Главная // Актуальные документы // АктСПРАВКА
Источник публикации
М.: Госстрой РФ, ГУП ЦПП, 2003
Примечание к документу
Документ
введен действие с 01.03.2003.
Название документа
"СП 41-105-2002. Проектирование и строительство тепловых сетей бесканальной прокладки из стальных труб с индустриальной тепловой изоляцией из пенополиуретана в полиэтиленовой оболочке"
(одобрен Постановлением Госстроя РФ от 26.12.2002 N 168)
"СП 41-105-2002. Проектирование и строительство тепловых сетей бесканальной прокладки из стальных труб с индустриальной тепловой изоляцией из пенополиуретана в полиэтиленовой оболочке"
(одобрен Постановлением Госстроя РФ от 26.12.2002 N 168)
от 26 декабря 2002 г. N 168
СИСТЕМА НОРМАТИВНЫХ ДОКУМЕНТОВ В СТРОИТЕЛЬСТВЕ
СВОД ПРАВИЛ ПО ПРОЕКТИРОВАНИЮ И СТРОИТЕЛЬСТВУ
ПРОЕКТИРОВАНИЕ И СТРОИТЕЛЬСТВО ТЕПЛОВЫХ СЕТЕЙ
БЕСКАНАЛЬНОЙ ПРОКЛАДКИ ИЗ СТАЛЬНЫХ ТРУБ
С ИНДУСТРИАЛЬНОЙ ТЕПЛОВОЙ ИЗОЛЯЦИЕЙ
ИЗ ПЕНОПОЛИУРЕТАНА В ПОЛИЭТИЛЕНОВОЙ ОБОЛОЧКЕ
DESIGN AND CONSTRUCTION OF THE HEATING NONCHANNEL SYSTEMS
OF STEEL PIPES WITH FOAMED POLYURETHANE THERMAL
INSULATION IN POLYETHYLENE JACKET
СП 41-105-2002
Дата введения
1 марта 2003 года
1. Разработан Ассоциацией производителей и потребителей трубопроводов с индустриальной полимерной изоляцией, Государственным унитарным предприятием "Научно-исследовательский институт московского строительства" (ГУП "НИИМосстрой"), ОАО "Объединение ВНИПИЭнергопром" и группой специалистов.
Внесен Управлением стандартизации, технического нормирования и сертификации Госстроя России.
2. Одобрен для применения в качестве нормативного документа Системы нормативных документов в строительстве
постановлением Госстроя России от 26.12.2002 г. N 168
3. Введен впервые
Настоящий Свод правил содержит указания по проектированию и строительству подземных тепловых сетей бесканальной прокладки из стальных труб и фасонных изделий с индустриальной тепловой изоляцией из пенополиуретана в полиэтиленовой оболочке. Выполнение этих указаний обеспечит соблюдение обязательных требований к тепловым сетям и их изоляции, установленных действующими нормативными документами:
СНиП 2.04.07,
СНиП 3.05.03.
В данном Своде правил приведены правила проектирования и прокладки стальных труб и фасонных изделий, изолированных пенополиуретаном в защитной оболочке из полиэтилена, изготовленных в заводских условиях по
ГОСТ 30732.
Кроме того, установлены общие требования к способам соединений труб, рассмотрены правила бесканальной прокладки тепловых сетей, хранения труб и техники безопасности.
При разработке Свода правил использованы зарубежные материалы:
проект EN 13941-2000 Проектирование и монтаж предварительно изолированных связанных систем трубопроводов для тепловых сетей централизованного теплоснабжения;
П. Рандлов. Справочник по централизованному теплоснабжению Европейской Ассоциации Производителей предварительно изолированных труб для централизованного теплоснабжения, 1997 (пер. Малафеевой Т.Г.).
Отдельные положения этих документов в части прокладки тепловых сетей, транспортирования и хранения труб, техники безопасности учтены в настоящем Своде правил.
В разработке Свода правил принимали участие: канд. техн. наук И.А. Майзель (Ассоциация производителей и потребителей трубопроводов с индустриальной полимерной изоляцией), канд. техн. наук А.В. Сладков, канд. техн. наук В.Г. Петров-Денисов (ГУП "НИИМосстрой"), канд. техн. наук Я.А. Ковылянский, канд. техн. наук Г.Х. Умеркин, А.И. Коротков (ОАО "Объединение ВНИПИЭнергопром"), канд. техн. наук В.Я. Магалиф, канд. техн. наук Е.Е. Шапиро (ООО НТП "Трубопровод"), Ю.У. Юнусов, Н.Г. Шевченко (Мосинжпроект), В.Г. Кухтин, Г.В. Булыгин, А.В. Поляков, Д.В. Антонов (ЗАО "МосФлоулайн"), О.В. Полушкин, Ш.Н. Абайбуров (АОЗТ "Корпорация ТВЭЛ"), Л.Е. Любецкий (АОЗТ "Ленгазтеплострой"), А.В. Новиков, В.К. Смирнов (Тепловые сети - филиал "Мосэнерго"), О.К. Баянова (ГМП "Мостеплоэнерго"), Д.В. Овчинников, Р.О. Коваленко (ЗАО "Стройполимер"), А.В. Фишер (АО "Моспроект"), канд. техн. наук В.Б. Ковалевский (ВНИИСТ), В.Г. Семенов, А.В. Аушев (ЗАО "Вектор"), В.А. Глухарев (Госстрой России).
Настоящий Свод правил распространяется на проектирование и строительство тепловых сетей из стальных труб с тепловой изоляцией из пенополиуретана в полиэтиленовой оболочке (далее - изолированные трубы и изделия) при бесканальной прокладке. Расчетные параметры теплоносителя: температура не более 130 °C и рабочее давление - не более 1,6 МПа. Допускается кратковременное воздействие температуры до 150 °C.
Перечень нормативных документов, на которые даны ссылки в настоящем Своде правил, приведен в
Приложении А.
3.1. Для строительства тепловых сетей (магистральных, распределительных и квартальных) применяются изолированные трубы и фасонные изделия по
ГОСТ 30732. Конструкция труб представлена на рисунке 1.
1 - центрирующая опора; 2 - изоляция из пенополиуретана;
3 - труба-оболочка из полиэтилена; 4 - стальная труба;
5 - проводники-индикаторы системы ОДК (показаны условно)
Рисунок 1
3.2. Теплоизолированные трубы диаметром 530, 630 и 720 мм, тип 1 могут применяться для бесканальной прокладки тепловых сетей во всех климатических районах России (
таблица 1 ГОСТ 30732).
3.3. Кроме труб и фасонных изделий по
ГОСТ 30732, должны поставляться комплектно в заводском исполнении следующие элементы:
- полносборные щитовые железобетонные неподвижные опоры;
- компенсаторы осевые сильфонные;
- компенсаторы стартовые;
- элементы изоляции стыковых соединений;
- компоненты пенополиуретана (ППУ) для заливки стыков;
- гильзы резиновые или полимерные для уплотнения проходов сквозь строительные конструкции или металлические (стальные) с сальниковым уплотнением;
- амортизирующие прокладки для восприятия боковых перемещений теплопроводов;
- элементы сигнальной системы оперативного дистанционного контроля (далее - ОДК), в том числе приборы системы ОДК.
3.4. Расчет прочности стального трубопровода в настоящем СП ограничивается расчетом на статическую прочность. Если условия статической прочности не могут быть выполнены, то рекомендуется производить расчет на циклическую прочность в соответствии с [
1] с помощью компьютерных программ.
3.5. При применении сильфонных компенсаторов следует учитывать, что конструкции осевых сильфонных компенсаторов (СК) и сильфонных компенсирующих устройств (СКУ) должны отвечать следующим показателям надежности конструкции:
- вероятности безотказной работы на уровне 0,9;
- готовности к штатной работе на уровне 0,999.
3.6. Теплоизоляция стальных труб и фасонных изделий и деталей должна иметь не менее двух линейных проводников-индикаторов (сигнальных проводников) системы ОДК состояния влажности ППУ в процессе эксплуатации теплопровода. Проводники-индикаторы следует располагать на расстоянии 10 - 25 мм от поверхности стальной трубы.
3.7. Система оперативного дистанционного контроля предназначена для контроля состояния влажности теплоизоляционного слоя из пенополиуретана изолированных трубопроводов и обнаружения с помощью стационарных или переносных детекторов участков с повышенной влажностью изоляции, вызванной либо проникновением влаги через внешнюю полиэтиленовую оболочку трубопровода, либо за счет утечки теплоносителя из стального трубопровода вследствие коррозии или дефектов сварных соединений.
3.8. Система ОДК включает:
- медные проводники-индикаторы в теплоизоляционном слое трубопроводов, проходящие по всей длине теплопроводов, основной сигнальный проводник и транзитный проводник;
- клеммные коробки с вводами, клеммной колодкой и разъемами (терминалы) для подключения приборов и соединения сигнальных проводников в точках контроля;
- кабели для соединения проводников-индикаторов, проложенных в изоляции с терминалами в точках контроля, а также для соединения проводников-индикаторов на участках трубопроводов, где установлены неизолированные элементы трубопровода (запорная арматура и т.д.), через элементы с герметичными кабельными выводами;
- стационарный или переносной детектор повреждений;
- локатор повреждений.
3.9. Проводники-индикаторы должны изготавливаться из медной проволоки сечением 1,5 мм2 (марка ММ 1,5). Сопротивление сигнальных проводников должно быть в пределах 0,012 - 0,015 Ом на 1 м длины, сопротивление тепловой изоляции из пенополиуретана - 1 МОм на 300 м длины теплопровода.
4. ПРОЕКТИРОВАНИЕ ТЕПЛОВЫХ СЕТЕЙ
Выбор труб и деталей
4.1 Для строительства тепловых сетей необходимо применять новые (не бывшие в употреблении) стальные трубы.
4.2. Трубы, применяемые для патрубков и элементов кожуха стартовых, осевых сильфонных компенсаторов и сильфонных компенсирующих устройств, должны соответствовать основным механическим свойствам металла, приведенным в Приложении Б,
таблица Б.1.
4.3. Для труб тепловых сетей, патрубков осевых СК и СКУ и других элементов могут применяться электросварные и бесшовные трубы в регионах с расчетной температурой наружного воздуха

из следующих марок стали:
до минус 30 °C - из стали марок 10, 20, Вст3сп5;
до минус 40 °C - из стали марок 17ГС, 17Г1С, 17Г1СУ;
до минус 50 °C - из стали марки 09Г2С.
Для изготовления отводов, тройников, переходов, неподвижных опор, патрубков компенсаторов спиральношовные трубы не допускаются.
4.4. Допускается применение стальных труб и фасонных деталей трубопроводов зарубежного производства, отвечающих требованиям правил устройства и безопасной эксплуатации трубопроводов пара и горячей воды [
2] и имеющих сертификаты соответствия.
4.5. Отводы для труб следует применять крутоизогнутые с условными проходами от 40 до 600 мм с углами гиба 30°, 45°, 60°, 90°.
Допускается применять сварные отводы с условными проходами от 100 до 1000 мм из бесшовных и прямошовных труб с углами поворота 15°, 22°30', 30°, 45°, 60°, 67°30', 90°, а также гнутые с условными проходами от 10 до 400 мм из бесшовных труб с углами гиба 7°30', 15°, 30°, 45°, 60°, 75°, 90°.
Для отводов меньших углов поворота применяются концевые сектора с углами 7°30', 11°15' и 15° и косые стыки.
4.6. Отводы, тройники, запорная арматура, элементы металлических неподвижных опор, спускники и воздушники должны поставляться в заводской изоляции.
4.7. Могут применяться узлы труб для неподвижных щитовых опор заводского изготовления с приваренными к ним опорными фланцами, выступающими над изоляцией для заделки этих элементов в железобетонной опоре.
4.8. При устройстве канальных участков, ниш (для П-образных компенсаторов и футляров) следует применять скользящие опоры с креплением хомутами по гидрозащитной оболочке.
Допускается укладка изолированных труб на песчаное основание в каналах.
4.9. При расчете тепловых потерь изолированных труб следует руководствоваться
СП 41-103.
4.10. Расчеты стальных труб и соединительных деталей тепловых сетей на прочность проводят по номинальным допускаемым напряжениям.
Номинальные допускаемые напряжения

