Скачать ГОСТ Р ИСО 10303-518-2009 Системы автоматизации производства и их интеграция. Представление данных об изделии и обмен этими данными. Часть 518. Прикладные интерпретированные конструкции. Теневое представление механических конструкцийДата актуализации: 01.01.2021
|
| Обозначение: | ГОСТ Р ИСО 10303-518-2009 |
| Обозначение англ: | GOST R ISO 10303-518-2009 |
| Статус: | введен впервые |
| Название рус.: | Системы автоматизации производства и их интеграция. Представление данных об изделии и обмен этими данными. Часть 518. Прикладные интерпретированные конструкции. Теневое представление механических конструкций |
| Название англ.: | Industrial automation systems and integration. Product data representation and exchange. Part 518. Application interpreted construct. Mechanical design shaded presentation |
| Дата добавления в базу: | 01.09.2013 |
| Дата актуализации: | 01.01.2021 |
| Дата введения: | 01.07.2010 |
| Область применения: | Стандарт определяет интерпретацию интегрированных ресурсов, обеспечивающую соответствие требованиям к описанию визуального представления формы с затенениями. Основные атрибуты представления, например цвет, могут быть связаны с точками, кривыми, поверхностями и топологическими конструкциями. Расширенные свойства визуализации, например, отражательная способность и прозрачность поверхности, могут быть применены к кривым и поверхностям. Описание аннотаций не приводится. Требования стандарта распространяются на: - визуальное представление форм механических конструкций; - присвоение атрибутов визуального представления геометрическим и топологическим элементам; - алгоритмы проецирования трехмерных форм на плоскости; - размещение проекций формы в окне; - несколько видов в пределах одного окна; - цвет фона окна; - удаление невидимых линий и поверхностей; - источники