Скачать ГОСТ Р 51158-2009 Вина игристые и вина игристые жемчужные. Общие технические условия

Дата актуализации: 01.01.2021

ГОСТ Р 51158-2009

Вина игристые и вина игристые жемчужные. Общие технические условия

Обозначение: ГОСТ Р 51158-2009
Обозначение англ: GOST R 51158-2009
Статус:отменен
Название рус.:Вина игристые и вина игристые жемчужные. Общие технические условия
Название англ.:Sparkling wines and sparkling pearl wines. General specification
Дата добавления в базу:01.09.2013
Дата актуализации:01.01.2021
Дата введения:01.07.2010
Дата окончания срока действия:01.01.2017
Область применения:Стандарт распространяется на игристые вина и игристые жемчужные вина. Стандарт содержит требования, обеспечивающие безопасность продукта, в части массовой концентрации общего диоксида серы и давления двуокиси углерода в бутылке; требования к качеству продукта; требования к маркировке.
Оглавление:1 Область применения
2 Нормативные ссылки
3 Термины и определения
4 Классификация
5 Общие технические требования
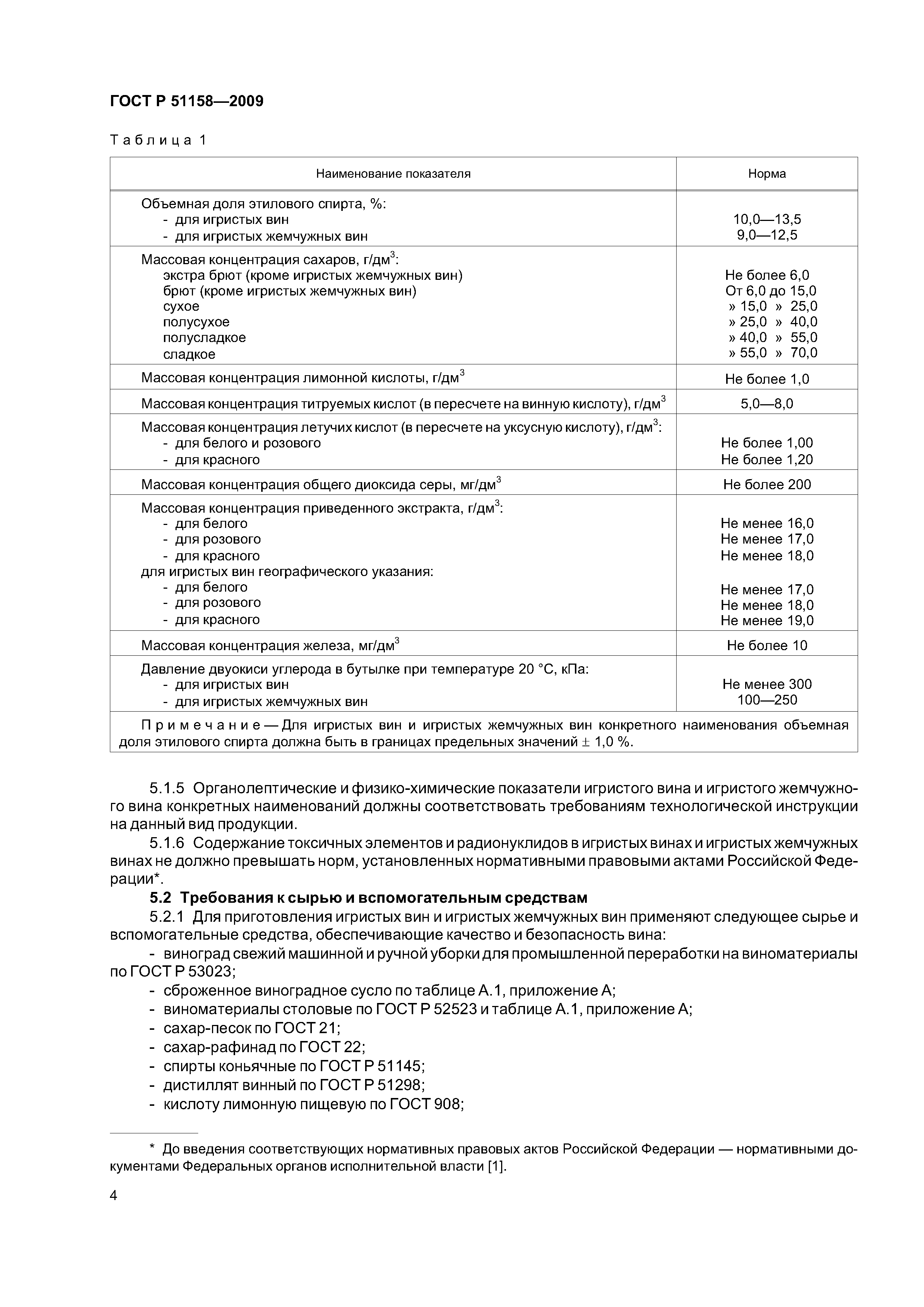
   5.1 Характеристики
   5.2 Требования к сырью и вспомогательным средствам
   5.3 Упаковка
   5.4 Маркировка
6 Правила приемки
7 Методы контроля
8 Транспортирование и хранение
Приложение А (обязательное) Требования к сброженному виноградному суслу и столовым виноматериалам
Библиография
Разработан: ГУ ВНИИ ПБ и ВП
Утверждён:30.09.2009 Федеральное агентство по техническому регулированию и метрологии (427-ст)
Издан: Стандартинформ (2009 г. )
Заменяет собой:
Нормативные ссылки:
ГОСТ Р 51158-2009ГОСТ Р 51158-2009ГОСТ Р 51158-2009ГОСТ Р 51158-2009ГОСТ Р 51158-2009ГОСТ Р 51158-2009ГОСТ Р 51158-2009ГОСТ Р 51158-2009ГОСТ Р 51158-2009ГОСТ Р 51158-2009ГОСТ Р 51158-2009