, МПа, для электросварных труб и деталей, наиболее часто применяемых в тепловых сетях, приведены в таблице 1.
Таблица 1
Расчетная температура, °C |  , МПа, для марок стали |
Вст3сп5 | 10 | 20 | 17ГС, 17Г1С, 17Г1СУ | 09Г2С |
20 | 150 | 150 | 150 | 208 | 208 |
100 | 142 | 150 | 150 | 208 | 208 |
150 | 134 | 144 | 146 | 201 | 195 |
При необходимости использовать стали, марки которых не приведены в таблице, номинальные допускаемые напряжения определяются по формуле

, (1)
где

- временное сопротивление растяжению при расчетной температуре, МПа;

- условный предел текучести при расчетной температуре, МПа.
Обе характеристики принимаются по стандартам, нормалям или другим нормативным документам на трубы и детали при температуре 20 °C и пересчитываются с понижающим коэффициентом для заданной рабочей температуры (таблица 2).
Таблица 2
Температура, °C | Стали |
Углеродистые обыкновенного качества | Углеродистые качественные с содержанием углерода, % | Углеродистые низколегированные и легированные с содержанием углерода, % |
0,07 - 0,14 | 0,17 - 0,24 | 0,14 - 0,20 | 0,07 - 0,12 |
20 | 1,00 | 1,00 | 1,00 | 1,00 | 1,00 |
100 | 0,947 | 1,000 | 1,00 | 1,00 | 1,00 |
150 | 0,893 | 0,960 | 0,973 | 0,966 | 0,938 |
4.11. При отличии нагрузок на трубопровод от принятых номинальных значений вводятся коэффициенты запаса: 10% - для собственного веса труб, деталей, арматуры и 20% - для веса изоляции и грунта (коэффициенты перегрузки соответственно 1,1 и 1,2).
Решение о введении дополнительных запасов прочности при расчете на указанные нагрузки в каждом конкретном случае принимается проектной организацией.
4.12. При необходимости расчет толщины стенок труб и фасонных изделий рекомендуется вести по [
1].
4.13. Выбор запаса по толщине стенки труб на коррозию производится проектной организацией по требованию заказчика.
4.14. Если имеется риск овализации трубы вследствие давления грунта, рекомендуется принимать усиленную толщину стенки, которая рассчитывается по [
1].
4.15. Методика расчета компенсации температурных деформаций приведена в
Приложении В.
Проверка теплопровода на устойчивость
4.16. Изолированные трубопроводы при бесканальной прокладке рекомендуется проверять на устойчивость (продольный изгиб).
4.17. Обязательная проверка проводится в следующих случаях:
- при малой глубине заложения теплопроводов (менее ~ 1 м от оси труб до поверхности земли);
- при вероятности затопления теплопровода грунтовыми, паводковыми или другими водами;
- при вероятности ведения рядом с теплотрассой земляных работ;
- при необходимости принятия дополнительных мер по обеспечению живучести теплопровода (на основе технического задания заказчика).
Обязательная проверка проводится также в случае прокладки участка теплопровода в канале, на эстакаде или надземно.
4.18. Проверку теплопроводов на устойчивость следует выполнять по
Приложению Г.
Защита от коррозии
4.19. Защита наружной поверхности стальных труб от коррозии не требуется в связи с обязательным устройством системы оперативного дистанционного контроля за увлажнением и организацией немедленной замены увлажненных участков сухими ремонтно-восстановительной службой.
4.20. Не изолированные в заводских условиях концы трубных секций, отводов, тройников и других металлоконструкций при работе со скорлупами для заделки стыков должны покрываться на период монтажа антикоррозионными мастиками с последующей их теплоизоляцией.
4.21. Металлические заглушки изоляции должны быть защищены антикоррозионными мастиками.
4.22. В тепловых камерах, расположенных на трассе теплопроводов, запорная арматура должна иметь усиленное защитное покрытие.
Проектирование бесканальной прокладки
4.23. Бесканальную прокладку изолированных теплопроводов необходимо выполнять в непросадочных грунтах с естественной влажностью или водонасыщенных и просадочных грунтах 1-го типа.
В слабых грунтах с несущей способностью менее 0,1 МПа необходимо устройство искусственного основания.
4.24. Бесканальную прокладку изолированных теплопроводов рекомендуется проектировать под непроезжей частью улиц и внутри кварталов жилой застройки. Прокладка теплопроводов под проезжей частью автомобильных и магистральных дорог и улиц общегородского значения, как правило, не допускается. Не допускается также бесканальная прокладка теплопроводов под детскими и игровыми площадками.
4.25. При подземном пересечении дорог и улиц должны соблюдаться правила, изложенные в
6.12* -
6.20* и
Приложении 6 СНиП 2.04.07.
4.26. При бесканальной прокладке изолированных теплопроводов под улицами и дорогами местного значения, автомобильными дорогами V категории, а также внутрихозяйственными автомобильными дорогами должны применяться трубы с толщиной стенки, исключающей овализацию труб под влиянием давления грунта и напряжений вследствие дорожного движения. Допускается укладка разгрузочных железобетонных плит.
4.27. Изолированные трубопроводы тепловых сетей при бесканальной прокладке, располагаемые над сооружениями метрополитена, должны прокладываться в стальных футлярах, концы которых должны выходить за пределы тоннеля метрополитена на 10 м в обе стороны, или в монолитном железобетонном проходном канале. В пониженных точках бесканальной прокладки до или после пересечения линии метрополитена должны устраиваться спускники с выпуском в существующую систему дождевой канализации. Отключающие устройства на теплосети должны располагаться, как правило, на расстоянии 0,1 км от линии метрополитена. В стесненных условиях допускается увеличение расстояния до 1 км с согласованием в установленном порядке.
4.28. При компенсации температурных расширений за счет углов поворота трассы, П-образных, Г-образных, Z-образных компенсаторов следует предусматривать, как правило, амортизирующие прокладки либо каналы (ниши).
4.29. В качестве амортизирующих прокладок применяются вспененные полиэтилен, каучук или нежесткий пенополиуретан плотностью

30 - 40 кг/м3. Толщина прокладки определяется исходя из величины расчетного перемещения теплопровода, которая не должна превышать 50% толщины прокладки при ее сжатии.
4.30. Пересечение изолированными теплопроводами диаметром

300 мм зданий допускается только при устройстве технического коридора, технического подполья или тоннеля высотой не менее 1,8 м с отдельными запирающимися входами. В этом случае допускается применение труб с покровным слоем из оцинкованной стали.
4.31. Устройство камер с применением шаровых кранов повышенной надежности с ручным управлением для изолированных трубопроводов не требуется. Управление шаровыми кранами класса надежности А следует осуществлять через люки и необслуживаемые колодцы диаметром 100 - 300 мм.
4.32. На тепловых сетях после центрального теплового пункта (ЦТП) установку запорной арматуры на ответвлениях к отдельным зданиям следует предусматривать на теплопроводах диаметром 150 мм и более или на теплопроводах независимо от диаметра при длине ответвления 100 м и более.
4.33. По согласованию с заказчиком и эксплуатирующей организацией на магистралях диаметром 500 - 1000 мм допускается применение запорной арматуры повышенной надежности (шаровых кранов) без электропривода и устройства камер-павильонов.
При наличии телемеханизации тепловых сетей и применении шаровых кранов последние могут располагаться в тепловых камерах с выносом электрооборудования в отдельное помещение.
4.34. Камеры по трассе теплопровода, как правило, не предусматриваются. Они могут сооружаться по требованию заказчика или эксплуатирующей организации в исключительных случаях на ответвлениях, в местах установки запорной арматуры, приборов и сильфонных компенсаторов, если требуется их обслуживание.
4.35. Ответвления от основного теплопровода, как правило, должны предусматриваться в зоне минимальных перемещений у неподвижных опор.
Допускается размещение ответвлений у условно неподвижных точек теплопроводов. При этом тройник предусматривается с повышенной толщиной стенки или с накладками. Выполнение ответвления через штуцер допускается при обосновании расчетом.
Ответвления, которые расположены в зоне минимальных перемещений или у условно неподвижных опор, также следует обкладывать амортизирующими прокладками для обеспечения боковых перемещений.
4.36. Проходы теплопроводов сквозь стенки (фундаменты) зданий и камер должны осуществляться с помощью установки специальных резиновых (полимерных или стальных с сальниковым уплотнением) гильз с последующим бетонированием.
4.37. В местах сопряжения бесканальных участков теплопроводов с канальными следует устанавливать резиновые или стальные гильзы с сальниковым уплотнением, обеспечивающим возможность боковых перемещений.
4.38. В проектах следует предусматривать мероприятия по защите тепловых сетей, оборудования и приемников тепла от недопустимых по условиям прочности повышений давления, возникающих при нестационарных гидравлических режимах.
Для внутриквартальных тепловых сетей в проектах тепловых пунктов также следует предусматривать мероприятия по защите потребителей от повышения давления, если статическое давление в тепловых сетях превышает рабочее давление оборудования.
4.39. Изолированные теплопроводы не требуют устройства попутного дренажа. По требованию заказчика при высоком уровне стояния грунтовых вод в проекте может быть предусмотрен попутный дренаж.
4.40. При прокладке тепловых сетей бесканальным способом трубы укладываются на песчаное основание толщиной не менее 150 мм с песчаной обсыпкой не менее 150 мм.
4.41. Песчаную обсыпку следует выполнять из песка с коэффициентом фильтрации не менее 5 м/сут.
Песок должен быть с размером фракции не более 5 мм и не должен содержать крупных включений с острыми кромками, которые могут повредить защитный слой трубопроводов и соединительные муфты.
После засыпки песок должен быть утрамбован (степень уплотнения

0,92 - 0,98) с тем, чтобы теплопроводам, проложенным в песке, было обеспечено равномерное трение между внешней оболочкой трубопровода и грунтом.
4.42. При бесканальной прокладке трубопроводов расстояние по горизонтали от наружной поверхности изолированного трубопровода до фундаментов зданий и сооружений должно приниматься по
СНиП 2.04.07.
При невозможности выдержать эти расстояния трубопроводы должны прокладываться в каналах или в стальных футлярах на расстоянии не менее 2 м от фундаментов зданий либо в пристенных (пристроенных к фундаментам зданий) тоннелях из монолитного железобетона с изоляцией металлом.
4.43. Из камер и спускников при бесканальной прокладке тепловых сетей должны устраиваться водовыпуски в водоприемные колодцы с водоотводом в дождевую канализацию или, если это невозможно, с последующей откачкой.
4.44. В местах, где не представляется возможным выполнить самотечный выпуск от спускников в существующую дождевую канализацию из-за высоких отметок лотков, необходимо устройство по согласованию с эксплуатирующими организациями насосных перекачивающих станций.
4.45. Изолированные трубопроводы диаметром до 400 мм при прокладке на участках в непроходных каналах рекомендуется укладывать на основание из песка с коэффициентом фильтрации 5 м/сут. Для большего диаметра допускается прокладка трубопровода на скользящих опорах. При этом необходима проверка теплосети на продольную устойчивость.
На участках прокладки трубопроводов в проходных и полупроходных каналах длиной до 30 м допускается прокладка на скользящих опорах. Длина каналов может быть увеличена по согласованию в установленном порядке.
4.46. При реконструкции тепловых сетей допускается укладка изолированных трубопроводов в существующий непроходной канал с засыпкой последнего песком.
4.47. При канальной прокладке тепловых сетей с применением изолированных трубопроводов конструктивные решения каналов, камер-павильонов принимаются аналогичными решениям при канальной прокладке тепловых сетей с другими видами изоляции.
4.48. Минимальную глубину заложения труб в земле, считая от низа дорожного покрытия до верха полиэтиленовой оболочки трубы, следует принимать не менее 0,5 м вне пределов проезжей части и 0,6 м - в пределах проезжей части, считая до верха изоляции.
Допускаемая глубина заложения изолированных труб должна составлять ориентировочно для диаметров (стальных труб и полиэтиленовых оболочек) до 133 x 225 мм - 3,1 м, с 159 x 250 мм до 530 x 710 мм - 3,6 м, до 1020 x 1200 мм - 2,8 м (без учета влияния транспортных средств).
При необходимости контрольных расчетов глубин заложения теплопроводов для конкретных условий прокладки расчетное сопротивление пенополиуретана и полиэтиленовой оболочки следует принимать по [
1].
4.49. При необходимости подземной прокладки теплопроводов на глубине более допустимой их следует прокладывать в каналах (тоннелях).
Допускается вместо устройства каналов применение разгрузочных железобетонных плит.
4.50. При невозможности выдержать нормы, предусмотренные
СНиП 2.04.07 для пересечения теплопроводов бесканальной прокладки с газопроводом, водопроводом, электрическими кабелями напряжением до 35 кВ, необходимо проектные решения согласовывать с эксплуатирующими и другими заинтересованными организациями.
4.51. Нагрузка на неподвижные опоры в общем случае должна приниматься по наибольшей горизонтальной осевой и боковой нагрузкам при любом рабочем режиме теплопровода и при гидравлических испытаниях.
4.52. Конструкция элементов металлических неподвижных опор для бесканальной прокладки тепловых сетей, не предусмотренных
ГОСТ 30732, а также железобетонные неподвижные опоры должны разрабатываться по индивидуальным чертежам или приниматься по типовым проектам.
Расчет нагрузок на опоры
4.53. В трубопроводах бесканальной прокладки в грунте силы трения действуют вдоль оси трубы как распределенная нагрузка с интенсивностью, Н/м, которая рассчитывается по
формуле (В.3) Приложения В.
Коэффициент трения

