта измерений базовой высоты танка приведена в Приложении Е.
Протокол поверки подписывают поверитель и лица, принимавшие участие в проведении измерений параметров танка.
Титульный лист и последнюю страницу градуировочной таблицы подписывает поверитель. Подпись поверителя заверяют оттиском поверительного клейма, печати (штампа).
11.5. Градуировочную таблицу на танк утверждает руководитель организации национальной (государственной) метрологической службы или руководитель метрологической службы юридического лица, аккредитованные на право проведения поверки.
(обязательное)
СХЕМЫ ИЗМЕРЕНИЙ ПАРАМЕТРОВ И ПОВЕРКИ ТАНКА
1, 2, 3 - мерники; 4, 5, 6 - вентили наполнения;
7, 8, 9 - вентили опорожнения; 10 - насос; 11 - всасывающая
линия насоса; 12 - фильтр; 13 - приемный танк;
14 - поверяемый танк; 15 - поплавок уровнемера;
16 - уровнемер; 17 - приемно-раздаточный
патрубок; 18 - раздаточная труба
Рисунок А.1. Схема поверки танка с применением уровнемера
и мерников
1 - расширитель струи; 2 - уровнемер;
3 - поплавок уровнемера; 4 - поверяемый танк;
5, 13 - вентили; 6 - термометр (измеритель температуры);
7 - трехходовой кран; 8 - дроссель; 9 - манометр;
10 - счетчик жидкости; 12, 16 - фильтры; 11 - воздушный
кран; 14 - насос; 15 - всасывающая линия насоса;
17 - приемный танк; 18 - шланг; 19 - приемно-раздаточный
патрубок танка; 20 - раздаточная труба
Рисунок А.2. Схема поверки танка с применением уровнемера
и счетчика жидкости
1, 2, 3, 5 - танки; 4 - верхняя палуба наливного судна;

- угол между линиями OD и AB;

- угол между линиями
OF и OG;

- угол между линиями OD и OG, отсчитываемый
против часовой стрелки; CE - продольная ось симметрии
наливного судна; O - центр танка;

- центр наливного
судна; цифрами I, II, III, IV - обозначены
номера четвертей площади танка
Рисунок А.3. Схема размещения танков на наливном судне
1 - кровля танка; 2 - точка отсчета значений
уровня жидкости и базовой высоты; 3 - измерительный люк;
4 - направляющая планка; O - центр танка; AB - линия,
параллельная продольной оси симметрии танка;

- расстояние
между точкой отсчета 2 и центром танка O;

- расстояние
между линией AB и точкой отсчета 2
Рисунок А.4. Схема размещения измерительного люка
на кровле танка
1 - измерительный люк; 2 - свободная поверхность
жидкости при наличии наклона судна; 3 - свободная
поверхность жидкости при отсутствии наклона судна; 4 - танк;

- расстояние между центром танка и точкой отсчета
значений уровня жидкости (базовой высоты);

- базовая высота танка при отсутствии наклона
судна;

- базовая высота танка при наличии наклона
судна;

