Скачать ГОСТ Р 51664-2000 Системы и аппаратура автоматического управления каналами радиосвязи. Основные параметрыДата актуализации: 01.01.2021
|
| Обозначение: | ГОСТ Р 51664-2000 |
| Обозначение англ: | GOST R 51664-2000 |
| Статус: | введен впервые |
| Название рус.: | Системы и аппаратура автоматического управления каналами радиосвязи. Основные параметры |
| Название англ.: | Systems and equipment of radio communication channel automatic control. Main parameters |
| Дата добавления в базу: | 01.09.2013 |
| Дата актуализации: | 01.01.2021 |
| Дата введения: | 01.07.2001 |
| Область применения: | Стандарт распространяется на системы и аппаратуру автоматического управления каналами магистральной радиосвязи гектометрового - декаметрового диапазона волн. Стандарт устанавливает состав, структуру и основные параметры систем автоматического управления каналами радиосвязи. |
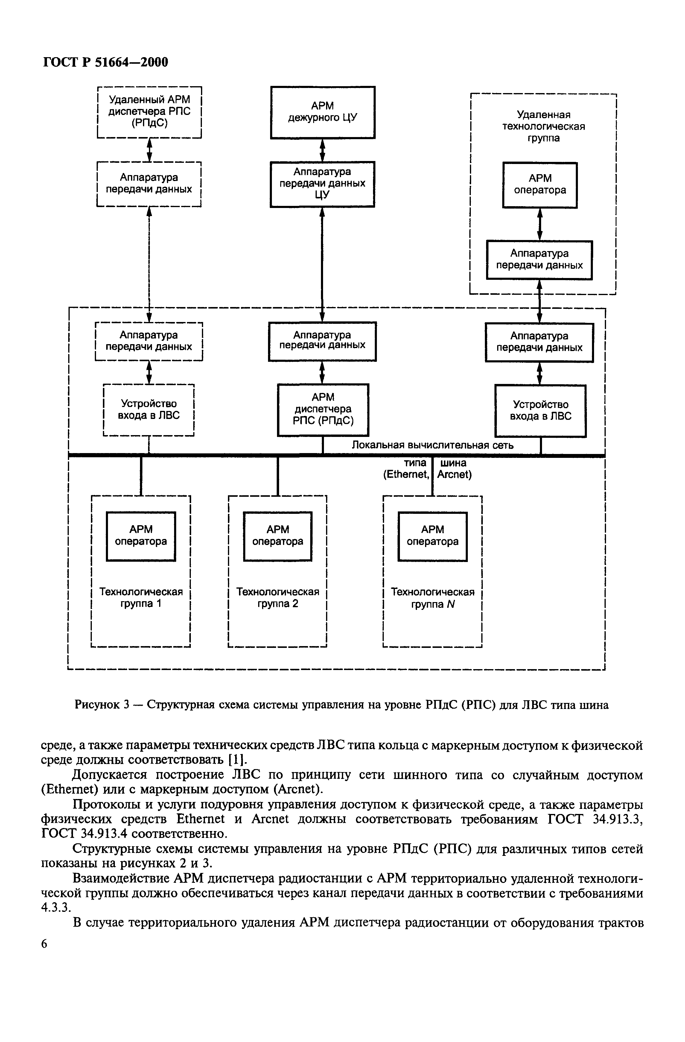
| Оглавление: | 1 Область применения 2 Нормативные ссылки 3 Определения и сокращения 4 Основные параметры 4.1 Общие положения 4.2 Структуры и параметры системы управления узла радиосвязи (уровень центра управления) 4.3 Структуры и параметры систем управления на уровне радиостанций 4.4 Структуры и параметры систем управления на уровне технологических групп радиостанций Приложение А Структура типового узла радиосвязи Приложение Б Сравнительные характеристики последовательных интерфейсов Приложение В Стандарты аппаратуры передачи данных Приложение Г Библиография |
| Разработан: | Самарский отраслевой научно-исследовательский институт радио (СОНИИР) |
| Утверждён: | 16.11.2000 Госстандарт России (Russian Federation Gosstandart 299-ст) |
| Издан: | ИПК Издательство стандартов (2001 г. ) |
| Нормативные ссылки: |
|


