зависит от конструкции изоляции, характера нагружения и угла внутреннего трения грунта

. Для изолированных труб при различном характере нагружения коэффициент составляет:

0,2 - при многократном чередовании циклов нагрев-охлаждение;

0,4 - при однократном нагреве (охлаждении);

0,6 - при кратковременном приложении нагрузки.
При определении компенсационной способности теплопроводов и нагрузок на опоры коэффициент принимается равным 0,4.
Распорные усилия от внутреннего давления при применении СК и СКУ вычисляют по формуле

, (2)
где Р - внутреннее давление, МПа;

- наружный диаметр СК, мм;

- внутренний диаметр СК, мм;

- осевая жесткость компенсатора, Н/мм;

- деформация компенсатора, мм.
4.54. Расчет нагрузки на опоры производят с использованием компьютерных программ.
При определении нагрузок на опоры с использованием компенсирующих устройств 1-й группы "а" (П-образных, Г-образных, Z-образных компенсаторов) следует руководствоваться типовыми решениями.
При определении нагрузок на опоры с использованием компенсирующих устройств 1-й группы "б" (СК и СКУ) допускается руководствоваться технической документацией предприятий-изготовителей сильфонных компенсаторов.
При определении нагрузок на опоры при применении СК и СКУ следует учитывать влияние следующих сил:
- распорного усилия сильфонных компенсаторов

;
- жесткости сильфонных компенсаторов

,
- сопротивления трению теплопровода о грунт на участках бесканальной прокладки или трению в подвижных опорах на участках канальной прокладки или в футляре

.
Кроме того, следует учитывать в конкретных расчетных схемах теплопроводов:
- неуравновешенные силы от внутреннего давления для сальниковых компенсаторов

;
- упругую деформацию гибких компенсаторов или самокомпенсации труб (

,

).
4.55. Расчет нагрузок на опоры на участках канальной прокладки рекомендуется вести в соответствии с [
1].
Соединения изолированных труб и фасонных изделий
4.56. Для соединения стальных труб между собой и с фасонными изделиями должны применяться стыки, отвечающие следующим требованиям:
- пенополиуретан для стыка должен отвечать требованиям
ГОСТ 30732;
- конструкции оболочек стыков и их соединений с полиэтиленовыми оболочками труб должны быть герметичными при давлении внутри стыкового пространства 0,05 МПа в течение 5 мин;
- конструкция теплоизолированных стыков должна выдерживать не менее 1000 циклов испытаний согласно методике
Приложения Д.
Возможно применение других конструкций стыков, отвечающих вышеуказанным требованиям.
Система оперативного дистанционного контроля
состояния тепловой изоляции
4.57. Для унификации используемых для контроля приборов необходимо обеспечить следующие значения параметров системы ОДК:
- электрическое сопротивление сигнальной цепи (петли) должно быть

200 Ом, что соответствует длине контролируемого трубопровода

5 км (при превышении указанного значения детектор срабатывает на обрыв);
- пороговое электрическое сопротивление изоляции 1 - 5 кОм, соответствующее срабатыванию сигнала увлажнения.
В целях обеспечения текущего контроля за состоянием изоляции рекомендуется применение детекторов, имеющих несколько ступеней срабатывания, что позволяет обнаружить более низкий уровень увлажнения пенополиуретана.
4.58. Проектирование систем ОДК необходимо осуществлять с возможностью присоединения проектируемой системы к действующим системам ОДК и планируемым в будущем.
4.59. В качестве основного сигнального провода используется провод, расположенный справа по направлению подачи воды к потребителю на обоих трубопроводах. Второй сигнальный проводник является транзитным.
4.60. Все боковые ответвления должны включаться в разрыв основного сигнального провода. Запрещается подключать боковые ответвления к медному проводу, расположенному слева по ходу подачи воды к потребителю (транзитному).
4.61. Стационарный детектор обеспечивает непрерывный контроль состояния изоляции. При отсутствии возможности подключения стационарного детектора периодический контроль может проводиться с использованием переносного детектора.
4.62. В точках контроля на концах теплосети устанавливаются концевые терминалы, один из которых может иметь выход на стационарный детектор.
4.63. Точки контроля необходимо предусматривать на расстоянии не более 300 м друг от друга. В указанных точках устанавливаются промежуточные терминалы.
4.64. Для трубопроводов длиной менее 100 м допускается установка только одной точки контроля с закольцовкой сигнальных проводников под металлической заглушкой на другом конце трубопровода.
4.65. В начале боковых ответвлений длиной 30 - 40 м ставится промежуточный терминал вне зависимости от расположения других точек контроля на основном трубопроводе.
4.66. На границах сопрягаемых проектов тепловых сетей в местах их соединения необходимо предусматривать точки контроля и устанавливать двойные концевые терминалы, которые позволяют объединить или разъединить систему ОДК этих участков.
4.67. При последовательном соединении проводников системы ОДК в местах окончания изоляции (проход трубопроводов через тепловые камеры, подвалы зданий и т.п.) соединения проводников требуется выполнять только через терминалы.
4.68. Максимальная длина кабеля от трубопровода до терминала не должна превышать 10 м. В случае необходимости применения кабеля с большей длиной требуется установка дополнительного терминала как можно ближе к трубопроводу.
4.69. Для соединения сигнальных проводников и подключения приборов контроля необходимо использовать терминалы следующих типов:
- концевой терминал - в точках контроля на концах трубопровода;
- концевой терминал с выходом на стационарный детектор - в точке контроля на конце трубопровода, в которой предусмотрен стационарный детектор;
- промежуточный терминал - в промежуточной точке контроля трубопровода;
- двойной концевой терминал - в точке контроля на границе участка;
- объединяющий терминал - в тех точках контроля, где необходимо объединить в единую петлю два (три) участка трубопровода;
- проходной терминал - для подключения соединительных кабелей в местах отсутствия изоляции (в тепловых камерах, в подвалах домов и т.п.) и при длине соединительного кабеля более 10 м.
4.70. Установка терминалов с наружными разъемами для соединения сигнальных проводов в помещениях с повышенной влажностью (тепловые камеры, подвалы домов и т.п.) не допускается.
4.71. Установка терминалов в промежуточных и концевых точках контроля осуществляется в наземных или настенных коверах установленного образца. В концевых точках трубопровода допускается установка терминалов в ЦТП.
4.72. Конструкция ковера должна исключать процесс образования конденсата на элементах терминала, проникновения влаги и обеспечивать вентиляцию внутреннего объема ковера. Внутренний объем ковера должен быть засыпан сухим песком от основания до уровня 20 см до верха края.
4.73. При устройстве коверов на теплотрассах, прокладываемых в насыпных грунтах, необходимо предусматривать дополнительные меры по защите ковера от просадки грунта.
4.74. Соединительный кабель от трубопровода с герметичным кабельным выводом до терминала должен прокладываться в оцинкованной трубе диаметром 50 мм. Сварка (пайка) защитной оцинкованной трубы с проложенным в ней кабелем запрещается.
4.75. Прокладку соединительного кабеля внутри зданий (сооружений) до места установки терминалов или в месте разрыва тепловой изоляции (в тепловой камере и т.п.) также необходимо осуществлять в оцинкованной трубе диаметром 50 мм, закрепляемой к стене скобами. Внутри зданий допускается применение защитных гофрированных шлангов.
4.76. После монтажа системы ОДК следует выполнить ее исполнительную схему, включая:
- графическое изображение схемы соединения сигнальных проводников;
- характерные точки, соответствующие монтажной схеме: ответвления от магистральной теплотрассы; углы поворотов; неподвижные опоры; переходы диаметров; точки контроля (наземные и настенные коверы);
- таблицу данных по характерным точкам с указанием параметров: номера точек, диаметр трубы на участке; длина трубопровода между точками по проектной документации (для подающего и обратного трубопроводов); длина трубопровода между точками по схеме стыков (для основного и транзитного сигнальных проводников для подающего и обратного трубопроводов);
- маркировку на терминалах (алюминиевых бирках);
- спецификацию применяемых приборов и материалов.
4.77. На схеме необходимо указывать условные обозначения всех используемых элементов системы ОДК.
5. ТРАНСПОРТИРОВАНИЕ И ХРАНЕНИЕ
5.1. Транспортирование и хранение осуществляются в соответствии с
ГОСТ 30732.
5.2. Перевозка изолированных труб должна производиться автотранспортом с удлиненным прицепом или другим транспортом, приспособленным для перевозки труб. В транспорте должно быть предусмотрено приспособление, предотвращающее скатывание и перемещение продукции в кузове при перевозке. Рекомендуется использовать изделия из бруса сечением 100 x 100 мм. Свободные концы труб не должны выступать за габариты транспортного средства более чем на 1 м.
5.3. Укладку изолированных труб в транспортное средство необходимо производить ровными рядами, не допуская перехлестов. Рекомендуемое количество одновременно перевозимых труб и количество ярусов приведены в таблице 3.
Таблица 3
Диаметр труб, мм | Диаметр оболочки, мм | Количество труб, шт. | Количество ярусов |
57 | 140 | 42 | 4 |
76 | 160 | 42 | 4 |
89 | 180 | 34 | 4 |
108 | 200 | 30 | 4 |
133 | 225 | 22 | 3 |
159 | 250 | 17 | 3 |
219 | 315 | 9 | 2 |
273 | 400 | 7 | 2 |
325 | 450 | 5 | 2 |
426 | 560 | 5 | 2 |
530 | 710 | 3 | 2 |
630 | 800 | 3 | 2 |
630 | 800 | 3 | 2 |
720 | 900 | 3 | 2 |
820 | 1000 | 2 | 2 |
920 | 1100 | 2 | 1 |
1020 | 1200 | 2 | 1 |
5.4. При погрузке и разгрузке теплоизолированных труб и элементов должны быть приняты особые меры, обеспечивающие сохранность защитных оболочек и теплоизоляционного слоя из пенополиуретана. Разгрузку теплоизолированных труб и других элементов на строительной площадке следует производить механическим способом с применением грузоподъемных механизмов и высокопрочных мягких полотенец.
При использовании траверс и высокопрочных мягких полотенец или стальных строп с торцевыми захватами их длина должна быть подобрана таким образом, чтобы угол между ними в месте присоединения к крюку был не более 90°.
5.5. Для предупреждения раскатывания нижнего ряда труб при транспортировке под крайние трубы следует установить специальные башмаки, исключающие возможность повреждения защитной оболочки и теплоизоляционного слоя в процессе транспортировки.
5.6. Транспортировку и погрузочно-разгрузочные работы с изолированными трубами и элементами трубопроводов следует производить при температуре не ниже минус 18 °C.
5.7. При складировании труб вблизи земляных выемок (траншеи, котлованы) расстояние от бровки выемки до места складирования должно определяться ППР в зависимости от глубины траншеи и типа грунта (угла естественного откоса) или крепления траншеи.
5.8. Складирование и хранение изолированных труб на приобъектных складах и стройплощадках должны выполняться в штабелях на подготовленной и выровненной площадке, причем нижний ряд труб должен располагаться на песчаных подушках:
- высотой не менее 300 мм;
- шириной 0,7 - 0,9 м - для труб диаметром до 530 мм;
- шириной 1 - 1,2 м - " " " 630 - 1020 мм.
5.9. Высота штабеля изолированных труб должна быть не более 2 м. Должны быть предусмотрены меры против раскатывания труб. Различные виды изолированных изделий и деталей должны храниться отдельно.
5.10. Изолированные трубы и фасонные изделия при условиях хранения более 2 недель должны быть защищены от воздействия прямых солнечных лучей (в тени, под навесом или прикрыты рулонным материалом).
5.11. Не допускается складирование и хранение продукции в местах, подверженных затоплению водой.
5.12. Термоусадочные полиэтиленовые манжеты (полотна) и муфты для стыковых соединений должны храниться в помещениях или под навесом в заводской упаковке. Муфты должны храниться в вертикальном положении.
5.13. Компоненты пенополиуретана должны храниться в теплом отапливаемом помещении в соответствии с сертификатом завода-изготовителя.
6. СТРОИТЕЛЬСТВО ТЕПЛОВЫХ СЕТЕЙ
Общая часть
6.1. При строительстве новых и реконструкции действующих тепловых сетей следует руководствоваться требованиями проектной документации.
6.2. Строительно-монтажная организация в соответствии с действующим законодательством должна гарантировать соответствие качества выполненных ею тепловых сетей бесканальной прокладки из изолированных труб по
ГОСТ 30732, включая работы по теплогидроизоляции стыков и установке системы ОДК, требованиям проектной и нормативной документации в течение 5 лет с момента сдачи указанных сетей в эксплуатацию. Договором строительного подряда гарантийный срок может быть увеличен.
6.3. Разбивку трассы тепловых сетей в соответствии с действующим законодательством по договору с заказчиком осуществляют местные органы архитектуры и градостроительства или по их поручению специализированные организации.
6.4. Строительство тепловых сетей включает следующие основные процессы:
- разбивку трассы;
- транспортировку труб и фасонных изделий заводского изготовления, хранение;
- земляные работы;
- раскладку теплопроводов;
- проверку целостности проводников и состояния изоляции системы ОДК;
- сварку теплопроводов;
- устройство неподвижных опор;
- монтаж труб и их элементов;
- монтаж компенсационных устройств, включая осевые СК и СКУ;
- изоляцию стыков;
- монтаж сигнальной системы оперативного дистанционного контроля увлажнения изоляции;
- предварительный пуск теплопровода и заварку стартовых компенсаторов;
- изоляцию стыков на стартовых компенсаторах;
- сдачу системы ОДК (после засыпки мест установки стартовых компенсаторов).
6.5. Разбивку трассы тепловых сетей следует производить в соответствии с проектом организации строительства (ПОС) и проектом производства работ (ППР), которые должны быть согласованы с эксплуатирующими организациями, а также требованиями
СНиП 3.01.03.
Ведение земляных работ
6.6. Разработка траншей и котлованов и работы по устройству основания для бесканальной прокладки теплопроводов в ППУ изоляции следует производить в соответствии с требованиями
СНиП 3.02.01 и
СНиП III-42.
6.7. При бесканальной прокладке дополнительно должны быть выполнены следующие требования:
- рытье траншеи должно производиться без нарушения естественной структуры грунта в основании. Разработка траншеи производится с недобором по глубине 0,1 - 0,15 м. Зачистка производится вручную. В случае разработки грунта ниже проектной отметки на дно должен быть подсыпан песок до проектной отметки с тщательным уплотнением (

