Скачать ГОСТ Р 51665-2000 Устройства сложения мощностей передатчиков низких, средних и высоких частот. Основные параметры. Общие технические требования. Методы измеренийДата актуализации: 01.01.2021
|
| Обозначение: | ГОСТ Р 51665-2000 |
| Обозначение англ: | GOST R 51665-2000 |
| Статус: | введен впервые |
| Название рус.: | Устройства сложения мощностей передатчиков низких, средних и высоких частот. Основные параметры. Общие технические требования. Методы измерений |
| Название англ.: | Power combiners for low, medium and high frequency transmitters. Basic parameters. General technical requirements. Methods of measurements |
| Дата добавления в базу: | 01.09.2013 |
| Дата актуализации: | 01.01.2021 |
| Дата введения: | 01.07.2001 |
| Область применения: | Стандарт распространяется на устройства сложения мощностей передатчиков низких частот, средних частот и высоких частот. УСМ обеспечивает совместную работу нескольких передатчиков с одинаковой рабочей частотой и одинаковой программой на общую нагрузку (антенну, фидер) без взаимного влияния. Стандартне распространяется на УСМ, входящие в состав каскадов передатчиков. |
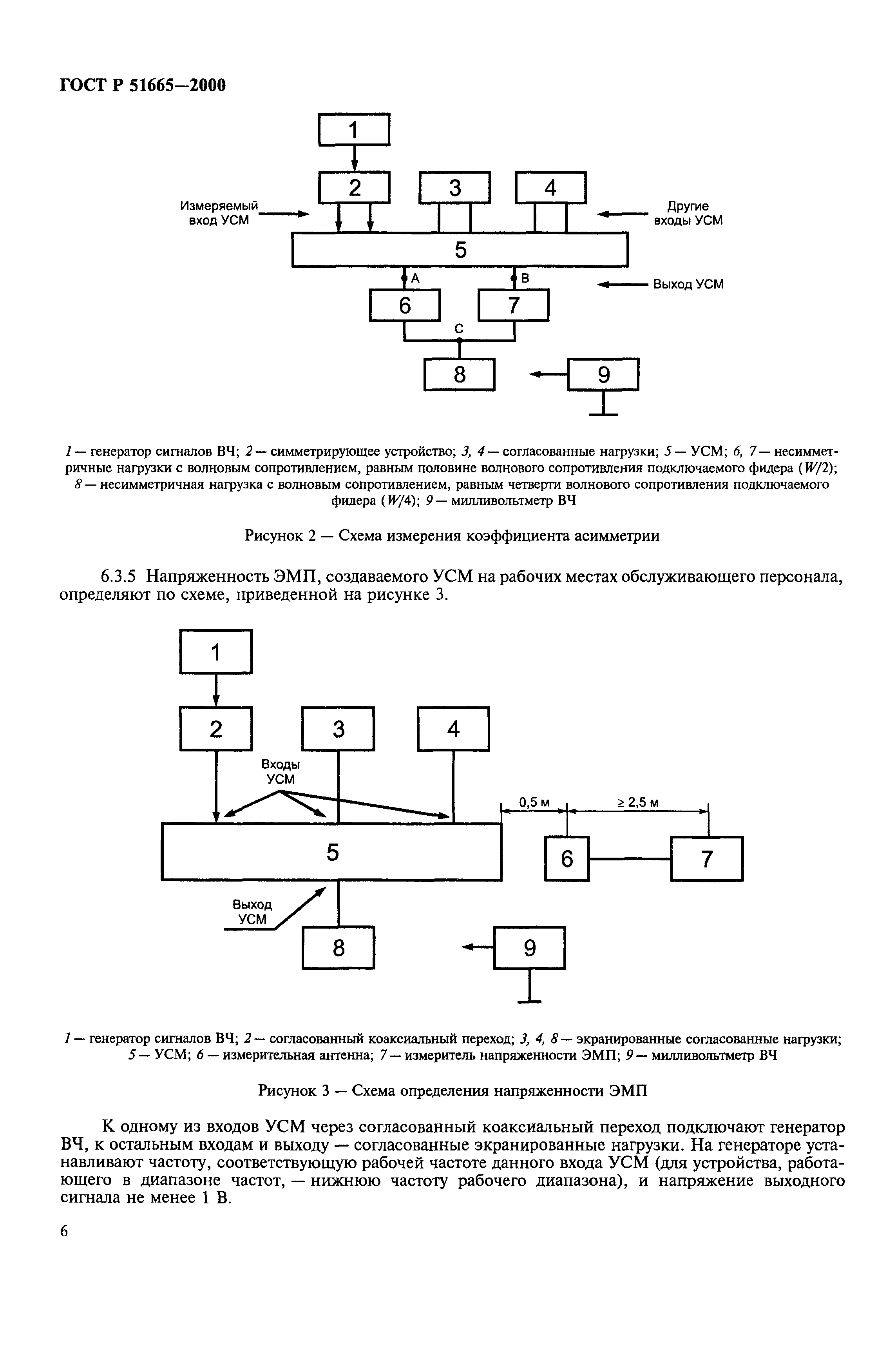
| Оглавление: | 1 Область применения 2 Нормативные ссылки 3 Определения и сокращения 4 Основные параметры 5 Общие технические требования 5.1 Общие требования 5.2 Требования надежности 5.3 Требования к конструкции 5.4 Требования к безопасности 5.5 Требования стойкости к климатическим и механическим воздействиям 6 Методы измерений 6.1 Общие положения 6.2 Измерительная аппаратура 6.3 Проведение измерений Приложение А Основные технические характеристики устройств обхода УСМ Приложение Б Присоединительные размеры входов и выходов УСМ Приложение В Основные технические характеристики СИ для измерения параметров УСМ Приложение Г Требования к симметрирующим петлям Приложение Д Требования к симметрирующему трансформатору Приложение Е Библиография |
| Разработан: | Самарский отраслевой научно-исследовательский институт радио (СОНИИР) |
| Утверждён: | 16.11.2000 Госстандарт России (Russian Federation Gosstandart 300-ст) |
| Издан: | ИПК Издательство стандартов (2001 г. ) |
| Нормативные ссылки: |
|


















