Скачать ГОСТ Р ИСО 24511-2009 Деятельность, связанная с услугами питьевого водоснабжения и удаления сточных вод. Руководящие указания для менеджмента коммунальных предприятий и оценке услуг удаления сточных водДата актуализации: 01.01.2021
|
| Обозначение: | ГОСТ Р ИСО 24511-2009 |
| Обозначение англ: | GOST R ISO 24511-2009 |
| Статус: | введен впервые |
| Название рус.: | Деятельность, связанная с услугами питьевого водоснабжения и удаления сточных вод. Руководящие указания для менеджмента коммунальных предприятий и оценке услуг удаления сточных вод |
| Название англ.: | Activities relating to drinking water and wastewater services. Guidelines for the management of wastewater utilities and for the assessment of wastewater services |
| Дата добавления в базу: | 01.09.2013 |
| Дата актуализации: | 01.01.2021 |
| Дата введения: | 01.01.2011 |
| Область применения: | Стандарт содержит указания по менеджменту систем удаления сточных вод и по оценке услуг по удалению сточных вод. Стандарт применим к системам удаления сточных вод, находящимся в государственной или частной собственности и под государственным или частным управлением. В нем не отдается предпочтение какой-либо конкретной модели собственности или эксплуатации. В стандарте системы удаления сточных вод рассматриваются как единое целое, и он применим к системам на любом уровне развития (например, к надворным уборным, локальным системам, сетям, очистным сооружениям). Стандартом регламентируются следующие вопросы: - определение языка, являющегося общим для разных заинтересованных сторон; - цели системы удаления сточных вод; - указания по менеджменту системы удаления сточных вод; - критерии оценки услуги и связанные с ними примеры показателей деятельности без определения каких-либо целевых или пороговых значений. В стандарте не рассматриваются следующие вопросы: - методы проектирования и строительства систем удаления сточных вод; - регулирование структуры управления и методология осуществления и менеджмента мероприятий по удалению сточных вод; - регулирование содержания контрактов или субконтрактов; - темы, связанные с системами, расположенными внутри зданий, между точкой сброса и точкой сбора. |
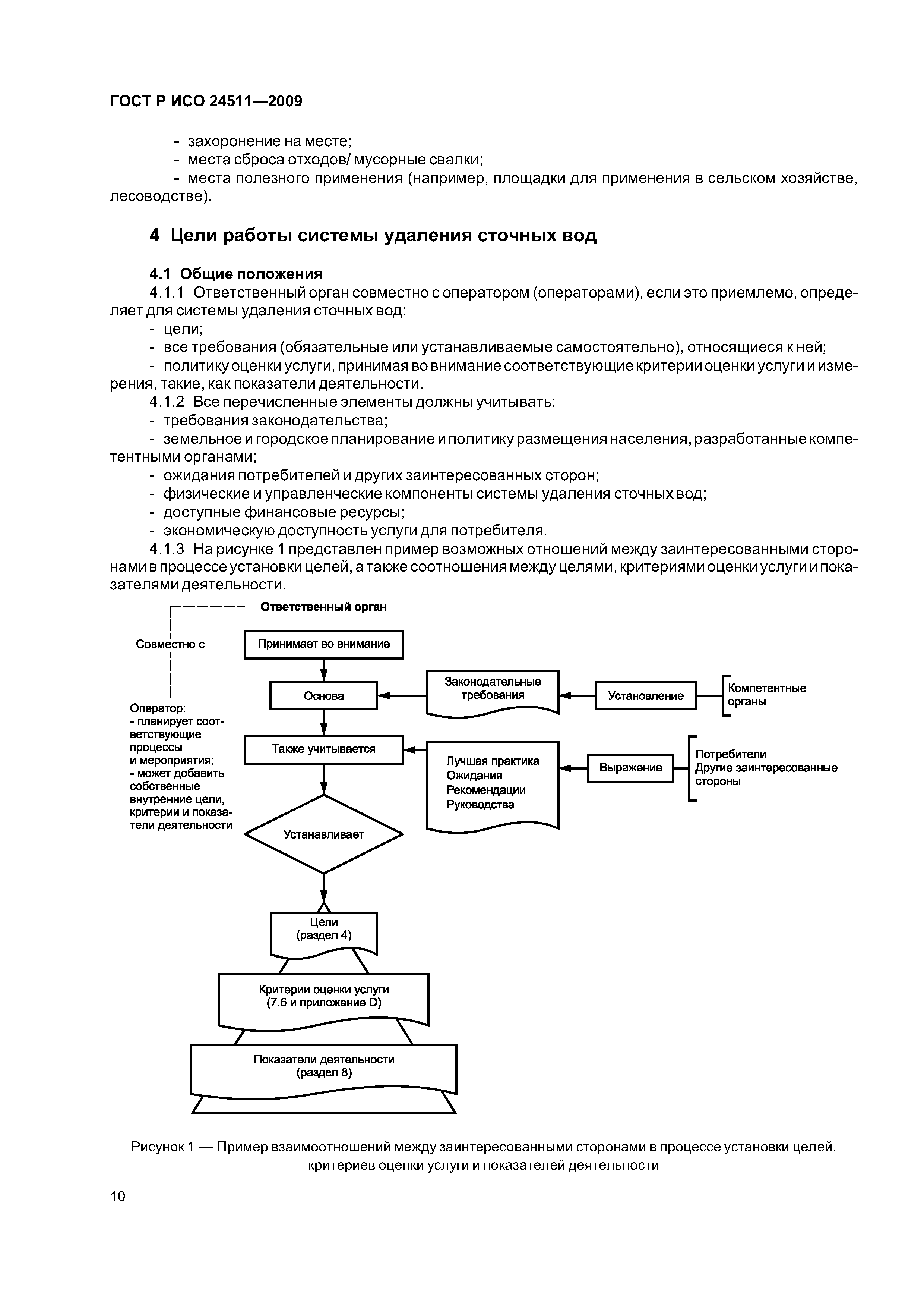