не менее 0,98) на глубину не более 0,5 м;
- осуществлено устройство:
а) приямков - не менее 1 м в каждую сторону от теплопроводов для установки осевых компенсаторов СК и СКУ, арматуры, отводов, тройников для удобства ведения сварки и изоляции стыков труб и не менее 2 м - для установки стартовых компенсаторов;
б) расширенной траншеи по размерам, приведенным в проектной документации, для установки демпферных подушек, устройства камер, дренажной системы и др.;
- обеспечено достаточное пространство для укладки, поддержки и сборки труб на заданной глубине, а также для удобства уплотнения материала при обратной засыпке вокруг теплопроводов;
- на дне траншеи следует предусматривать песчаную подсыпку толщиной 100 - 150 мм. Перед устройством песчаного основания или пластового дренажа следует провести осмотр дна траншеи, выровненных участков перебора грунта, проверку соответствия проекту уклонов дна траншеи. Результаты осмотра дна траншеи оформляются актом на скрытые работы.
6.8. Наименьшую ширину траншей по дну при двухтрубной бесканальной прокладке тепловых сетей следует принимать для труб:
- диаметром до 250 мм -

+ a + 0,6 м;
- " до 500 мм -

+ a + 0,8 м;
- " до 1000 мм -

+ a + 1,0 м,
где

- наружный диаметр оболочки теплоизоляции, м;
a - расстояние в свету между оболочками теплоизоляции труб, м.
6.9. Размеры приямков под сварку и изоляцию стыков труб следует принимать:
ширина =

+ а + 1,2 м;
длина = 1,2 мм для стыка с термоусадочным полотном;
длина = 2,0 м для стыка с муфтами;
глубина для труб диаметром до 219 мм = 0,3 м;
для труб диаметром 273 мм и более = 0,4 м.
6.10. При бетонном основании или опасности подтопления во время монтажа в траншеях трубы диаметром до 400 мм необходимо укладывать на подушки из песка, обеспечивающие расстояние 200 мм от оболочки трубы до бетонной плиты, а при диаметре более 400 мм - на расстоянии 300 мм. Укладка должна производиться на предварительно утрамбованное основание из песка с коэффициентом уплотнения

0,98.
6.11. Обратная засыпка при бесканальной прокладке должна производиться послойно с одновременным уплотнением каждого слоя.
В местах установки стартовых и осевых сильфонных компенсаторов в зоне наибольшего движения теплопроводов при температурных деформациях (

) необходимо вести послойное уплотнение (

0,97 - 0,98) грунта при обратной засыпке как между трубопроводами, так и между трубопроводами и стенками траншеи. Над верхом полиэтиленовой оболочки изоляции труб, стартовых и осевых компенсаторов СК и СКУ обязательно устройство защитного слоя из песчаного грунта толщиной не менее 150 мм. Засыпной материал не должен содержать камней, щебня, гранул с размером зерен более 16 мм, остатков растений, мусора, глины. Стыки засыпают после гидравлических испытаний и их изоляции. Над каждой трубой на слой песка необходимо укладывать маркировочную ленту. Засыпка мерзлым грунтом запрещается.
На поверхности необходимо восстановление тех же слоев покрытия, газонов, тротуаров, которые были до начала работ. До устройства асфальтового покрытия следует укладывать стабилизирующий гравийный слой.
В тех местах, где глубина выемки грунта, грунтовые характеристики или стесненные условия прокладки не позволяют вырыть обычную траншею с откосами и приямками для размещения компенсаторов, следует осуществлять вертикальное крепление траншеи и приямков.
При высоком уровне стояния грунтовых вод (выше глубины дна траншеи) в период строительства должна производиться их откачка.
Монтаж теплопроводов
6.12. Монтаж, укладку и сварку с неразрушающим контролем сварных швов теплопроводов следует производить по
СНиП 3.05.03.
6.13. Изоляция несоосных стыковых соединений стальных труб (свыше 2°30') производится в заводских условиях по согласованию с проектными и эксплуатирующими организациями. При этом применяется тип стыка, аналогичный используемому на данной трассе.
6.14. Перед монтажом участка трубопровода проводится проверка состояния изоляции и целостности сигнальных проводов системы ОДК и отдельных элементов.
6.15. Для проверки состояния изоляции и целостности проводников элементов, подлежащих монтажу на трассе, а также при работах по изоляции стыков должны применяться высоковольтные тестеры.
6.16. Проверка изоляции должна производиться напряжением 500 В. Если изоляция сухая, прибор должен показывать "бесконечность" или величину >2000 МОм. Допускаемое сопротивление изоляции элемента должно быть не менее 10 МОм на 1 элемент.
6.17. Для монтажа трубы и фасонные детали располагают на бровке траншеи на временных опорах (стироловых блоках, мешках с песком и т.п.).
6.18. Все элементы подвергают тщательному осмотру с целью обнаружения трещин, сколов, глубоких надрезов полиэтиленовой оболочки. При обнаружении надрезов и трещин оболочки длиной более 300 мм и глубиной более 1/3 толщины стенки изделия отбраковывают. Мелкие дефекты и проколы заделываются на месте путем экструзионной сварки или другим способом.
6.19. Монтаж теплопроводов должен производиться при положительной температуре наружного воздуха. При температурах воздуха ниже нуля необходимо прибегать к специальным мерам, указанным в рекомендациях завода - изготовителя труб. При температурах наружного воздуха ниже минус 15 °C перемещение и монтаж трубопроводов на открытом воздухе не рекомендуются.
Монтажные и сварочные работы при температурах наружного воздуха ниже минус 10 °C должны производиться в специальных кабинах, в которых температура воздуха в зоне сварки должна поддерживаться не ниже 0 °C.
6.20. Сварка производится после укладки труб в траншею. Допускается сваривать трубы на бровке траншеи.
6.21. Для предварительного нагрева стальных труб по трассе тепловых сетей следует использовать сетевую воду, воздушные калориферы или водяные подогреватели.
При проведении сварочных работ на теплопроводах необходимо:
- исключить вероятность нагрева пенополиуретановой изоляции до температуры свыше 175 °C во избежание образования на рабочем месте токсичных выбросов;
- тщательно очистить перед сваркой поверхности неизолированных концов теплопроводов от остатков пенополиуретана;
- удалить с грунта на рабочем месте сварщика остатки пенополиуретана.
Конкретный метод нагрева теплопровода следует определить в ПОС и ППР.
6.22. По окончании изоляции стыков по всей длине трубопровода производится заключительный контроль целостности сигнальных проводов и сопротивления изоляции с помощью мегомметра.
6.23. Тепловая изоляция теплопроводов в камерах выполняется минераловатными изделиями, пенополиуретановыми скорлупами (сегментами) с подгонкой их по месту либо напылением пенополиуретана.
6.24. Не допускается устройство стыков теплопроводов в местах прохода их через стены теплофикационных камер, подвалов, а также в пределах конструкции сопряжения бесканальных участков с канальными участками.
В этих местах на теплопроводах должна быть ненарушенная заводская изоляция.
6.25. Расстояние от стыка трубопровода до наружной поверхности камеры или до конструкции сопряжения канального и бесканального участков должно быть не менее 2 м.
6.26. Монтаж сборных элементов дренажных колодцев производится после инструментальной проверки основания из песка, щебня по степени уплотнения или прочности тощего бетона под конструкции колодцев.
6.27. Запорная арматура