- уровень жидкости при наличии наклона судна;
EB - уровень жидкости при отсутствии наклона судна
Рисунок А.5. Схема наклоненного танка с жидкостью
(обязательное)
ФОРМА ПРОТОКОЛА ПОВЕРКИ ТАНКА
ПРОТОКОЛ
поверки резервуара объемным методом
Таблица Б.1
Общие данные
Регистрационный номер | Дата | Основание для проведения поверки |
число | месяц | год |
| | | | |
Продолжение таблицы Б.1
Место проведения поверки | Средства поверки |
| |
Окончание таблицы Б.1
Тип наливного судна | Номер строительный | Номер танка (грузового отсека) |
| | |
Таблица Б.2
Условия поверки
Условия проведения поверки |
Температура воздуха, °C | Загазованность, мг/м3 |
| |
Таблица Б.3
Геометрические параметры танка
В миллиметрах
Номер измерения | Базовая высота  | Высота "мертвой" полости  | Координаты точки отсчета значений уровня жидкости и базовой высоты |
| |
Первое | | | | |
Второе | | | | |
Таблица Б.4
Параметры (начальные) поверочной жидкости
Наименование поверочной жидкости | Начальная температура, °C | Коэффициент сжимаемости  , 1/МПа | Плотность  , кг/м3 |
в танке  | в мерниках  | в счетчике жидкости  |
| | | | | |
Примечания 1  ,  ,  - значения температуры поверочной жидкости, измеренные в момент отбора пробы в соответствии с 9.7.4 настоящих рекомендаций. 2 За начальную температуру в мернике принимают среднеарифметическое результатов измерений температур в мерниках. |
Таблица Б.5
Уровень, базовая высота, углы крена и дифферента
Уровень  , мм | Базовая высота  , мм | Углы |
крена  | дифферента  |
| | | |
| | | |
| | | |
| | | |
| | | |
| | | |
| | | |
| | | |
| | | |
| | | |
| | | |
Таблица Б.6
Объем и параметры (текущие) поверочной жидкости
Объем дозы  , дм3, или показание счетчика  , дм3 (  , имп.) | Температура жидкости, °C в | Давление в счетчике жидкости  , МПа |
мерниках  или счетчике жидкости  | танке  |
| | | |
| | | |
| | | |
| | | |
| | | |
| | | |
Таблица Б.7
Максимальный уровень поверочной жидкости
Показание измерительной рулетки с грузом  , мм | Показание уровнемера  |
1-е измерение | 2-е измерение |
| | |
Коэффициент преобразования счетчика жидкости
K = ... имп./дм3.
Должности Подписи, оттиски И.О. Фамилия
поверительных клейм,
печатей (штампов)
(обязательное)
ОБРАБОТКА РЕЗУЛЬТАТОВ ИЗМЕРЕНИЙ ПРИ ПОВЕРКЕ ТАНКА
B.1. Обработка результатов измерений при поверке танка с применением мерников
В.1.1. Объем j-й дозы жидкости

, дм3, измеренный мерником (мерниками), вычисляют по формуле

, (В.1)
где

,

, ...,

- номинальные вместимости мерников, дм3;
n, m, ...

- число измерений с помощью мерников, номинальными вместимостями

,

, ...,

.
Значения n, m, ...

выбирают из ряда: 0, 1, 2, ...;

- коэффициент объемного расширения материалов мерников, 1/°C. Его значение для стали принимают равным

;

- температура j-й дозы жидкости, вычисляемая по формуле

, (В.2)
где

,

, ...,

- средние температуры жидкости, определенные по результатам n, m, ...,

измерений в мерниках номинальными вместимостями:

,

, ...,

, °C;
j-й - номер дозы. Его значение выбирают из ряда: 0, 1, 2, ...
В.1.2. Объем налитой в танк j-й дозы жидкости

, м3, соответствующий изменению уровня ее в танке в пределах от 10 до 100 мм, вычисляют по формуле

, (В.3)

- коэффициент объемного расширения жидкости, 1/°C, его значение принимают для воды равным

, для нефтепродуктов определяют по формуле

, (В.4)

- плотность жидкости в танке после поступления в него j-й дозы жидкости, кг/м3;

- температура жидкости в танке после поступления в него j-й дозы жидкости, °C;
В.1.3. Объем налитой в танке начальной дозы жидкости

, м3, вычисляют по формуле

, (В.5)

- температура жидкости в танке, измеренная в первой пробе ее, отобранной из танка, °C;

- коэффициент объемного расширения жидкости, вычисляемый по
формуле (В.4) при плотности

, измеренной как указано в
9.7.4 настоящих рекомендаций.
В.1.4. Плотность жидкости в танке после поступления в него j-й дозы

вычисляют по формуле

. (В.6)
В.1.5. Пересчет уровня поверочной жидкости после поступления в поверяемый танк j-й ее дозы

, измеренного при текущих значениях углов крена и дифферента, к начальным значениям этих углов в зависимости от наличия или отсутствия неровностей днища проводят по формуле
(рисунок А.5):

(В.7)
или

, (В.8)
где

- уровень поверочной жидкости при поступлении в поверяемый танк j-й дозы и значениях углов крена

и дифферента

, мм;

