Скачать ГОСТ Р ИСО/МЭК 7816-3-2006 Информационная технология. Карты идентификационные. Карты на интегральных схемах с контактами. Часть 3. Электронные сигналы и протоколы передачиДата актуализации: 01.01.2021
|
| Обозначение: | ГОСТ Р ИСО/МЭК 7816-3-2006 |
| Обозначение англ: | GOST R ISO/IEC 7816-3-2006 |
| Статус: | заменен |
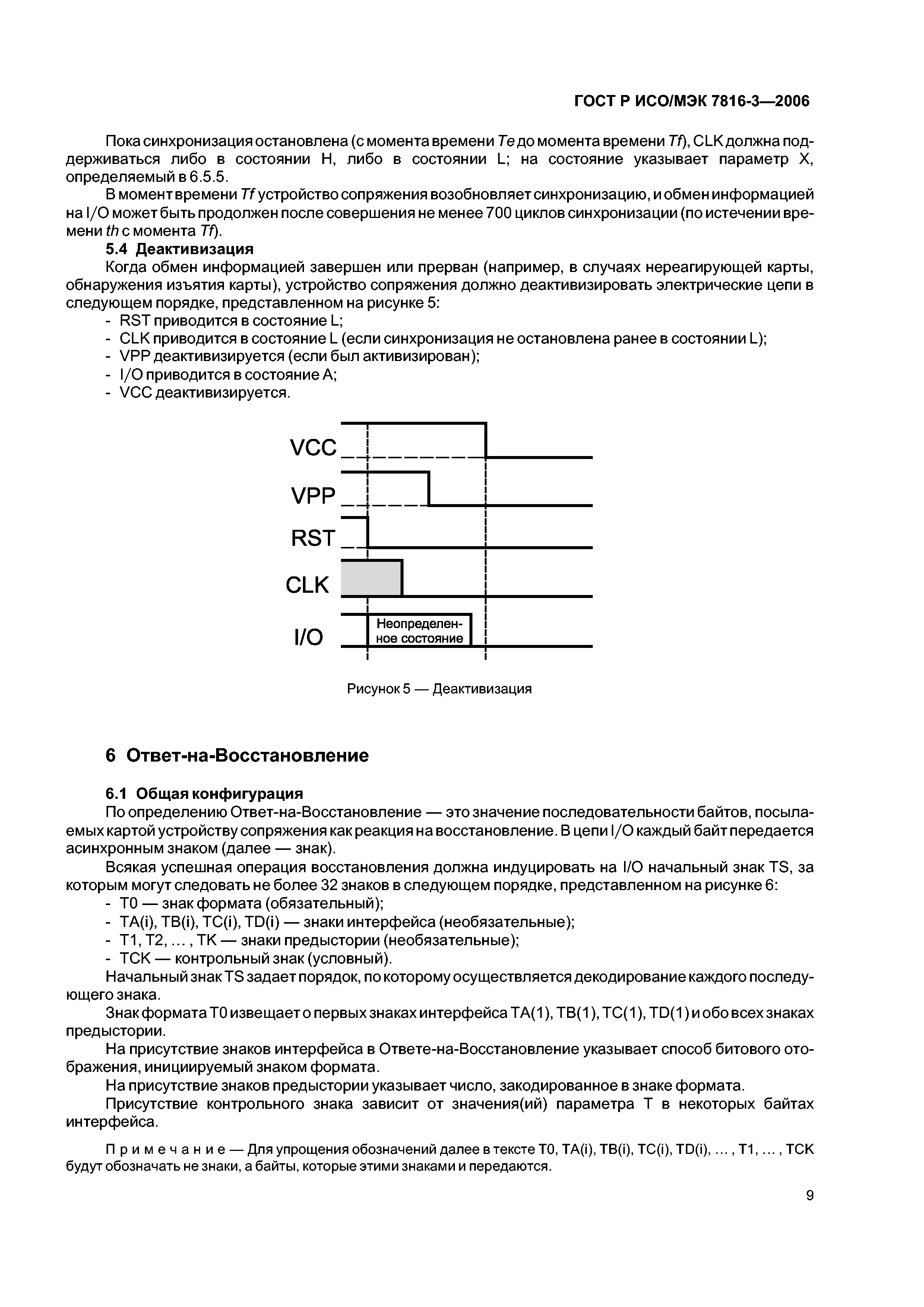
| Название рус.: | Информационная технология. Карты идентификационные. Карты на интегральных схемах с контактами. Часть 3. Электронные сигналы и протоколы передачи |
| Название англ.: | Information technology. Identification cards. Integrated circuit(s) cards with contacts. Part 3. Electronic signals and transmission protocols |
| Дата добавления в базу: | 01.09.2013 |
| Дата актуализации: | 01.01.2021 |
| Дата введения: | 01.01.2008 |
| Дата окончания срока действия: | 01.01.2015 |
| Область применения: | Стандарт устанавливает требования к энергетическим и сигнальным структурам и обмену информацией между картой на интегральной(ых) схеме(ах) с контактами и устройством сопряжения, например терминалом. Стандарт определяет также скорости передачи сигналов, уровни напряжений, значения токов, условие четности, рабочую процедуру, механизмы передачи и взаимодействие с картой. Стандарт не затрагивает содержание данных, таких как идентификация эмитентов и пользователей, услуги, ограничения, средства защиты, описание команд. |
| Оглавление: | 1 Область применения 2 Нормативные ссылки 3 Определения, обозначения и сокращения 4 Электрические характеристики 4.1 Общие положения 4.2 Рабочие условия 4.3 Значения токов и напряжений 5 Рабочая процедура 5.1 Общие положения 5.2 Активизация 5.3 Обмен информацией 5.4 Деактивизация 6 Ответ-на-Восстановление 6.1 Общая конфигурация 6.2 Параметр Т 6.3 Асинхронный знак 6.4 Структура Ответа-на-Восстановление 6.5 Содержание глобальных байтов интерфейса 6.6 Режимы работы 7 Выбор протокола и параметров (PPS) 7.1 Общие положения 7.2 Протокол для выбора протокола и параметров (PPS-протокол) 7.3 Структура и содержание PPS-запроса и PPS-ответа 7.4 Успешный PPS-обмен 8 Протокол Т=0, полудуплексная передача асинхронных знаков 8.1 Область применения 8.2 Уровень знака 8.3 Структура команд и их обработка 9 Протокол Т=1, полудуплексная асинхронная передача блоков 9.1 Область применения и принципы 9.2 Термины, определения и сокращения 9.3 Структура знака 9.4 Структура блока 9.5 Параметры протокола 9.6 Функционирование знакового компонента на уровне звена данных 9.7 Функционирование блокового компонента на уровне звена данных Приложение А (справочное) Варианты протокола Т=1 Приложение В (справочное) Сведения о соответствии национальных стандартов Российской Федерации ссылочным международным стандартам |
| Разработан: | ОАО Московский комитет по науке и технологиям ФГУП ВНИИНМАШ |
| Утверждён: | 27.12.2006 Федеральное агентство по техническому регулированию и метрологии (396-ст) |
| Издан: | Стандартинформ (2007 г. ) |
| Нормативные ссылки: |
|
















