= 300 мм в зависимости от ее конструкции и необходимости периодического обслуживания должна устанавливаться непосредственно в грунте с выводом под "ковер" удлинителей штоков запорной арматуры. Допускается установка запорной арматуры в камерах, а также в колодцах мелкого заложения.
6.28. При авторском и техническом надзоре за строительством бесканальной прокладки изолированных трубопроводов необходимо обращать внимание:
- на качество поставляемых заводом труб и деталей;
- на качественную сварку труб и заделку стыков;
- на правильную настройку и установку пусковых компенсаторов;
- на температуру предварительного нагрева;
- на сжатие стартового компенсатора по меткам на корпусе компенсатора в соответствии с проектными данными.
6.29. Осуществление авторского и технического надзора не снимает ответственности со строительно-монтажных организаций и заказчика за качество строительно-монтажных работ и их соответствие проектно-сметной документации.
6.30. Сборка, опрессовка и изоляция соединения должны производиться в один и тот же день. Слесарь-сборщик должен нанести на соединение маркером свое клеймо.
Теплогидроизоляция стыков
6.31. Работы по изоляции стыков следует производить по специальным технологическим инструкциям производителя трубопроводов или стыковых соединений.
6.32. Теплоизоляция сварных стыков на трассе и засыпка теплопроводов песком производятся после гидравлического испытания этого участка на прочность и плотность или 100%-го контроля неразрушающим методом, а также после повторного замера сопротивления изоляции по каждому элементу. Работы по изоляции стыков выполняются по заявке заказчика организациями, имеющими лицензию на прокладку тепловых сетей или сертификат на производство этих работ.
6.33. До устройства изоляции при отсутствии на концах свариваемых труб заводского антикоррозионного покрытия необходимо выполнить следующие работы:
- очистить поверхность стыкового соединения (неизолированные концы труб) от грязи, ржавчины, окалины;
- просушить газовой горелкой, защитив торцы изоляции;
- нанести на стык антикоррозионную мастику (в случае теплоизоляции стыка с полуцилиндрами или сегментами).
6.34. Для соединения изолированных труб и фасонных изделий могут применяться сварные конструкции стыка "сварка-заливка" или конструкции стыка с мастичной герметизацией зазоров между внутренней поверхностью муфты и полиэтиленовыми оболочками теплоизолированных труб "герметизация-заливка". Схема конструкции гидротеплоизоляции стыков приведена на рисунке 2.
а - "сварка-заливка", б - "герметизация-заливка"
1 - стальная труба, 2 - сварной шов, 3 - полиэтиленовая оболочка;
4 - провод системы ОДК, 5 - сварка (ленточным нагревателем,
экструзионная и пр.); 6 - муфта термоусадочная полиэтиленовая
или муфта с термоусаживающимися концами; 7 - вваренные пробки
из полиэтилена; 8 - пенополиуретан, 9 - герметик,
10 - манжет из термоусаживающегося полиэтилена
Рисунок 2. Конструкции гидротеплоизоляции стыка
6.35. Возможно применение конструкции стыков с использованием металлического кожуха с продольным разрезом и последующей защитой термоусадочными муфтами (полотнами) из сшитого полиэтилена.
6.36. Для соединения изолированных трубопроводов и фасонных изделий возможно применение других конструкций стыков, обеспечивающих герметичность.
6.37. Перед сваркой стартовых, осевых или сильфонных компенсаторов на полиэтиленовую оболочку теплопроводов должны быть надеты неразрезные термоусадочные муфты.
6.38. При заливке стыка теплоизоляционный слой на торцах труб удаляется на глубину от 2 до 5 см.
6.39. Технологии изоляции стыков основных типов приведены в
Приложении Е и соответствующих рекомендациях организаций-производителей.
6.40. Заливку смеси следует производить из инвентарных пакетов или баллонов или с помощью передвижных заливочных машин. Температура компонентов должна быть не менее 18 °C.
Допускается использование заливки смеси пенополиуретана вручную из емкости с приготовлением смеси компонентов в емкости на трассе. Компоненты должны поставляться в готовом для применения виде. Перемешивание смеси вручную запрещается.
Правила монтажа и приемки в эксплуатацию системы ОДК
6.41. Монтаж системы ОДК должен проводиться в соответствии с проектной схемой, согласованной с эксплуатирующей организацией.
6.42. Определение места неисправности системы ОДК (увлажнение или обрыв сигнального проводника) осуществляется локатором повреждений, представляющим собой импульсный рефлектометр.
6.43. Локатор повреждений:
- должен обеспечивать возможность определения вида и мест дефектов погрешностью не более 1% измеряемой длины сигнального проводника;
- иметь дальность измерений не менее 3000 м;
- для регистрации результатов измерений должен иметь внутреннюю память, объем которой позволяет записывать и хранить не менее 20 рефлектограмм, а также иметь возможность обмена информацией с персональным компьютером. Допускается использовать рефлектометр с портативным печатающим устройством.
6.44. При изоляции стыков сигнальные проводники смежных элементов трубопроводов должны соединяться посредством обжимных муфт с последующей пропайкой места соединения проводников. Пайка должна выполняться с использованием неактивных флюсов.
6.45. Все боковые ответвления от магистрального трубопровода должны включаться в разрыв основного сигнального проводника магистрального трубопровода.
Транзитный сигнальный проводник должен проходить только в магистральном трубопроводе.
6.46. В точках контроля соединительные кабели должны присоединяться к сигнальным проводникам через герметичные кабельные выводы.
6.47. Конструкция кабельных выводов должна обеспечивать герметичность в течение всего срока службы.
6.48. В точках контроля и транзитах в камерах и подвалах домов в качестве соединительных кабелей применяется кабель марки NYM 3 х 1,5 и NYM 5 х 1,5 с цветовой маркировкой жил. В условиях низких температур необходимо использовать кабель марки КГХЛ 3 x 1,5 или КГХЛ 5 x 1,5.
6.49. Соединение жил кабелей в промежуточных точках контроля с сигнальными проводниками в изолированной трубе должно производиться в соответствии со следующей цветовой маркировкой:
- синий - основной сигнальный проводник, идущий от данной точки контроля по направлению к потребителю;
- коричневый - транзитный сигнальный проводник, идущий от данной точки контроля по направлению к потребителю;
- черный - основной сигнальный проводник, идущий от данной точки контроля в направлении, противоположном подаче теплоносителя;
- черно-белый - транзитный сигнальный проводник, идущий от данной точки контроля в направлении, противоположном подаче теплоносителя;
- желто-зеленый - контакт на стальной трубопровод ("заземление").
6.50. Контакт желто-зеленой жилы со стальным трубопроводом должен обеспечиваться с помощью разъемного резьбового соединения (гайка с шайбой на болт, приваренный к стальному трубопроводу).
6.51. Соединительные кабели трубопроводов должны иметь маркировки, идентифицирующие соответствующие трубы и кабели.
6.52. Подключение соединительных кабелей к терминалам в точках контроля должно выполняться в соответствии с цветовой маркировкой и соответствующей инструкцией, обязательно прилагаемой к каждому терминалу.
6.53. Монтажные терминалы, устанавливаемые в точках контроля, должны соответствовать классу защиты не ниже IP 54. Терминалы, устанавливаемые в местах с повышенной влажностью (тепловые камеры, подвалы домов с угрозой затопления), должны иметь класс защиты не менее IP 65.
6.54. На терминалах должны быть закреплены алюминиевые бирки с маркировкой, определяющей направление измерений.
6.55. При необходимости установки в точках контроля кабеля длиной более 10 м следует устанавливать дополнительный терминал.
6.56. Монтаж стационарных детекторов повреждений должен выполняться в соответствии с инструкцией по эксплуатации.
6.57. По окончании монтажа системы ОДК должно проводиться обследование, включающее:
- измерение сопротивления изоляции каждого сигнального проводника;
- измерение сопротивления цепи (петли) сигнальных проводников;
- измерение длины сигнальных проводников и длин соединительных кабелей во всех точках контроля;
- измерение рефлектограмм сигнальных проводников.
Все результаты изменений вносятся в акт обследования (
Приложение Ж).
6.58. Система ОДК считается работоспособной, если сопротивление изоляции между сигнальными проводниками и стальным трубопроводом не ниже 1 МОм на 300 м теплотрассы. Для трубопроводов с длиной, отличающейся от указанной, допустимое значение сопротивления изоляции изменяется обратно пропорционально длине трубопровода.
6.59. Для оперативного выявления неисправностей систем ОДК необходимо обеспечить регулярный контроль состояния системы (не реже 2 раз в месяц).
6.60. При обнаружении неисправности системы ОДК (обрыв или увлажнение) необходимо проверить наличие и правильность подключения заглушек и перемычек терминалов во всех точках контроля, после чего провести повторные измерения.
6.61. При подтверждении неисправностей систем ОДК теплотрасс, находящихся на гарантийном обслуживании строительной организации (организации, осуществляющей монтаж, наладку и сдачу системы ОДК), эксплуатирующая организация уведомляет о характере неисправности строительную организацию, которая проводит определение места неисправности.
6.62. Все изменения в документации и в конструкции трубопровода, вносимые в период гарантийного срока эксплуатации, должны быть согласованы с поставщиком изолированных трубопроводов с целью сохранения гарантий на данный трубопровод.
Технология ремонтных работ
6.63. При механическом повреждении полиэтиленовой оболочки теплоизоляции на глубину не более 20% толщины стенки оболочки место повреждения следует очистить от грязи, пыли, масел и пр. и наложить термоусадочную ленту (с подслоем герметика) с последующим ее нагревом.
6.64. При несквозном повреждении полиэтиленовой оболочки теплоизоляции трубопроводов (надрез, глубокая риска и т.д.) или при проколе повреждение следует раскрыть под углом 45°, обезжирить ацетоном и заварить экструзионной сваркой.
6.65. При механическом локальном повреждении изоляции труб на участке длиной не более 400 мм поврежденную теплоизоляцию со стальной трубы следует удалить на участке 400 - 420 мм, обеспечив отрезку теплоизоляции перпендикулярно оси трубопровода.
Снятие теплоизоляционного слоя следует производить таким образом, чтобы не повредить проволочные проводники-индикаторы системы ОДК. После этого следует выполнить гидроизоляционное покрытие поврежденного участка.
6.66. При повреждении теплоизоляции теплопроводов на участке протяженностью более 420 мм (до 3 м) следует использовать полиэтиленовую оболочку такого же диаметра, что и теплопровода, разрезанную вдоль по образующей перед ее надеванием на стальную трубу.
6.67. При повреждении изоляции на участке теплопровода более 3 м участок теплопровода следует полностью вырезать и на его место установить новый отрезок трубы с теплоизоляцией из ППУ в полиэтиленовой оболочке.
7. ИСПЫТАНИЯ ТЕПЛОПРОВОДОВ
7.1. При проведении испытаний тепловых сетей следует соблюдать требования
СНиП 3.05.03, Правил устройства и безопасной эксплуатации трубопроводов пара и горячей воды [
2], Правил техники безопасности при эксплуатации тепломеханического оборудования электрических станций и тепловых сетей [
3].
Должны быть проведены следующие испытания трубопроводов:
- проверка чистоты трубопроводной системы;
- предварительные гидравлические испытания на прочность;
- испытания стыков изоляции труб;
- испытания сигнальной системы ОДК;
- гидравлические испытания на прочность и плотность теплопроводов.
7.2. До, во время и после окончания монтажа следует визуально удостовериться, что внутренняя поверхность труб и фасонных изделий сухая, чистая и свободна от инородных тел.
7.3. После окончания монтажа труб следует провести промывку системы водой.
7.4. Если теплопроводы немедленно не вводятся в эксплуатацию, то систему в целом рекомендуется законсервировать.
7.5. Проверка качества сварных соединений производится в соответствии с инструкциями производителя труб и фасонных изделий.
7.6. Проверку на плотность сварных стыков рекомендуется проводить по участкам.
7.7. Приемка систем ОДК должна осуществляться представителями строительной организации и организации, производившей монтаж и наладку системы ОДК, совместно с представителями эксплуатирующей организации.
7.8. При приемке в эксплуатацию системы ОДК эксплуатирующей организации должна быть предоставлена следующая документация и оборудование:
- схема дистанционного контроля состояния трубопровода с заполненной таблицей длин трубопровода по участкам (подающий и обратный трубопроводы по проектной схеме трубопроводов и по схеме стыков);
- схема стыков;
- приборы контроля (детекторы повреждений, локаторы и т.п.) с комплектующими изделиями (если есть) и с технической документацией по их эксплуатации - согласно проекту.
7.9. В присутствии представителей эксплуатирующей организации, строительной организации и организации, производившей монтаж и наладку системы ОДК, проводятся:
- измерение омического сопротивления сигнальных проводников;
- измерение сопротивления изоляции между сигнальными проводниками и трубой;
- запись рефлектограмм участка теплосети с использованием импульсного рефлектометра для использования в качестве эталонного при эксплуатации;
- проверка работоспособности контрольных приборов (локаторов, детекторов), передаваемых в эксплуатацию для данного заказа.
7.10. Все данные измерений и исходная информация заносятся в акт обследования системы оперативного дистанционного контроля теплотрассы (
Приложение Ж).
7.11. Теплопроводы должны подвергаться предварительному и окончательному гидравлическому или пневматическому испытанию на прочность и плотность.
7.12. Предварительные испытания следует выполнять, как правило, гидравлическим способом (
СНиП 3.05.03). Для гидравлического испытания применяется вода с температурой не ниже +5 °C и не выше +40 °C. Температура наружного воздуха при этом должна быть положительной. Каждый испытательный участок герметически заваривается с двух сторон заглушками. Использование для этих целей запорной арматуры и подключение к действующим тепловым сетям не допускаются. Испытания можно проводить при незаваренных стартовых компенсаторах.
7.13. Окончательные испытания проводятся после завершения строительно-монтажных работ и установки запорной арматуры, заварки стартовых компенсаторов, установки сильфонных и других компенсаторов, кранов для воздушников, задвижек для спускников приборов системы ОДК и другого оборудования.
8. ПРИЕМКА В ЭКСПЛУАТАЦИЮ
8.1. Приемка в эксплуатацию законченных строительством тепловых сетей должна производиться по действующим нормативным документам.
8.2. В состав приемочной комиссии следует включать представителя проектной организации.
8.3. Дополнительно к обязательному перечню актов приемки тепловых сетей в эксплуатацию комиссии должны быть представлены следующие документы:
- акт на фиксацию стартовых компенсаторов;
- акт приемки (паспорт) стартовых или осевых сильфонных компенсаторов предприятием-изготовителем с приложением результатов приемосдаточных испытаний;
- акт приемки системы ОДК увлажнения изоляции (
Приложение Ж);
- акт предварительного нагрева участка тепловой сети, на котором установлены стартовые компенсаторы, с указанием температуры нагрева и температуры наружного воздуха в период нагрева.
9. ТРЕБОВАНИЯ БЕЗОПАСНОСТИ
9.1. Настоящим разделом устанавливаются требования безопасности, определенные специфическими свойствами материалов теплоизоляции труб и фасонных изделий, деталей и элементов, методами производства монтажных работ.
9.2. К работам по устройству тепловых сетей из труб с теплоизоляцией из пенополиуретана в полиэтиленовой оболочке допускаются лица, достигшие 18 лет, прошедшие медицинское освидетельствование, специальное обучение, вводный инструктаж и инструктаж на рабочем месте по технике безопасности.
9.3. При хранении теплоизоляционных труб, фасонных изделий, деталей и элементов на объекте строительства и на месте монтажа, учитывая горючесть пенополиуретана и полиэтилена, следует соблюдать правила противопожарной безопасности (
ГОСТ 12.1.004). Запрещается разводить огонь и проводить огневые работы в непосредственной близости (не ближе 2 м) от места складирования изолированных труб, хранить рядом с ними горючие и легковоспламеняющиеся жидкости.
9.4. При загорании теплоизоляции труб, фасонных изделий, деталей и элементов следует использовать обычные средства пожаротушения, при пожаре в закрытом помещении следует пользоваться противогазами марки БКФ (
ГОСТ 12.4.121).
При сушке или сварке концов стальных труб, свободных от теплоизоляции, торцы теплоизоляции следует защищать жестяными разъемными экранами толщиной 0,8 - 1 мм для предупреждения возгорания от пламени пропановой горелки или искр электродуговой сварки.
9.5. При термоусадке полиэтиленовых муфт и манжет пламенем пропановой горелки необходимо тщательно следить за нагревом муфт и манжет и полиэтиленовых оболочек труб, не допуская пережогов полиэтилена или его загорания.
9.6. Отходы пенополиуретана и полиэтилена при резке изолированных труб или освобождении стальных труб от изоляции должны быть сразу после окончания рабочей операции собраны и складированы в специально отведенном на стройплощадке месте на расстоянии не менее 2 м от теплоизолированных труб и деталей.
9.7. Изоляция труб и деталей (вспененный пенополиуретан и полиэтилен) не взрывоопасна, при обычных условиях не выделяет в окружающую среду токсичных веществ и не оказывает при непосредственном контакте вредного влияния на организм человека. Обращение с ней не требует особых мер предосторожности (класс опасности 4 по
ГОСТ 12.1.007).
9.8. Все работы по заливке стыков труб смесью пенополиуретана (приготовление смеси, заливка смеси в стык) должны производиться в спецодежде с применением индивидуальных средств защиты (костюм хлопчатобумажный, спецобувь, перчатки резиновые, рукавицы хлопчатобумажные, очки защитные).
При заливке стыков трубопроводов, прокладываемых в проходных каналах (тоннелях), необходимо пользоваться респиратором типа РУ-60М.
9.9. На месте заливки стыков должны находиться средства для дегазации применяемых веществ (5 - 10%-ный раствор аммиака, 5%-ный раствор соляной кислоты), а также аптечка с медикаментами (1,3%-ный раствор поваренной соли, 5%-ный раствор борной кислоты, 2%-ный раствор питьевой соды, раствор йода, бинт, вата, жгут). Необходимо помнить, что компонент смеси - полиизоцианат относится к ядовитым веществам.
9.10. В ходе устройства защитного грунтового слоя под теплоизолированным теплопроводом после отсыпки и трамбовки слоя толщиной 15 см над верхом теплоизоляции следует укладывать маркировочную ленту по всей длине трассы теплосети.
10. ОХРАНА ОКРУЖАЮЩЕЙ СРЕДЫ
10.1. Меры по охране окружающей среды должны соответствовать требованиям
СНиП 3.05.03 и настоящего раздела.
10.2. Не допускается без согласования с соответствующей организацией производить разрытие траншей на расстоянии менее 2 м до стволов деревьев и менее 1 м до кустарников, перемещение грузов кранами на расстоянии менее 0,5 м до крон или стволов деревьев; складирование труб и других материалов на расстоянии менее 2 м до стволов деревьев без временных ограждающих или защитных устройств вокруг них.
10.3. Промывку трубопроводов следует выполнять с повторным использованием воды. Слив воды из трубопроводов после промывки (дезинфекции) следует производить в места, предусмотренные ППР.
10.4. Территория после окончания работ по устройству тепловой сети должна быть очищена и восстановлена в соответствии с требованиями проекта.
10.5. Отходы теплоизоляции из пенополиуретана и полиэтилена следует собрать для последующего их вывоза и захоронения в местах, согласованных с Госсанэпиднадзором, в соответствии с
порядком накопления, транспортировки, обезвреживания и захоронения токсичных промышленных отходов [
4].
ПЕРЕЧЕНЬ НОРМАТИВНЫХ ДОКУМЕНТОВ,
ССЫЛКИ НА КОТОРЫЕ ПРИВЕДЕНЫ В НАСТОЯЩЕМ СВОДЕ ПРАВИЛ
ГОСТ 12.1.007-76. ССБТ. Вредные вещества Классификация и общие требования безопасности
ГОСТ 12.4.121-83. ССБТ. Противогазы промышленные фильтрующие. Технические условия
ГОСТ 30732-2001. Трубы и фасонные изделия стальные с тепловой изоляцией из пенополиуретана в полиэтиленовой оболочке. Технические условия
СП 41-103-2000. Проектирование тепловой изоляции, оборудования и трубопроводов.
ОСНОВНЫЕ МЕХАНИЧЕСКИЕ СВОЙСТВА МЕТАЛЛА ТРУБ,
ПРИМЕНЯЕМЫХ ДЛЯ ПАТРУБКОВ СИЛЬФОННЫХ КОМПЕНСАТОРОВ
Марка стали | Относительное удлинение, % | Ударная вязкость (KCU), кгс·м/см2, при температуре, °C | Угол загиба сварного шва трубы | Проверка заводских сварных швов неразрушающим методом | Временное сопротивление  , МПа | Предел текучести  , МПа |
-20 | -40 | -60 |
Углеродистые: | | | | | | | | |
Вст3сп5 | 22 | 3 | 3 | - | 100° | 100% | 372 | 225 |
10 | 24 | | | | | | 333 | 206 |
20 | 21 | | | | | | 412 | 245 |
Низколегированные: | | | | | | | | |
17ГС, 17Г1С, | 20 | - | 3 | - | 80° | 100% | 500 | 350 |
17Г1СУ | | | | | | | | |
09Г2С | 20 | - | - | 3 | 80° | 100% | 470 | 265 |
Примечание. При применении углеродистых сталей в районах с расчетной температурой наружного воздуха для проектирования отопления от минус 21 до минус 30 °C ударная вязкость проверяется при температуре минус 40 °C. |
МЕТОДИКА РАСЧЕТА КОМПЕНСАЦИИ ТЕМПЕРАТУРНЫХ ДЕФОРМАЦИЙ
В.1. Условные обозначения