- базовая высота, измеренная при значениях углов крена

и дифферента

, мм;

- поправка на дифферент (крен) при наличии неровностей днища, мм;

- поправка на дифферент (крен) при отсутствии неровностей днища, мм.
В.1.5.1. Если значение базовой высоты

, измеренной при наличии степени наклона танка (судна)

, отличается от ее значения, вычисляемого по формуле

,
более чем на +/- 0,03%, то имеет место наличие неровностей днища.
В.1.5.2. Поправки на дифферент (крен) судна вычисляют:
а) при положительном дифференте (крене) по формулам:

;

,
б) при отрицательном дифференте (крене) по формулам:

;

,
где

- расстояние между центром танка и точкой отсчета значений уровня жидкости (базовой высоты), мм;

- базовая высота танка, измеренная при отсутствии углов дифферента и крена, мм;

- степень наклона танка (судна), вычисляемая по
формуле (1) настоящих рекомендаций;

- угол между плоскостью, проходящей через центры измерительного люка и танка, и направлением наклона судна
(рисунок А.3), отсчитываемый по ходу часовой стрелки.
Значение угла (

в зависимости от расположения измерительного люка в четвертях окружности

- в первой четверти;

- во второй четверти и т.д.) вычисляют:
- при положительном крене (крен на правый борт судна - правый борт судна опущен) по формулам:

;

;

;

,
где значения

и

вычисляют по формулам:

;

<1>;
--------------------------------
<1> Значение угла

принимают без учета его знака.
- при отрицательном крене (крен на левый борт судна - левый борт судна опущен) по формулам:

;

;

;

,
где к - коэффициент, значение которого принимают: к = 0 при дифференте судна на корму - нос судна поднят

, к = 1 при дифференте судна на нос - корма судна поднята

.
Значения

принимают равными:
1)

- при расположении измерительного люка в плоскости, параллельной диаметральной плоскости судна;
2)

- при расположении измерительного люка в плоскости, параллельной поперечной плоскости, проходящей через центр тяжести судна.
При отсутствии крена судна значение величины

принимают равным

.
При отсутствии дифферента судна значения величины

принимают равными:
1)

- при отрицательном крене судна

;
2)

- при положительном крене судна

.
В.1.5.3. Результаты вычисления поправок на дифферент (крен)

,

вносят в таблицу поправок,
форма которой приведена в Приложении Г.
В.1.6. Вычисление базовой высоты танка
В.1.6.1. Базовую высоту танка

вычисляют по формуле

, (В.9)
где

,

- результаты двух измерений базовой высоты танка.
В.1.6.2. Результат вычисления

вносят в журнал,
форма которого приведена в Приложении Г.
В.1.7. Вычисление высоты "мертвой" полости
В.1.7.1. Высоту "мертвой" полости

вычисляют по формуле

, (В.10)
где

,

- результаты двух измерений высоты "мертвой" полости.
В.1.7.2. Результат вычисления

вносят в журнал,
форма которого приведена в Приложении Г.
В.1.8. Вычисление температур в танке по результатам измерений температур доз жидкости
В.1.8.1. Температуры жидкости в танке в пределах нулевой и первой суммарных доз жидкости вычисляют по формулам:
где

- температура жидкости, измеренная в первой пробе в соответствии с
9.7.4;

,

,

,

- температуры жидкости в танке при поступлении в него

,

, ...,

,

доз;

- число доз в объеме нулевой суммарной дозы;

- среднее температурное изменение, приходящееся на каждую дозу жидкости, в пределах первой суммарной дозы, °C, вычисляемое по формуле

, (В.11)
где

- температура жидкости, измеренная во второй пробе и соответствующая температуре жидкости в танке при поступлении в него дозы

, °C;
m - число доз в объеме нулевой и первой суммарных доз жидкости.
В.1.8.2. Температуры жидкости в танке в пределах нулевой, первой и второй суммарных доз жидкости вычисляют по формулам
где

,

, ...,

,

- температуры жидкости в танке при поступлении в него

,

, ...,

,

доз, °C;

,(В.13)
где

- температура жидкости, измеренная в третьей пробе и соответствующая температуре жидкости в танке при поступлении в него дозы

