Скачать ГОСТ 9324-80 Фрезы червячные чистовые однозаходные для цилиндрических зубчатых колес с эвольвентным профилем. Технические условия

Дата актуализации: 01.01.2021

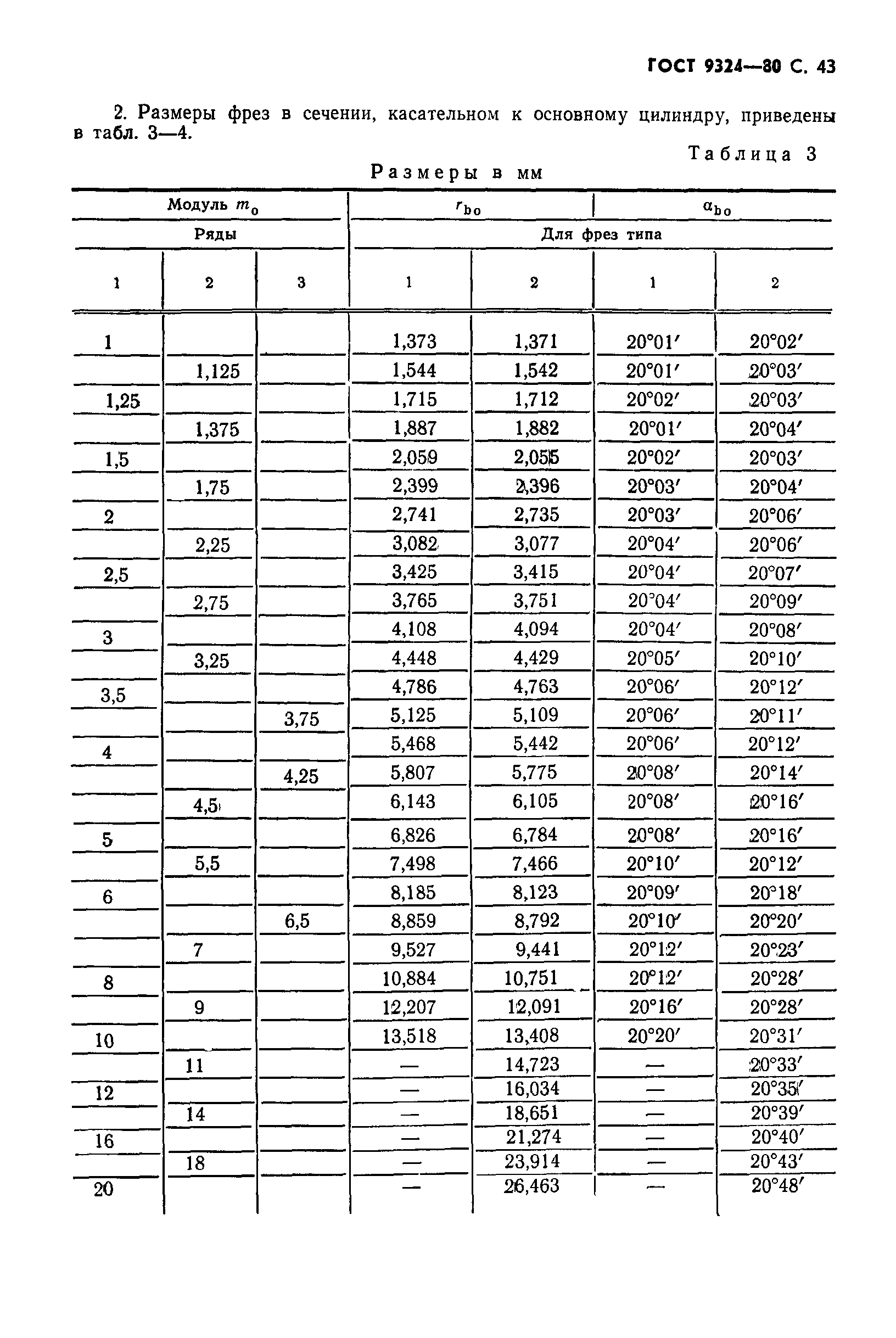
ГОСТ 9324-80

Фрезы червячные чистовые однозаходные для цилиндрических зубчатых колес с эвольвентным профилем. Технические условия

Обозначение: ГОСТ 9324-80
Обозначение англ: GOST 9324-80
Статус:заменен
Название рус.:Фрезы червячные чистовые однозаходные для цилиндрических зубчатых колес с эвольвентным профилем. Технические условия
Название англ.:Finishing single start hobbing cutters for cylindrical involute gears
Дата добавления в базу:01.09.2013
Дата актуализации:01.01.2021
Дата введения:01.01.1982
Дата окончания срока действия:01.01.2017
Область применения:Стандарт распространяется на червячные чистовые фрезы для обработки зубчатых колес с эвольвентным профилем с исходным контуром по ГОСТ 13755—81. Требования стандарта в части разд. 1, 2, 4, 5 и 3,2 являются обязательными, другие требования - рекомендуемые.
Оглавление:1 Типы и основные размеры
2 Технические требования
3 Приемка
4 Методы испытаний
5 Транспортирование и хранение
Приложение 1 (обязательное) Размеры профиля зубьев в нормальном и осевом сечениях
Приложение 2 (рекомендуемое) Расчетные размеры и назначения фрез
Приложение 3 (Исключено, Изм. № 1)
Приложение 4 (справочное) Соответствие настоящего стандарта стандарту ИСО 2490-95
Разработан: Министерство станкостроительной и инструментальной промышленности СССР
Утверждён:29.10.1980 Государственный комитет СССР по стандартам (USSR National Committee on Standards 5197)
Издан: ИПК Издательство стандартов (1988 г. )
Список изменений:
Заменяет собой:
  • ГОСТ 9324-60 «Фрезы червячные чистовые однозаходные для цилиндрических зубчатых колес с эвольвентным профилем»
Нормативные ссылки:
ГОСТ 9324-80ГОСТ 9324-80ГОСТ 9324-80ГОСТ 9324-80ГОСТ 9324-80ГОСТ 9324-80ГОСТ 9324-80ГОСТ 9324-80ГОСТ 9324-80ГОСТ 9324-80ГОСТ 9324-80ГОСТ 9324-80ГОСТ 9324-80ГОСТ 9324-80ГОСТ 9324-80ГОСТ 9324-80ГОСТ 9324-80ГОСТ 9324-80ГОСТ 9324-80ГОСТ 9324-80ГОСТ 9324-80ГОСТ 9324-80ГОСТ 9324-80ГОСТ 9324-80ГОСТ 9324-80ГОСТ 9324-80ГОСТ 9324-80ГОСТ 9324-80ГОСТ 9324-80ГОСТ 9324-80ГОСТ 9324-80ГОСТ 9324-80ГОСТ 9324-80ГОСТ 9324-80ГОСТ 9324-80ГОСТ 9324-80ГОСТ 9324-80ГОСТ 9324-80ГОСТ 9324-80ГОСТ 9324-80ГОСТ 9324-80ГОСТ 9324-80ГОСТ 9324-80ГОСТ 9324-80ГОСТ 9324-80ГОСТ 9324-80ГОСТ 9324-80ГОСТ 9324-80ГОСТ 9324-80ГОСТ 9324-80ГОСТ 9324-80

Текстовое изменение № 1 от 01.01.1988

№ 1№ 1№ 1№ 1№ 1№ 1№ 1№ 1

Текстовое изменение № 2 от 01.05.1992

№ 2№ 2