- площадь поперечного сечения стенки трубы, мм2;

- площадь действия внутреннего давления (

), мм2;

- внутренний диаметр трубы, мм;

- наружный диаметр трубы, мм;

- наружный диаметр теплопровода по оболочке, мм;

- наружный диаметр СК по сильфону, мм;
s - номинальная толщина стенки трубы, мм;

- удельная сила трения на единицу длины трубы, Н/м;

- коэффициент трения полиэтиленовой оболочки по грунту;

- угол внутреннего трения грунта, град.;

- удельный вес пульпы, Н/м3;

- объем пульпы, вытесненной теплопроводом, м3/м;

- вес 1 м теплопровода без воды, Н/м;

- вес 1 м теплопровода с водой, Н/м;

- вес слоя грунта над трубой, Н/м;

- удельный вес грунта, Н/м3;
Z - глубина засыпки по отношению к оси трубы, м;

- вертикальная стабилизирующая нагрузка на 1 м трубы, Н/м;

- сдвигающая сила, возникающая в результате действия давления грунта в состоянии покоя, Н/м;

- максимальная расчетная температура теплоносителя, °C;

- расчетная температура наружного воздуха для проектирования отопления (средняя температура наружного воздуха наиболее холодной пятидневки обеспеченностью 0,92), °C;

- монтажная температура, °C;

- расчетное осевое напряжение в трубе, Н/мм2;

- напряжение в трубе от силы жесткости сильфона компенсатора, Н/мм2;

- напряжение от собственного веса теплопровода, Н/мм2;

- растягивающее окружное напряжение от внутреннего давления, Н/мм2;

- допускаемое осевое напряжение в трубе, Н/мм2;

- дополнительное напряжение, возникающее в трубе при остывании от

до

, Н/мм2;

- эффективная площадь поперечного сечения сильфонного компенсатора

, см2;

- жесткость осевого хода, Н/см;

- амплитуда осевого хода, мм;
L - расстояние между неподвижными опорами или условно неподвижными сечениями трубы, м;

- расстояние между подвижными опорами, м;

- паспортная длина СК или СКУ, мм;

- распорная сила сильфонных компенсаторов, Н;

- сила жесткости сильфонных компенсаторов, Н;

- сила трения теплопровода о грунт на участках бесканальной прокладки, Н;
Р - внутреннее давление, МПа;
N - осевое (сжимающее, растягивающее) усилие в трубе, Н;
W - момент сопротивления поперечного сечения стенки трубы

, см3;

- коэффициент линейного расширения стали, 0,012 мм/м х °C;
I - момент инерции трубы

, см4;

- минимальная температура в условиях эксплуатации (

,

или любая другая температура). Выбор

выполняется проектировщиком по согласованию с заказчиком и эксплуатирующей организацией.
В.2. Методика расчета
Предельная длина компенсируемого прямого участка теплопровода между неподвижной опорой (или естественно неподвижным сечением трубы) и компенсирующим устройством не должна превышать предельной длины, рассчитанной по формуле

, (В.1)
где

- площадь поперечного сечения стенки трубы, мм2

, (В.2)

- наружный диаметр трубы, мм;
s - толщина стенки трубы, мм;

- удельная сила трения на единицу длины трубы, Н/м

, (В.3)
Применение коэффициентов перегрузки: 1,2 - к плотности грунта; 1,1 - к весу трубы; 1,2 - к весу изоляции;

- коэффициент трения полиэтиленовой оболочки по грунту, при трении по песку допускается принимать

= 0,40;

- вес 1 м теплопровода с водой, Н/м;

- удельный вес грунта и воды, Н/м3;
Z - глубина засыпки по отношению к оси трубы, м;

- допускаемое осевое напряжение в трубе, Н/мм2

, (В.4)

- коэффициент снижения прочности сварного шва при расчете на давление (для электросварных труб), принимается по [
5]. При полном проваре шва и контроле качества сварки по всей длине неразрушающими методами

= 1; при выборочном контроле качества сварки не менее 10% длины шва

= 0,8, а менее 10% -

= 0,7;
Р - избыточное внутреннее давление, МПа;

- коэффициент снижения прочности сварного шва при расчете на изгиб. При наличии изгиба

= 0,9, а при отсутствии изгиба

= 1.
Допустимо пользоваться приближенными формулами:
при

= 1:

, Н/мм2; (В.5)
при

= 0,8:

, Н/мм2; (В.6)

- наружный диаметр теплопровода по полиэтиленовой оболочке, мм, для конструкций теплопроводов с величиной адгезии теплоизоляции к трубе и оболочки к теплоизоляции

0,15 МПа, при меньших значениях расчеты ведутся по

трубы;

- угол внутреннего трения грунта (для песка

= 30°).
Предельная длина компенсируемого участка теплопровода может быть увеличена разными способами, например, путем:
- применения стальных труб с повышенной толщиной стенки;
- уменьшения коэффициента трения

обертыванием теплопровода полиэтиленовой пленкой;
- уменьшения Z - глубины прокладки теплопровода, т.е. засыпки по отношению к оси трубы;
- повышения качества сварных швов и др.
Пример
Определить предельную длину прямого участка теплопровода диаметром 159 x 4,5 мм, рабочая температура 130 °C, рабочее давление 1,6 МПа, материал - сталь Вст3сп5. Грунт песчаный, угол внутреннего трения грунта

= 30°, расстояние от поверхности земли до оси трубы Z = 1,0 м.
Номинальное допускаемое напряжение для заданного материала при температуре 130 °C [

] = 137 Н/мм2.
Площадь поперечного сечения стенки трубы:

= 3,14(159 - 4,5)4,5 = 2183 мм2.
Удельная сила трения на единицу длины трубы:
Допускаемое осевое напряжение:
Предельная длина прямого участка теплопровода:
При увеличении толщины стенки трубы, например, до 6 мм:

= 3,14(159 - 6)6 = 2882 мм2.