;

- число доз в объеме нулевой, первой и второй суммарных доз жидкости.
При наполнении танка третьей, четвертой и др. суммарными дозами температуры жидкости в танке после поступления в него каждой дозы определяют аналогично.
В.1.9. Вычисление максимального уровня жидкости в танке
В.1.9.1. Максимальный уровень жидкости,

, мм, измеренный измерительной рулеткой с грузом, вычисляют по формуле

, (В.14)
где

,

- результаты двух измерений максимального уровня, мм.
В.1.10. Вычисление разности максимальных уровней жидкости в танке
В.1.10.1. Разность максимальных уровней жидкости в танке

, измеренных в конце его поверки уровнемером и измерительной рулеткой с грузом, вычисляют по формуле

, (В.15)
где

,

- максимальные уровни жидкости, измеренные измерительной рулеткой с грузом и уровнемером, мм.
В.1.10.2. Значение

, определенное по
формуле (В.15), может быть положительным и отрицательным.
В.2. Обработка результатов измерений при поверке танка с применением счетчика жидкости
В.2.1. Объем j-й дозы жидкости, прошедший через счетчик жидкости

, дм3, вычисляют по формуле для счетчиков жидкости:
а) с непосредственным отсчетом объема жидкости в кубических дециметрах

; (В.16)
б) с импульсным выходом

, (В.17)
где

,

- показания счетчика жидкости, дм3;

,

- число импульсов от преобразователя счетчика жидкости, имп.;
K - коэффициент преобразования счетчика жидкости, имп./дм3.
В.2.2. Объем налитой в танк j-й жидкости

, м3, соответствующий изменению уровня ее в танке не более 30 мм, вычисляют по формуле

, (В.18)

- коэффициент объемного расширения жидкости, 1/°C. Его значение определяют в соответствии с В.1.2;

- температура жидкости в танке после поступления в него j-й дозы, °C;

- температура j-й дозы жидкости в трубопроводе, счетчике жидкости, °C;

- коэффициент сжимаемости жидкости, 1/МПа. Его значение принимают:
для воды -

; керосина -

; дизельного топлива -

; нефти по <1>;
--------------------------------
<1> На территории Российской Федерации действует
МИ 2153-2004.

- избыточное давление жидкости в счетчике жидкости, МПа;
g - ускорение свободного падения, м/с2;

- уровень жидкости в танке, м.
В.2.3. Объем налитой в танк начальной дозы жидкости, соответствующий перечислению д) 9.8.1 настоящих рекомендаций,

, м3, вычисляют по формуле

, (В.19)
где

- температура жидкости в танке, измеренная в первой пробе ее, отобранной из танка, °C;

- температура жидкости в трубопроводе в момент отбора первой пробы жидкости из танка, °C;

- коэффициент объемного расширения жидкости, вычисляемый по
формуле (В.4) при плотности

, измеренной в соответствии с
9.7.6 настоящих рекомендаций.
В.2.4. Обработка результатов измерений объемов доз жидкости методом наименьших квадратов
В.2.4.1. При поверке танка динамическим методом с применением счетчика жидкости возникают дополнительные погрешности, обусловленные динамичностью процесса измерений доз жидкости. Поэтому результаты измерений доз жидкости обрабатывают методом наименьших квадратов с целью сглаживания результатов измерений и определения динамической погрешности.
В.2.4.2. Предельный уровень наполнения танка, соответствующий полной вместимости танка, разбивают на отдельные участки. При этом длину участка (расстояние между точками разбивки) принимают не более 100 мм.
В.2.4.3. Зависимость объема дозы жидкости от уровня наполнения для m-го участка

представляют формулой

, (В.20)
где

,

,

- постоянные коэффициенты для m-го участка;

- текущий уровень жидкости в m-м участке, изменяющийся от

до

;
n - число точек измерений в m-м участке.
В.2.4.4. Значения коэффициентов

,

,

определяют, решая систему уравнений

;

; (В.21)

.
В.2.4.5. Относительную оценку среднеквадратического отклонения для m-го участка

, %, вычисляют по формуле

, (В.22)
где

,

- объемы доз жидкости, соответствующие уровням

и

;