света; - цвет точек, кривых и поверхностей; - шрифт точек; - шрифт кривых; - стили кривых, зависящие от назначения кривых в определении поверхности; - цвет поверхностей с затенением и без затенения; - характеристики поверхности, например, прозрачность и отражательная способность; - предопределенные цвета; - предопределенные стили кривых. Требования стандарта не распространяются на: - представление аннотаций, то есть текста и символов; - распределение геометрических элементов по слоям; - множественные окна; - представление изделий. |
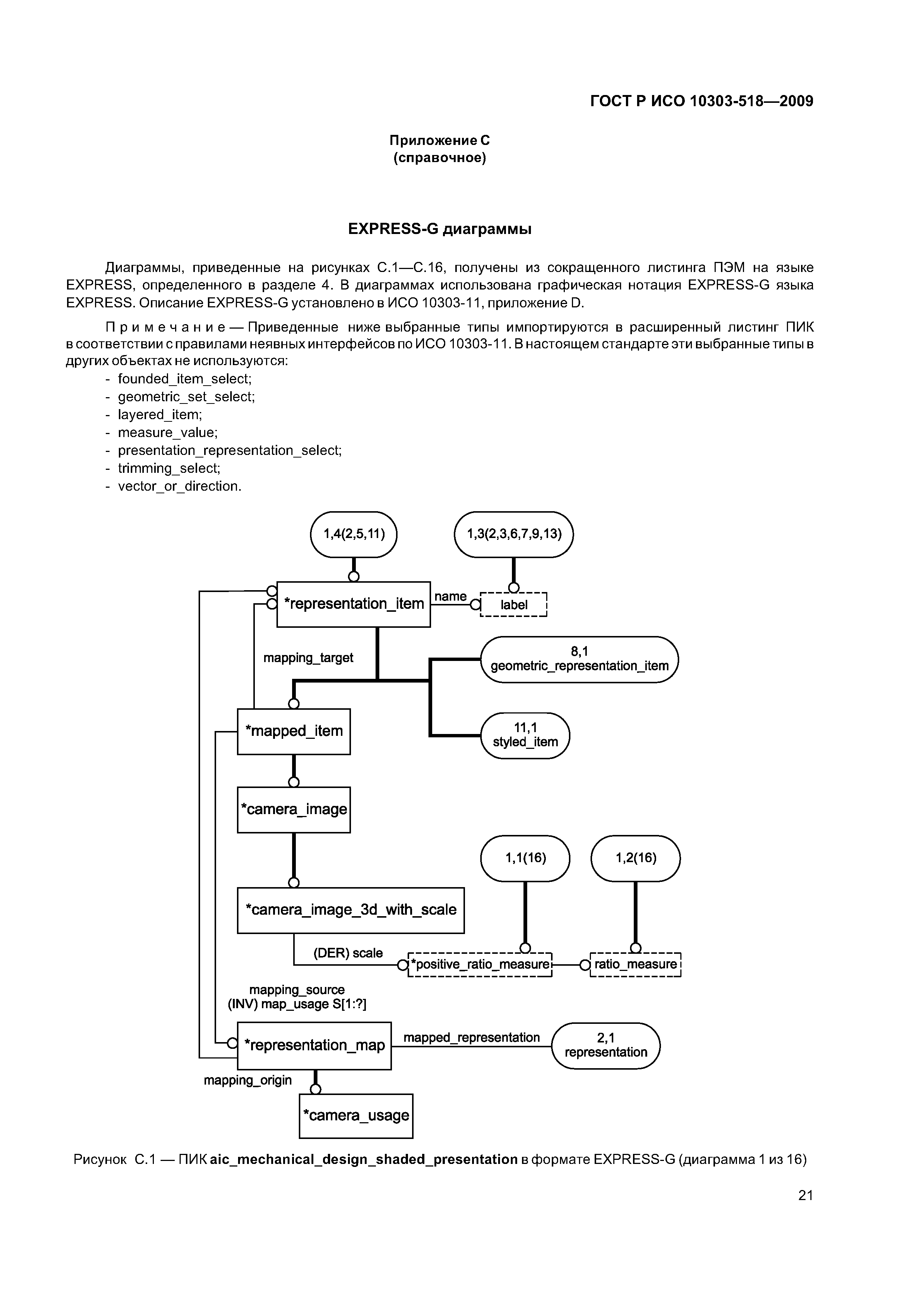
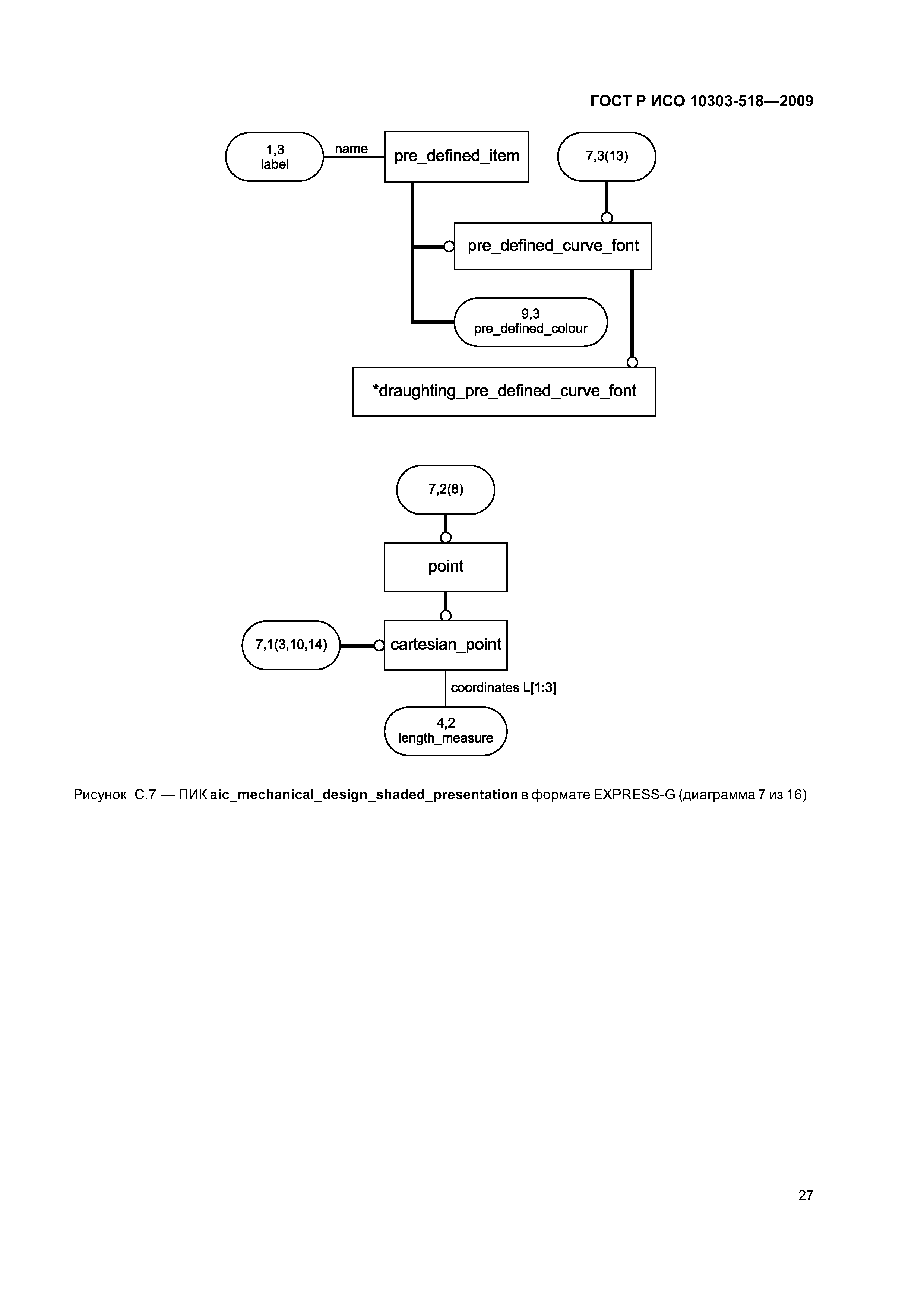
| Оглавление: | 1 Область применения 2 Нормативные ссылки 3 Термины и определения 3.1 Термины, определенные в ИСО 10303-1 3.2 Термины, определенные в ИСО 10303-42 3.3 Термины, определенные в ИСО 10303-46 3.4 Термины, определенные в ИСО 10303-202 4 Сокращенный листинг на языке ЕХРЕSS 4.1 Основные понятия и допущения 4.2 Определения объектов схемы аiс_mechanical_design_shaded_presentation 4.2.1 Объект mechanical_design_shaded_presentation_агеа 4.2.2 Объект Приложение А (обязательное) Сокращенные наименования объектов Приложение В (обязательное) Регистрация информационного объекта Приложение С (справочное) ЕХРЕЕSS-G диаграммы Приложение D (справочное) Машинно-интерпретируемые листинги Приложение ДА (справочное) Сведения о соответствии ссылочных международных стандартов ссылочным национальным стандартам Российской Федерации Библиография |
| Разработан: | ГНУ Центральный научно-исследовательский и опытно-конструкторский институт роботехники и технической кибернетики |
| Утверждён: | 14.09.2009 Федеральное агентство по техническому регулированию и метрологии (368-ст) |
| Издан: | Стандартинформ (2010 г. ) |
| Нормативные ссылки: |
|










