= 4445 Н/м.
В.3. Выбор и расчет компенсирующих устройств
Компенсация тепловых деформаций теплопровода может быть осуществлена следующими компенсирующими устройствами и системами:
I группа (устройства)
а) с П-образными компенсаторами, углами поворота трассы в виде Г-образных, Z-образных компенсаторов;
б) с сильфонными компенсаторами (СК) или сильфонными компенсирующими устройствами (СКУ).
II группа (системы)
а) системы с предварительным нагревом до засыпки грунтом;
б) системы со стартовыми компенсаторами, завариваемыми после предварительного нагрева.
Компенсирующие устройства группы Iа могут размещаться в любом месте теплопровода.
При этом протяженный теплопровод может иметь три вида зон:
- зоны изгиба

- участки теплопровода, непосредственно примыкающие к компенсатору. Теплопровод при нагреве перемещается в осевом и боковых направлениях;
- зоны компенсации

- участки теплопровода, примыкающие к компенсатору, перемещающиеся при температурных деформациях. Участки изгиба включаются в длину участков компенсации;
- зоны защемления

- неподвижные (защемленные) участки теплопровода, примыкающие к неподвижным опорам или естественно неподвижным сечениям трубы, компенсация температурных колебаний в которых происходит за счет изменения осевого напряжения.
В общем случае деформация теплопровода

рассчитывается по формуле

, (В.7)
где

- температурная деформация;

- деформация под действием сил трения;

- деформация от внутреннего давления;

- реакция демпфера (грунта, упругих подушек, жесткости осевого компенсатора, упругости П-образных, Г-образных, Z-образных и других компенсирующих устройств).
Выбор и расчет компенсирующих устройств группы Iа (П-образных, Г-образных, Z-образных компенсаторов, углов поворота трассы и т.п.) рекомендуется производить по компьютерной программе или по номограммам.
Размещение компенсирующих устройств группы Iа наиболее эффективно в середине компенсируемого участка.
При П-образных компенсаторах рекомендуется длину наибольшего плеча принимать < 60% общей длины участка.
При наличии углов поворота трассы рекомендуется использовать их в качестве компенсирующих устройств.
Длина участка труб в зоне компенсации может быть определена по упрощенной формуле

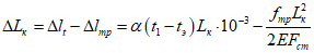
, (В.8)
где

- удельная сила трения на единицу длины трубы, Н/м;

- площадь кольцевого сечения трубы, мм2;

- коэффициент линейного расширения стали, мм/м х °C;
Е - модуль упругости материала трубы, Н/мм2;

- принимать равным (

), °C;

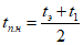
- минимальная температура в условиях эксплуатации (

,

и т.д.).
Выбор

производится при проектировании по согласованию с заказчиком и эксплуатирующей организацией.
Максимальное удлинение зоны компенсации

при нагреве теплопровода после засыпки траншеи грунтом можно определить по упрощенной формуле

, (В.9)
где

- коэффициент линейного расширения стали, мм/м х °C;

- максимальная расчетная температура теплоносителя, °C;

- минимальная температура в условиях эксплуатации. Выбор

выполняется проектировщиком по согласованию с заказчиком и эксплуатирующей организацией;

- длина зоны (участка) компенсации, м;

- удельная сила трения на единицу длины трубы, Н/м;
Е - модуль упругости материала трубы,

Н/мм2;

- площадь поперечного сечения стенки трубы, мм2.
В формулах (В.8) и (В.9) с целью упрощения проектных расчетов не учтены два члена:

, Н/мм2 - осевая составляющая растягивающего окружного напряжения от внутреннего давления. При расширении учитывается с положительным знаком;

, Н/мм2 - влияние усилия от активной реакции грунта. При расширении учитывается с отрицательным знаком.
Демпфер - поролоновые подушки, тем более канальные участки, практически не препятствуют свободному расширению теплопровода и сводят к минимуму влияние

. Второй член может быть заменен величиной упругой деформации компенсатора.
Выбор и расчет компенсирующих устройств группы Iб рекомендуется производить по расчетным формулам и таблицам, приведенным в рекомендациях по применению осевых сильфонных компенсаторов и сильфонных компенсирующих устройств конкретных предприятий - изготовителей СК и СКУ, продукция которых, как правило, отличается конструктивно и технологически.
Длина участка, на котором устанавливается один СК или СКУ, рассчитывается по формуле

, (В.10)
где

- амплитуда осевого хода, мм;

- коэффициент линейного расширения стали, мм/м х °C;

- максимальная расчетная температура теплоносителя, °C;

- расчетная температура наружного воздуха для проектирования отопления (средняя температура наружного воздуха наиболее холодной пятидневки обеспеченностью

) по
СНиП 23-01, °C.
Коэффициент 0,9 принимается при наличии на участке канальной и бесканальной прокладок, 1,15 - при бесканальной прокладке.
Пример
Определить максимальную длину участка, на котором устанавливается один компенсатор

= 150 мм типа КСО:
Длина зоны компенсации

при применении СК и СКУ рассчитывается по формуле

, (В.11)
где А - коэффициент, учитывающий активную площадь сильфона СК или СКУ:

; (В.12)

- удельная сила трения на единицу длины трубы, Н/м;

- площадь кольцевого сечения трубы, мм2;

- коэффициент линейного расширения стали, мм/м х °C;
Е - модуль упругости материала трубы, Н/мм2;

- принимать равным:

, °C;

- наружный диаметр трубы, мм;

- диаметр, характеризующий эффективную площадь сильфона, мм:

,

- эффективная площадь сильфона.
Системы компенсации II группы не требуют установки постоянно действующих компенсирующих устройств.
Компенсация температурных деформаций происходит за счет изменения осевого напряжения в защемленной трубе. Поэтому область применения тепловых сетей без постоянно действующих компенсирующих устройств ограничена допустимым перепадом температур

.
Системы II группы применяются, как правило, в случаях, когда трасса состоит из длинных прямолинейных участков с зонами защемления

.
Максимально допустимый перепад температур

с учетом предварительного нагрева, обычно принимаемого равным 0,5

, не должен превышать:

. (В.13)
Отсюда максимальная температура теплоносителя

:

, (В.14)
где

- допускаемое осевое напряжение в трубе, Н/мм2;

- коэффициент линейного расширения стали, мм/м х °C;
Е - модуль упругости материала трубы, Н/мм2;

- следует принимать (

), °C.
Пример
Определить максимальную температуру теплоносителя для прямого участка при [

] = 137 Н/мм2 и

= 10 °C.
Согласно
формуле (В.5) допускаемые осевые напряжения составляют

= 1,25 х 137 = = 171 Н/мм2.

= 128 °C.
Отсюда максимальная температура теплоносителя:

= 128 + 10 = 138 °C.
Системы, относящиеся ко IIа группе, - предварительный нагрев до засыпки грунтом:
- монтируются и до засыпки грунтом нагреваются до температуры предварительного нагрева

:

; (В.15)
- теплопроводы засыпаются. Температура нагрева должна поддерживаться до полной засыпки их грунтом. Затем трубопроводы охлаждаются до температуры монтажа. В защемленной зоне

уровень напряжений, Н/мм2, будет приблизительно равен:

, (В.16)
где

, °C.
Затем теплопровод нагревается до рабочей температуры.
В системах, относящихся к группе IIб, предусматривают применение стартовых компенсаторов.
Система полностью монтируется в траншее и засыпается грунтом (за исключением мест установки стартовых компенсаторов). Затем система нагревается до температуры, при которой все стартовые компенсаторы замыкаются. После чего осуществляется их заварка. Таким образом, стартовые компенсаторы срабатывают один раз, после чего система превращается в неразрезную и компенсация температурных расширений в дальнейшем осуществляется за счет знакопеременных осевых напряжений сжатия-растяжения.
Максимально допустимое расстояние, м, между стартовыми компенсаторами составляет

, (В.17)
где

- удельная сила трения на единицу длины трубы, Н/м.
Применение коэффициента перегрузки - по 4.3.2;

- площадь кольцевого сечения трубы, мм2;

- коэффициент линейного расширения стали, мм/м х °C;
Е - модуль упругости материала трубы, Н/мм2;
Диапазон температур предварительного нагрева, при которых может быть осуществлена заварка:

, (В.18)

. (В.19)
Формула (В.18) исходит из достижения допустимых осевых напряжений в холодном состоянии трубопровода после выполнения растяжки, а формула (В.19) - из достижения таких же напряжений в рабочем состоянии. В интервале от

до

любая

будет удовлетворять условиям прочности.

- температура, при которой монтируются стартовые компенсаторы.
При проектировании следует учитывать, что

может изменяться в пределах от нуля (при длительной остановке нагрева сетевой воды) до расчетной температуры наружного воздуха, принимаемой для расчета отопления (при глубине прокладки менее 0,7 м). Поэтому рекомендуется принимать

близко к средней, определенной по
формуле (В.15).
С помощью нагрева до температуры

и заварки стартового компенсатора осуществляется растяжка трубопровода на величину


, (В.20)
где

.
Если по конструктивным соображениям расстояние между стартовыми компенсаторами требуется уменьшить, в формулу (В.20) вместо максимально допустимого значения

подставляется реальное.
Пример
Определить предельно допустимое расстояние между стартовыми компенсаторами, температуру предварительного нагрева и величину растяжки при следующих исходных данных. Трубопровод диаметром 426 мм с толщиной стенки 7 мм с изоляцией, наружный диаметр кожуха изоляции 560 мм, площадь поперечного сечения трубы 92 см2, материал - сталь марки 20, давление в рабочем состоянии 1,6 МПа, наибольшая температура теплоносителя 130 °C, при монтаже компенсаторов - 10 °C, вес трубопровода с изоляцией и водой с учетом коэффициентов перегрузки 2122 Н/м. Трубопровод имеет глубину заложения в грунте Z = 1,1 м, окружающий грунт - песок.

Н/м.
Предельно допустимое расстояние между стартовыми компенсаторами - по
формуле (В.17)

м.

°C;
по формуле (В.19)

°C.
Примем среднее значение

= 70 °C, тогда осевые напряжения в рабочем состоянии составят:

.

мм,
где

= 70 - 10 = 60 °C.
В практике проектных и монтажных работ допускается использовать приближенные формулы для определения расчетного сжатия стартового компенсатора

, мм:

; (В.21)

. (В.22)
В местах установки стартовых компенсаторов теплопроводы должны иметь прямолинейные участки длиной не менее 12 м.
Для уменьшения величины трения теплопровода о грунт допускается его обернуть полиэтиленовой пленкой.
Траншею в местах установки стартовых компенсаторов следует засыпать только после выполнения предварительного нагрева теплопровода, завершения сварочных работ и монтажа стыкового соединения.
Расстояние от стартового компенсатора до места установки ответвления должно быть не менее

.
МЕТОДИКА ПРОВЕРКИ ТЕПЛОПРОВОДА НА УСТОЙЧИВОСТЬ
Критическое усилие, Н/м, от наиболее невыгодного сочетания воздействий и нагрузок, при котором неразрезной теплопровод теряет устойчивость, подсчитывается по формуле

, (Г.1)
где N - осевое сжимающее усилие в трубе, Н;
E - модуль упругости материала трубы, Н/мм2;
I - момент инерции трубы, см4;
i - начальный изгиб трубы, м:

, (Г.2)

- длина местного изгиба теплопровода, м:

, (Г.3)
где

- абсолютное значение величины осевого сжимающего усилия в трубе, Н.
Вертикальная нагрузка, Н/м, оказывает стабилизирующее влияние и определяется по формуле

, (Г.4)
где

- вес грунта над теплопроводом, Н/м;

- вес 1 м теплопровода с водой, Н/м;

- сдвигающая сила, возникающая в результате действия давления грунта в состоянии покоя, Н/м.
Для случаев, когда уровень стояния грунтовых вод ниже глубины заложения теплопровода:

; (Г.5)

, (Г.6)
где

- удельный вес грунта, Н/м3;
Z - глубина засыпки по отношению к оси трубы, м;

- коэффициент давления грунта в состоянии покоя,

= 0,5;

- угол внутреннего трения грунта;