| Оглавление: | 1 Область применения 2 Термины и определения 3 Компоненты систем удаления сточных вод 3.1 Общие положения 3.2 Типы систем удаления сточных вод 3.3 Централизованные/децентрализованные системы 3.4 Локальные системы (системы на местах) 3.5 Утилизация/повторное использование отходов 4 Цели работы системы удаления сточных вод 4.1 Общие положения 4.2 Охрана здоровья человека 4.3 Удовлетворение нужд и ожиданий потребителей 4.4 Предоставление услуг в нормальных условиях и чрезвычайных ситуациях 4.5 Устойчивость системы удаления сточных вод 4.6 Поддержание устойчивого развития местного сообщества 4.7 Защита окружающей среды 5 Компоненты менеджмента системы удаления сточных вод 5.1 Общие положения 5.2 Менеджмент мероприятий и процессов 5.3 Менеджмент ресурсов 5.4 Менеджмент активов 5.5 Менеджмент клиентских отношений 5.6 Менеджмент информации 5.7 Менеджмент по охране окружающей среды 5.8 Менеджмент рисков 6 Руководящие указания по менеджменту систем удаления сточных вод 6.1 Общие положения 6.2 Организация 6.3 Планирование и сооружение 6.4 Эксплуатация и обслуживание 7 Оценка услуг водоснабжения 7.1 Общие положения 7.2 Политика проведения оценки 7.3 Задача и объем оценки 7.4 Стороны, принимающие участие в оценке 7.5 Методология оценки 7.6 Критерии оценки услуги 7.7 Ресурсы для проведения оценки 7.8 Подведение итогов и рекомендации по их использованию 8 Показатели деятельности 8.1 Общие положения 8.2 Системы показателей деятельности 8.3 Качество информации 8.4 Пример показателя деятельности Приложение А (справочное) Таблицы соответствующих терминов на английском, французском и испанском языках Приложение В (справочное) Схематическое изображение систем удаления сточных вод Приложение С (справочное) Возможные действия по достижению целей системы удаления сточных вод Приложение D (справочное) Возможные действия, связанные с менеджментом системы удаления сточных вод Приложение Е (справочное) Примеры критериев оценки услуги, связанных с целями системы удаления сточных вод, показателей деятельности, связанных с критериями оценки, и критериев оценки услуги, связанных с компонентами системы удаления сточных вод Приложение F (справочное) Пример схемы определения степени достоверности для систем показателей деятельности Приложение ДА (справочное) Сведения о соответствии ссылочных международных стандартов ссылочным национальным стандартам Российской Федерации Библиография |
| Разработан: | ФГУ УРАЛТЕСТ |
| Утверждён: | 15.12.2009 Федеральное агентство по техническому регулированию и метрологии (950-ст) |
| Издан: | Стандартинформ (2011 г. ) |
| Нормативные ссылки: |
|
















































