Скачать ГОСТ Р 53879-2010 Лампы со встроенными пускорегулирующими аппаратами для общего освещения. Эксплуатационные требованияДата актуализации: 01.01.2021
|
| Обозначение: | ГОСТ Р 53879-2010 |
| Обозначение англ: | GOST R 53879-2010 |
| Статус: | введен впервые |
| Название рус.: | Лампы со встроенными пускорегулирующими аппаратами для общего освещения. Эксплуатационные требования |
| Название англ.: | Self-ballasted lamps for general lighting services. Performance requirements |
| Дата добавления в базу: | 01.09.2013 |
| Дата актуализации: | 01.01.2021 |
| Дата введения: | 01.07.2011 |
| Область применения: | Стандарт распространяется на трубчатые люминесцентные лампы со встроенным пускорегулирующим аппаратом и другие разрядные лампы с встроенными средствами для контроля зажигания и стабильной работы, предназначенные для бытового и аналогичного общего освещения, и устанавливает эксплуатационные требования, методы и условия испытаний. Стандарт применим к лампам со встроенным пускорегулирующим аппаратом всех напряжений и мощностей независимо от типа цоколя. |
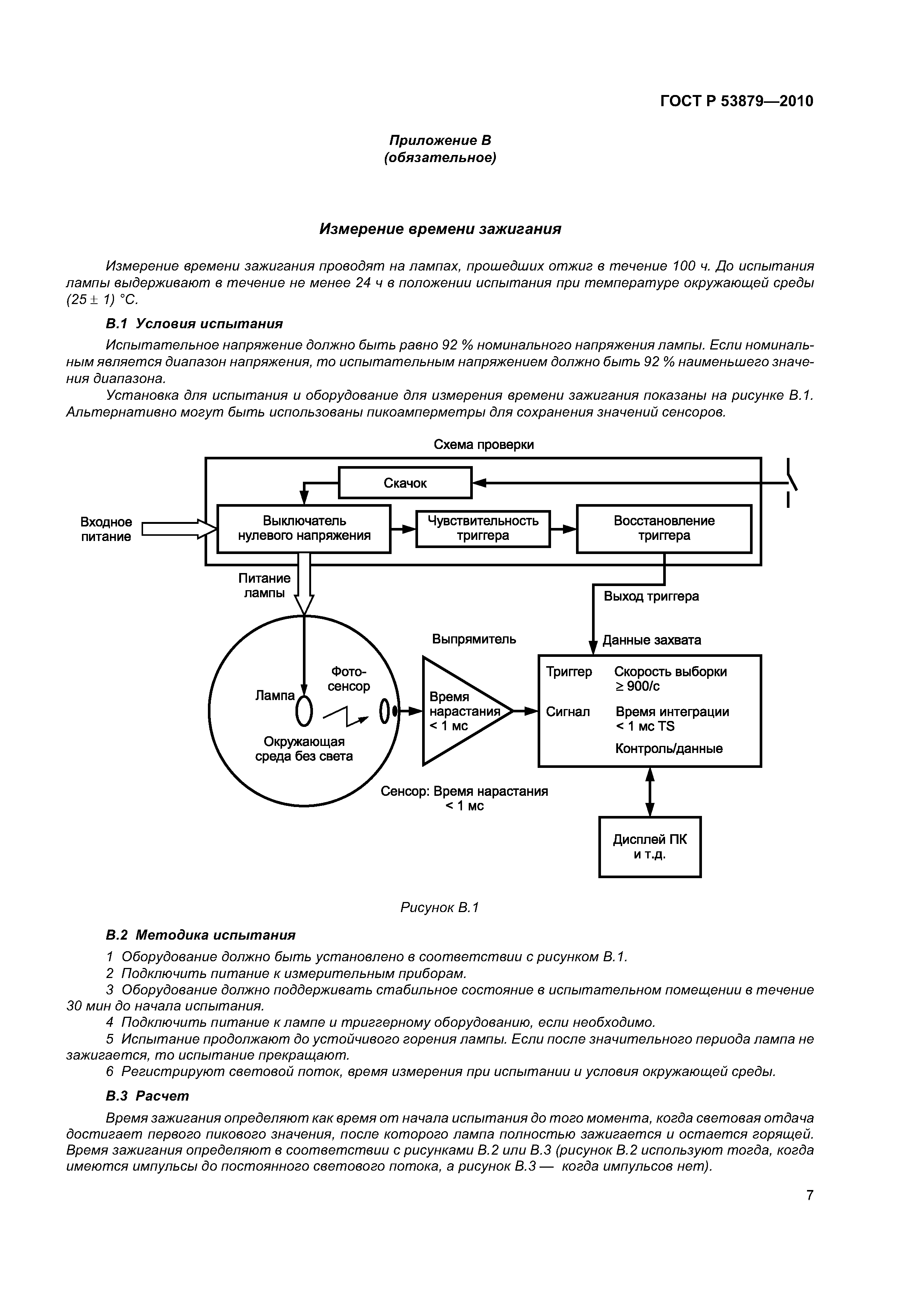
| Оглавление: | 1 Общие положения 1.1 Область применения 1.2 Нормативные ссылки 1.3 Термины и определения 2 Требования к лампам 2.1 Размеры 2.2 Методы измерения параметров ламп 2.3 Время зажигания 2.4 Время разгорания 2.5 Время зажигания при низкой температуре 2.6 Мощность лампы 2.7 Начальный световой поток и начальная световая отдача 2.8 Стабильность светового потока 2.9 Цветность 2.10 Индекс цветопередачи 2.11 Продолжительность горения 2.12 Стойкость к переключениям 2.13 Гармоники и электромагнитная совместимость 3 Приемка Приложение А (обязательное) Методы измерения параметров ламп Приложение В (обязательное) Измерение времени зажигания Приложение С (обязательное) Измерение времени разгорания Приложение D (обязательное) Измерение времени зажигания при низкой температуре Приложение Е (обязательное) Методы измерения начального светового потока, световой отдачи и стабильности светового потока Приложение F (обязательное) Испытание ламп на продолжительность горения Приложение ДА (справочное) Сведения о соответствии ссылочных национальных и межгосударственных стандартов международным стандартам, использованным в качестве ссылочных в примененном международном стандарте |
| Разработан: | ГУП Республики Мордовия НИИИС им. А.Н. Лодыгина |
| Утверждён: | 22.09.2010 Федеральное агентство по техническому регулированию и метрологии (260-ст) |
| Издан: | Стандартинформ (2011 г. ) |
| Нормативные ссылки: |
|



