- наружный диаметр оболочки, м.
Осевое сжимающее усилие, Н, в защемленном участке прямой трубы с равномерно распределенной вертикальной нагрузкой:

, (Г.7)
где

- площадь кольцевого сечения трубы, мм2;

- коэффициент линейного расширения стали, мм/м х °C;
Е - модуль упругости материала трубы, Н/мм2;

- принимать равным (

), °C;

- растягивающее окружное напряжение от внутреннего давления, Н/мм2;
Р - внутреннее давление, МПа;

- площадь действия внутреннего давления (

), мм2.
Пример
Провести проверку теплопровода диаметром 159 x 4,5 мм, проложенного бесканально, на устойчивость при наиболее неблагоприятном сочетании нагрузок и воздействий. Для случая, когда уровень стояния грунтовых вод ниже глубины заложения теплопровода.
Осевое сжимающее усилие в защемленной трубе
Длина местного изгиба теплопровода:

м.
Начальный изгиб трубы:

м.
Критическое усилие, при котором защемленный теплопровод при бесканальной прокладке теряет устойчивость:

Н/м.
Вес грунта над теплопроводом:
Сдвигающая сила, возникающая в результате действия давления грунта в состоянии покоя при

= 35°:

Н/м.
Стабилизирующая вертикальная нагрузка

Н/м.
Условие устойчивости

>

, т.е. 10861 > 9630 Н/м, выполняется.
Если уровень грунтовых или сезонных поверхностных вод (паводок, подтопляемые территории и т.п.) может подниматься выше глубины заложения бесканально прокладываемых теплопроводов, т.е. существует вероятность всплытия труб при их опорожнении, необходимый вес балласта, Н/м, который должен сообщить теплопроводу надежную отрицательную плавучесть, определяется по формуле

, (Г.8)
где

- коэффициент устойчивости против всплытия. Принимается равным: 1,10 - при периодически высоком уровне грунтовых вод или при прокладках в зонах подтопляемых территорий; 1,15 - при прокладках по болотистой местности;

- удельный вес пульпы (воды и взвешенных частиц грунта), Н/м3;

- объем пульпы, вытесненной теплопроводом, м3/м;

- вес 1 м теплопровода без воды, Н/м;

- вес неподвижных опор, Н/м.
При ведении вблизи земляных работ среднее расстояние между теплотрассой (при двухтрубной прокладке) и бровкой откоса X следует определять по формуле

. (Г.9)
В этой формуле

- коэффициент пассивного давления, принимаемый для песка равным 3,0.
В зависимости от угла наклона бокового откоса

(рисунок Г.1), расстояние Х принимается:
- при

0,5 - равным расстоянию до бровки откоса;
- при вертикальных стенках и выемке грунта без креплений -

, м;
- при вертикальных стенках и выемке грунта с использованием креплений принимается расстояние до места выемки грунта.
Рисунок Г.1
Приведенные формулы справедливы для случая, когда выемка грунта производится на глубину не более 0,1 м под проложенными трубами. В противном случае необходимо проводить расчет с помощью общих аналитических методов расчета на устойчивость.
МЕТОДИКА ИСПЫТАНИЙ СТЫКОВ ТЕПЛОПРОВОДОВ С ИЗОЛЯЦИЕЙ
ИЗ ПЕНОПОЛИУРЕТАНА В ПОЛИЭТИЛЕНОВОЙ ОБОЛОЧКЕ
Д.1. Настоящая методика распространяется на испытания стыков стальных трубопроводов с индустриальной полимерной теплоизоляцией.
Д.2. Испытания термоусаживающихся элементов для заделки теплоизолированных стыков проводятся на контрольных образцах с диаметром наружной оболочки трубы 160 (200) мм на стенде (рисунок Д.1).
1 - система охлаждения; 2 - фрагмент теплопровода;
3 - нагреватель; 4 - камера; 5 - нажимное устройство;
6 - грунт; 7 - механизм протяжки; 8 - размещение термопар в
камере стенда; 9 - теплоизоляция концевых участков;
10 - размещение термопар на фрагменте теплопроводов
Рисунок Д.1. Стенд для испытания теплопроводов
в условиях подземной бесканальной прокладки
Д.3. Испытания проводятся при следующих условиях:
- перед испытанием труба выдерживается в течение 24 ч при температуре 150 °C;
- давление грунта на теплопровод (статическое + динамическое) - 18 кН/м2;
- вытеснение грунта составляет 75 мм;
- скорость хода вперед изолированной трубы - 10 мм/мин;
- скорость хода назад изолированной трубы - 50 мм/мин;
- изолированная труба испытывается на 1000 циклов, где циклом считается один ход вперед и один ход назад с промежуточной проверкой целостности термоусаживающейся муфты 300, 600 и 1000 циклов.
Д.4. Основные требования к испытаниям:
- температурные изменения шва будут следовать нормальному 24-часовому температурному циклу на протяжении всего отопительного периода;
- при остановке теплосети термоусаживающаяся муфта должна противостоять температурным изменениям наружного воздуха -40 °C и до 150 °C (металлической трубы);
- долговечность термоусаживающейся муфты должна быть не менее 25 лет;
- температура на поверхности теплопровода не должна быть более 40 °C;
- в качестве материала засыпки, находящегося в контакте с трубой, используется песок без острых граней с максимальным размером песчинок не более 4 мм;
- коэффициент трения изолированной трубы о грунт находится в пределах 0,15 - 0,65;
- динамические радиальные нагрузки, вызываемые движением автотранспорта, не приводят к увеличению нагрузок свыше удельной нагрузки на полиуретановую пену;
- изгибающий момент не вызывает пластических напряжений в стальной трубе;
- изолированная муфта водонепроницаема на протяжении всего срока службы трубопровода.
МЕТОДЫ ИЗОЛЯЦИИ СТЫКОВ ТЕПЛОИЗОЛИРОВАННЫХ ТРУБ
И ФАСОННЫХ ИЗДЕЛИЙ
Е.1. Заделка стыкового соединения с помощью электросварной муфты
Е.1.1. Полиэтиленовые муфты, применяемые для этого способа, могут быть как неразъемные, так и разъемные.
Е.1.2. Разъемные муфты применяются, как правило, при ремонте трубопроводов и могут устанавливаться после сварки металлического трубопровода с последующей герметизацией горизонтального шва муфты ручным экструдером.
Е.1.3. Неразъемная или разъемная муфта размещаются на прилегающем крае трубы.
Е.1.4. После сварки зачистить поверхность трубы, удалить слой ППУ с торцевой поверхности труб на глубину до 30 мм, зачистить наждачной бумагой или металлической щеткой и обезжирить полиэтиленовую оболочку труб под муфтой, соединить проводники системы ОДК.
Е.1.5. Разместить муфту по центру стыка и усадить поочередно ее края пропановой горелкой.
Е.1.6. Приварить с помощью закладного нагревательного элемента усаженную часть кожуха и находящуюся под ней оболочку трубы.
Е.1.7. Проверить герметичность кожуха опрессовкой.
Е.1.8. Залить в заранее подготовленные отверстия смесь компонентов пенополиуретана, дождаться завершения реакции вспенивания и заделать отверстия.
Е.2. Заделка стыкового соединения с помощью термоусадочной муфты
Е.2.1. Все операции по изоляции стыка термоусадочной муфтой, за исключением дополнительной установки адгезивных полос, манжетов и электропрогрева, аналогичны
Е.1.
Е.2.2. После подготовки поверхности трубы и муфты активировать поверхность полиэтиленовой оболочки пропановой горелкой в местах посадки муфты и наклеить на нее адгезивную ленту.
Е.2.3. Разместить муфту по центру стыка и усадить поочередно ее края пропановой горелкой. После усадки муфта имеет бочкообразную форму.
Е.2.4. После остывания производится опрессовка муфты, а затем заливка смеси компонентов пенополиуретана.
Е.3. Заделка стыкового соединения с помощью разъемного кожуха
Е.3.1. После сварки металлических труб зачистить их поверхность, удалить слой пенополиуретана с торцевой поверхности, зачистить и обезжирить полиэтиленовую оболочку труб в месте стыка, соединить проводники системы ОДК.
Е.3.2. Поместить на стыковое соединение разъемный кожух с нахлестом на края оболочки, зафиксировать его бандажными лентами и самонарезами.
Е.3.3. Залить в заранее подготовленные отверстия смесь компонентов пенополиуретана, дождаться завершения реакции вспенивания и заделать отверстия.
В качестве теплоизоляционного слоя могут применяться пенополиуретановые цилиндры или сегменты.
Е.3.4. Гидроизоляцию стыкового соединения на кожухе выполнить термоусаживаемой лентой.
Подробные инструкции по применению материалов для заделки стыкового соединения предоставляет фирма - производитель продукции и поставщик муфт.
Производитель теплоизолированных труб или аттестованная строительная организация имеют право применять другую технологию заделки стыкового соединения, прошедшую испытания и согласованную со всеми заинтересованными организациями.
Образец акта
ПРИЕМКИ СИСТЕМЫ ОДК (УВЛАЖНЕНИЯ ППУ ИЗОЛЯЦИИ)
Мы, нижеподписавшиеся, представители строительной организации ______
____________________________________________________________________ и
фирмы ________________________________________________________________
и эксплуатирующей организации ________________________________________
составили настоящий акт по результатам проверки технического состояния
и измерений смонтированной и представленной к сдаче системы контроля
увлажнения пенополиуретановой изоляции.
1. Технические характеристики
Район теплосети ______________________
Номер проекта ______________________
Адрес участка теплотрассы ______________________
Номер магистрали ______________________
Технология прокладки ______________________
Фактическая длина подающего ______________________
трубопровода (диаметр) по ______________________
исполнительной документации ______________________
Фактическая длина обратного ______________________
трубопровода (диаметр) по ______________________
исполнительной документации ______________________
2. Результаты измерений
┌────────────────┬───┬───┬───┬──┬──┬──┬──┐
Электрические длины │N точек контроля│ │ │ │ │ │ │ │
соединительных кабелей ├────────────────┼───┼───┼───┼──┼──┼──┼──┤
для подключения измери- │Подающий трубо- │ │ │ │ │ │ │ │
тельных приборов │провод │ │ │ │ │ │ │ │
├────────────────┼───┼───┼───┼──┼──┼──┼──┤
│Обратный трубо- │ │ │ │ │ │ │ │
│провод │ │ │ │ │ │ │ │
└────────────────┴───┴───┴───┴──┴──┴──┴──┘
┌────────────────────┬────────────────────┐
│Подающий трубопровод│Обратный трубопровод│
├────────────────────┼────────────────────┤
Сопротивление изоляции │ │ │
├────────────────────┼────────────────────┤
Сопротивление │ │ │
контрольных проводов │ │ │
├────────────────────┼────────────────────┤
Длина сигнальной линии │ │ │
по исполнительной │ │ │
документации │ │ │
├────────────────────┼────────────────────┤
Длина сигнальной линии │ │ │
по результатам измере- │ │ │
ний без учета соедини- │ │ │
тельных кабелей │ │ │
├────────────────────┼────────────────────┤
Общая фактическая дли- │ │ │
на сигнальной линии (с │ │ │
учетом кабелей) │ │ │
└────────────────────┴────────────────────┘
Измерения проводились с использованием тестера изоляции типа _______
и рефлектометра типа __________________ длительность импульса ________
скорость _______________ или укорочение ______________
Заключение
Строительно-монтажные работы по системе контроля увлажнения изоляции
выполнены (ненужное зачеркнуть):

в полном объеме

не в полном объеме

с отклонением от проекта
Замечания, отклонения от проекта
______________________________________________________________________
______________________________________________________________________
______________________________________________________________________
______________________________________________________________________
Система контроля увлажнения изоляции: ПРИНЯТА.
Подписи
От строительной От фирмы От эксплуатирующей
организации организации
_______________ ______________ ________________
_______________ ______________ ________________
_______________ ______________ ________________
БИБЛИОГРАФИЯ
[1]
РД 10-400-01 Нормы расчета на прочность трубопроводов тепловых сетей
[2]
ПБ 03-75-94 Правила устройства и безопасной эксплуатации трубопроводов пара и горячей воды
[3] РД 34.03.201-97 Правила техники безопасности при эксплуатации тепломеханического оборудования электрических станций и тепловых сетей
[4] "Порядок накопления, транспортировки, обезвреживания и захоронения токсичных промышленных отходов (санитарные правила)"
N 3183-84
[5]
РД 10-249-98 Нормы расчета на прочность стационарных котлов и трубопроводов пара горячей воды