Скачать Справочное пособие для обработки материалов инженерно-геологических изысканий

Дата актуализации: 01.01.2021

Справочное пособие для обработки материалов инженерно-геологических изысканий

Статус:действует
Название рус.:Справочное пособие для обработки материалов инженерно-геологических изысканий
Дата добавления в базу:01.09.2013
Дата актуализации:01.01.2021
Дата введения:20.10.2005
Оглавление:Введение
1 Геотехнические характеристики грунтов
   1.1 Общие сведения
   1.2 Песчаные грунты
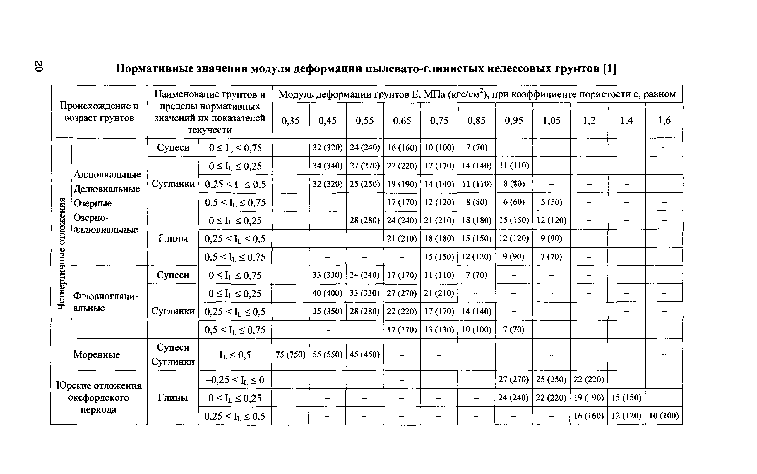
   1.3 Глинистые грунты
   1.4 Скальные грунты
2 Просадочность грунтов
3 Морозное пучение грунтов
4 Коррозионная агрессивность грунтов
5 Агрессивность жидкой среды
6 Статическое и динамическое зондирование
7 Гидрогеологические расчеты
8 Проектно-сметная документация на буровые и лабораторные работы
Приложение 1 Физико-механические свойства грунтов по некоторым регионам по данным изыскательских организаций
Приложение 2 Вспомогательные материалы
Список литературы
Разработан: ФГУП НИИ ВОДГЕО
Утверждён:20.10.2005 ЗАО ДАР\ВОДГЕО
Нормативные ссылки: