Скачать Серия 1.832.5-11 Выпуск 5. Элементы каркасов. Рабочие чертежиДата актуализации: 01.01.2021
|
| Обозначение: | Серия 1.832.5-11 |
| Обозначение англ: | Series 1.832.5-11 |
| Статус: | не определен законодательством |
| Название рус.: | Выпуск 5. Элементы каркасов. Рабочие чертежи |
| Дата добавления в базу: | 01.09.2013 |
| Дата актуализации: | 01.01.2021 |
| Дата введения: | 01.03.1987 |
| Дата окончания срока действия: | 30.06.2003 |
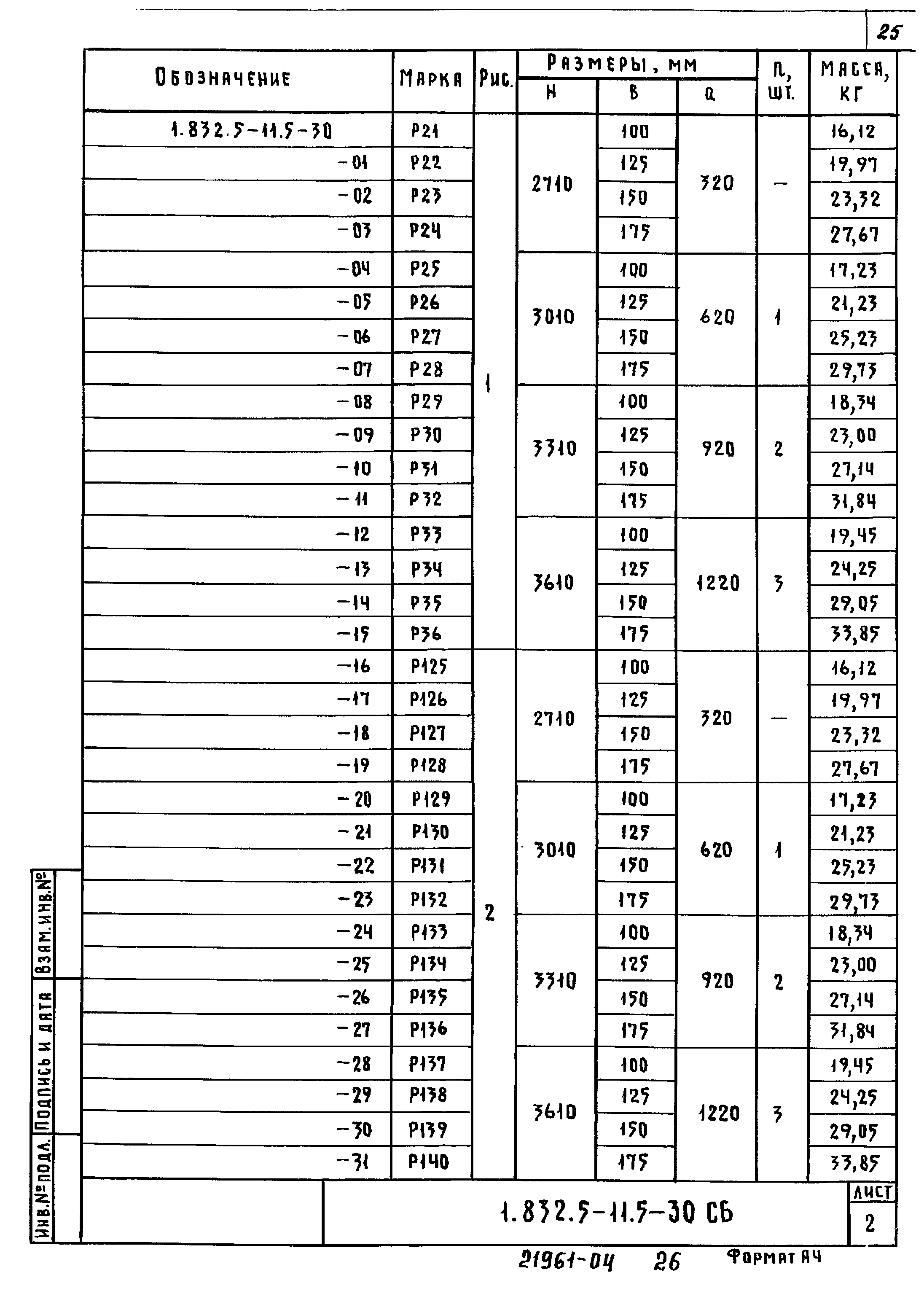
| Оглавление: | 1.832.5-11.5-00 ТУ Технические условия 1.832.5-11.5-10 Ребро Р1… Р4 1.832.5-11.5-10 СБ Ребро Р1… Р4. Сборочный чертеж 1.832.5-11.5-20 Ребро Р5… Р20; Р109… Р124 1.832.5-11.5-20 СБ Ребро Р5… Р20; Р109… Р124. Сборочный чертеж 1.832.5-11.5-30 Ребро Р21… Р36; Р125… Р140 1.832.5-11.5-30 СБ Ребро Р21… Р36; Р125… Р140. Сборочный чертеж 1.832.5-11.5-40 Петля для подъема М1; М2 1.832.5-11.5-01 Ребро Р37… Р108 1.832.5-11.5-02 Планка 1.832.5-11.5-03 Наличник Н1… Н8; Н20; Н21 1.832.5-11.5-04 Наличник Н9… Н19 1.832.5-11.5-05 Скоба 1.832.5-11.5-06 Костыль К1; К2 1.832.5-11.5-07 Слив С1… С5 |
| Разработан: | ЦНИИСК им. В.А. Кучеренко ГипроНИсельхоз (Институт Гипронисельхоз ) |
| Утверждён: | 05.12.1986 Госстрой СССР (Государственный комитет Совета Министров СССР по делам строительства) (USSR Gosstroy АЧ-90) |
| Заменяет собой: | |
| Нормативные ссылки: |
|


