- текущий объем дозы жидкости, вычисляемый по
формуле (В.18) для m-го участка;

- зависимость объема дозы жидкости от уровня ее наполнения для m-го участка, представленная
формулой (В.20).
В.2.4.6. Случайную составляющую погрешности градуировочной таблицы

, %, вычисляют по формуле

, (В.23)
где

,

, ...,

- величины, вычисляемые по формуле (В.22);

- число участков предельного уровня наполнения танка.
В.2.5. Пересчет уровня поверочной жидкости после поступления в поверяемый танк j-й дозы

, измеренного при текущих значениях углов крена и дифферента, вычисляют по
формуле (В.7).
В.2.7. Максимальный уровень жидкости в танке

вычисляют по
формуле (В.14).
В.2.8. Разность максимальных уровней жидкости в танке

вычисляют по
формуле (В.15).
В.3. Если выполняются условия:
а) при применении воды

;

;

;

;
б) при применении нефти и нефтепродуктов

;

;

;

,
В.4. Вычисление дозовой вместимости танка
В.4.1. Дозовую вместимость танка при наливе в него k доз жидкости

, м3, вычисляют по формуле

, (В.24)
где k - число налитых в танк доз жидкости;
j - номер налитой дозы, принимает: j = 0, 1, 2,..., k;

- объем j-й дозы, измеренный мерником (мерниками), вычисляемый по
формулам (В.3) и
(В.5). При применении счетчика жидкости объем j-й дозы

определяют для каждого участка по
формуле (В.20);

- температура жидкости в танке при наливе в него k доз, °C;

- температура жидкости в танке при наливе в него j-й дозы, °C;

- коэффициент объемного расширения жидкости, 1/°C. Его значение определяют в соответствии с В.1.2;

- коэффициент линейного расширения материала танка, 1/°C. Его значение для стали принимают равным

.
В.4.1.1. Значение k принимают: k = 0 - при наливе в танк начальной дозы

;
k = 1 - при наливе дозы

;
k = 2 - при наливе дозы

;
k = n - при наливе последней дозы

.
В.4.2. При невозможности измерений температуры жидкости в танке при наливе в него каждой дозы в соответствии с
9.6,
9.7 настоящих рекомендаций дозовую вместимость танка вычисляют по формулам:
а) при наполнении танка первой суммарной дозой

. (В.25)
Значения k принимают: 0, 1, 2, 3, ...,

.
Температуры

,

, ...,

вычисляют по
формуле (В.10), используя результаты измерений температур

и

;
б) при наполнении танка второй суммарной дозой

, (В.26)
где

- вместимость танка при уровне 500 мм, вычисляемая по
формуле (В.25) при

.
Значения k принимают:

,

,

, ..., S.
Температуры

,

, ...,

вычисляют по
формуле (В.12), используя результаты измерений температур

и

;
в) при наполнении танка третьей, четвертой и др. суммарными дозами дозовые вместимости его вычисляют аналогично.
а) при применении воды

;

;
б) при применении нефти и нефтепродуктов

;

;
В.4.4. Результаты вычислений по
В.4.1,
В.4.2 вносят в журнал,
форма которого приведена в Приложении Г.
(обязательное)
ФОРМА ЖУРНАЛА ОБРАБОТКИ РЕЗУЛЬТАТОВ ИЗМЕРЕНИЙ
ЖУРНАЛ
обработки результатов измерений
Г.1. Вычисление базовой высоты танка

.
Г.2. Вычисление высоты "мертвой" полости

.
Г.3. Вычисление температур жидкости в танке
Таблица Г.1
В градусах Цельсия
Г.4. Вычисление максимального уровня жидкости в танке

.
Г.5. Вычисление разности максимальных уровней жидкости в танке

.
Г.6. Вычисление дозовой вместимости
Таблица Г.2
Уровень наполнения, см | Объем дозы, м3 | Дозовая вместимость, м3 |
| | |
| | |
| | |
... | ... | ... |
| | |
Примечания 1  ,  , ...,  - уровни жидкости в танке после поступления в него доз  ,  , ...,  вычисляемые по формуле (В.7) или (В.8). |
Г.7. Вычисление поправок на дифферент (крен) судна

