Скачать РД 31.41.02-80 Книга 2Дата актуализации: 01.01.2021
|
| Обозначение: | РД 31.41.02-80 |
| Обозначение англ: | RD 31.41.02-80 |
| Статус: | действует |
| Название рус.: | Книга 2 |
| Дата добавления в базу: | 01.09.2013 |
| Дата актуализации: | 01.01.2021 |
| Дата введения: | 01.01.1981 |
| Область применения: | Документ регламентирует типовые и опытные технологические процессы погрузки-выгрузки крупнотоннажных контейнеров, контейнеров-платформ, контейнерных тележек и автотехники из суда-контейнеровозы, выполняемые из специализированных контейнерных и универсальных перегрузочных комплексах портов, а также типовые и опытные процессы загрузки (разгрузки) этих контейнеров, контейнеров-платформ и контейнерных тележек различными грузами. |
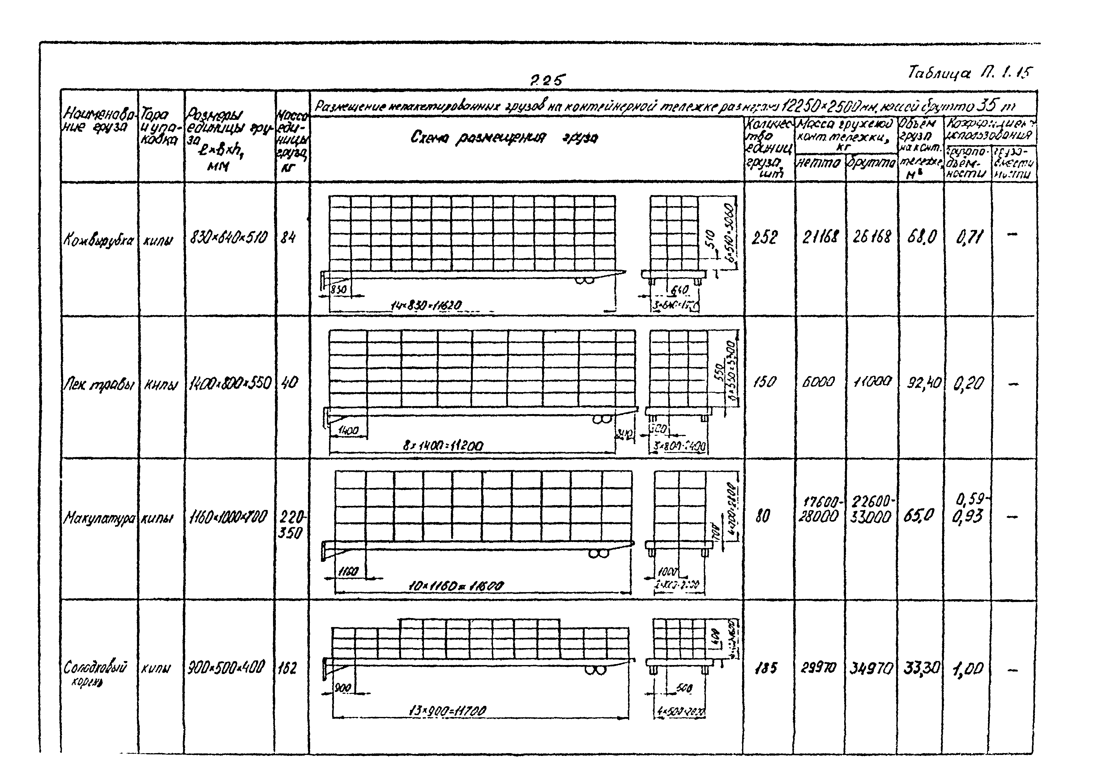
| Оглавление: | 6. Карты погрузки (выгрузки) грузов на контейнерные тележки Приложение 1. Рекомендуемые схемы размещения грузов в контейнерах (закрытых и открытых) на контейнерах-платформах и контейнерных тележках Приложение 2. Рекомендуемые схемы крепления грузов в контейнере Приложение 3. Рекомендуемые схемы крепления грузов на контейнере-платформе Приложение 4. Рекомендуемые схемы крепления грузов на контейнерной тележке и пример расчета крепления Приложение 5. Средства механизации, грузозахватные устройства и приспособления, включенные в карты типовых и опытных технологических процессов погрузки (выгрузки) грузов в контейнеры (закрытые и открытые), на контейнеры-платформы и контейнеры-тележки Приложение 6. Рекомендуемые нормативы на погрузку грузов в контейнеры (закрытые и открытые), на контейнеры-платформы и контейнерные тележки |
| Разработан: | Ленморниипроект СоюзморНИИпроект БЦПКБ |
| Утверждён: | 30.04.1980 Министерство морского флота СССР (USSR Ministry of the Merchant Marine 57) |
| Принят: | Управление эксплуатации флота и портов ММФ |
| Издан: | ЦРИА Морфлот (1981 г. ) |
| Заменяет собой: |
|
| Нормативные ссылки: |
|
























































































































































































































































































