Таблица Г.3
Таблица поправок
Степень наклона,  | Поправки | Значение угла  , градус |
1 | 2 | 3 | 4 | 5 | ... | ... | ... | ... | 360 |
0,01 | | | | | | | | | | | |
| | | | | | | | | | |
0,02 | | | | | | | | | | | |
| | | | | | | | | | |
0,03 | | | | | | | | | | | |
| | | | | | | | | | |
... | | | | | | | | | | | |
| | | | | | | | | | |
... | | | | | | | | | | | |
| | | | | | | | | | |
Г.8. Составление градуировочной таблицы
Уровень наполнения, см | Вместимость, м3 | Коэффициент вместимости, <*> м3/мм |
| 10,503 | 0,003 |
| 10,533 | 0,004 |
| 10,575 | ... |
... | ... | ... |
... | ... | ... |
... | ... | ... |
... | ... | ... |
| 48,345 | 0,003 |
| 48,375 | |
<*> Коэффициент вместимости - вместимость, приходящаяся на 1 мм высоты наполнения  . |
Вычисление провел
____________________________
подпись, инициалы, фамилия
"__" _____________ _____г.
(обязательное)
ФОРМЫ ТИТУЛЬНОГО ЛИСТА ГРАДУИРОВОЧНОЙ ТАБЛИЦЫ
И ГРАДУИРОВОЧНОЙ ТАБЛИЦЫ
Д.1. Форма титульного листа градуировочной таблицы
Титульный лист
УТВЕРЖДАЮ
ГРАДУИРОВОЧНАЯ ТАБЛИЦА
танка
(тип наливного судна) (танка)
Организация____________________________________________________________
Погрешность составления градуировочной таблицы

Базовая высота танка

┌─────────────────────────────────────────────────────────────────────────┐
│ Программа расчета градуировочной таблицы на ПЭВМ утверждена │
│ ФГУП ВНИИР - ГНМЦ │
│ "__" ___________________ г. │
└─────────────────────────────────────────────────────────────────────────┘
Срок очередной поверки __________________________
Поверитель
________________________________
подпись
______________________________
должность, инициалы, фамилия
2 Форма градуировочной таблицы
ГРАДУИРОВОЧНАЯ ТАБЛИЦА
Организация ___________________________________________________________
Танк N ____________________________
лист __
Уровень наполнения, см | Вместимость, м3 | Коэффициент вместимости, м3/мм |
1 | | |
2 | | |
3 | | |
... | | |
... | | |
... | | |
... | | |
... | | |
| | |
(обязательное)
ФОРМА АКТА ИЗМЕРЕНИЙ БАЗОВОЙ ВЫСОТЫ ТАНКА
СОГЛАСОВАНО УТВЕРЖДАЮ
Руководитель организации национальной Руководитель предприятия владельца
(государственной) метрологической танка (директор, гл. инженер)
службы
АКТ
измерения базовой высоты танка
"___" ________________ г.
Составлен в том, что комиссия, назначенная приказом ___________________
предприятие
__________________________________________________, в составе: председателя
владельца танка
________________________________ и членов _________________________________
инициалы и фамилия инициалы и фамилия
провела в соответствии с ГОСТ контрольные измерения базовой высоты
танка _______________________________ N ___________________ при температуре
тип и ном. вместимость
окружающей среды, °C ______.
Результаты измерения представлены в таблице
Таблица
Базовая высота танка | Относительное изменение базовой высоты танка, % | Уровень наполнения танка,  , мм |
среднее значение двух результатов измерений  , мм | предыдущее значение  ,мм |  , % |
| | | |
Вывод: требуется (не требуется) переградуировка танка
Председатель комиссии
____________ _____________________
подпись инициалы, фамилия
Члены:
____________ _____________________
подпись инициалы, фамилия
____________ _____________________
подпись инициалы, фамилия
____________ _____________________
подпись инициалы, фамилия
| ТУ 25-1819.0021-90 | Секундомеры |
| ТУ ДКТЦ 413441.102 | Анализатор-течеискатель АНТ-2М |