Скачать ГОСТ Р 53942-2010 Машины и оборудование для пищевой промышленности. Клипсаторы. Требования по безопасности и гигиене

Дата актуализации: 01.01.2021

ГОСТ Р 53942-2010

Машины и оборудование для пищевой промышленности. Клипсаторы. Требования по безопасности и гигиене

Обозначение: ГОСТ Р 53942-2010
Обозначение англ: GOST R 53942-2010
Статус:введен впервые
Название рус.:Машины и оборудование для пищевой промышленности. Клипсаторы. Требования по безопасности и гигиене
Название англ.:Food processing machinery. Clipping machines. Safety and hygiene requirements
Дата добавления в базу:01.09.2013
Дата актуализации:01.01.2021
Дата введения:01.01.2012
Область применения:Стандарт определяет требования по безопасности и гигиене для минимизации опасностей при вводе в эксплуатацию, использовании и обслуживании клипсаторов. Клипсаторы применяют на предприятиях мясной, птицеперерабатывающей, молочной и других отраслей пищевой промышленности для пережима заполненных пищевым продуктом рукавных оболочек, скрепления концов оболочек сформированных батонов клипсами (скрепляющими элементами) и разрезания оболочек. Стандарт не применяют к клипсаторам, которые выпущены ранее даты опубликования настоящего стандарта. Настоящий стандарт применяют совместно с ГОСТ 12.2.135, ГОСТ 28693 и ГОСТ 30146.
Оглавление:1 Область применения
2 Нормативные ссылки
3 Термины и определения
4 Устройство и принцип действия
   4.1 Типы клипсаторов
   4.2 Принцип действия
5 Перечень существенных опасностей
   5.1 Общие
   5.2 Механические опасности
   5.3 Электрические опасности
   5.4 Пневматические опасности
   5.5 Опасности, обусловленные потерей устойчивости
   5.6 Опасности, связанные с повышенным уровнем шума
   5.7 Опасности, обусловленные несоблюдением эргономических требований
   5.8 Опасности, обусловленные несоблюдением гигиенических требований
6 Требования по безопасности и гигиене
   6.1 Общие
   6.2 Требования по обеспечению механической безопасности .
   6.3 Требования по обеспечению электрической безопасности .
   6.4 Требования по обеспечению пневматической безопасности
   6.5 Требования по обеспечению устойчивости
   6.6 Санитарно-гигиенические требования
   6.7 Требования к эргономическим характеристикам
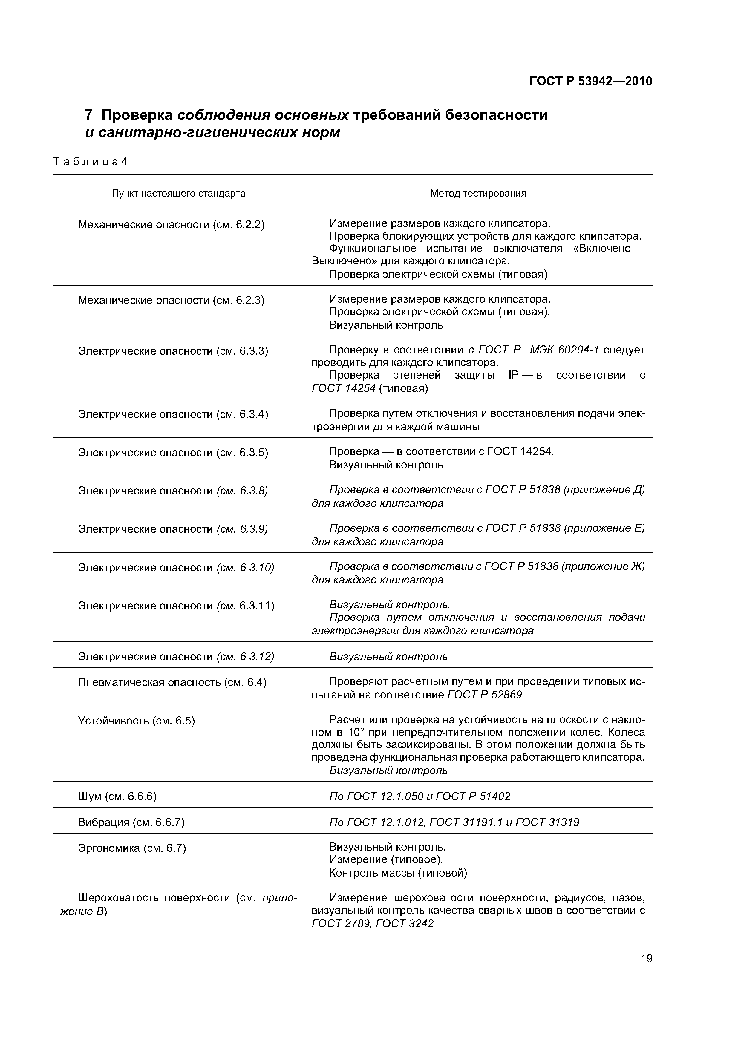
7 Проверка соблюдения основных требований безопасности и санитарно-гигиенических норм . . .
8 Информация для потребителя
9 Подготовка операторов
10 Требования к маркировке
Приложение А (обязательное) Общие риски для машин пищевой промышленности и требования по их снижению, применяемые для клипсаторов
Приложение В (обязательное) Принципы конструирования для обеспечения возможности чистки клипсаторов
Приложение ДА (справочное) Система правил анализа шума клипсаторов. Второй класс точности .
Приложение ДБ (справочное) Условия настоящего европейского стандарта, содержащие необходимые требования или другие условия Директив ЕС
Приложение ДВ (справочное) Сведения о соответствии ссылочных национальных и межгосударственных стандартов международным стандартам, использованным в качестве ссылочных в примененном европейском региональном стандарте
Приложение ДГ (справочное) Сопоставление структуры настоящего стандарта со структурой примененного в нем европейского регионального стандарта ......
Библиография
Разработан: ЗАО Корпорация Роспродмаш
АНО ПТЦ Пищепром
Утверждён:12.11.2010 Федеральное агентство по техническому регулированию и метрологии (476-ст)
Издан: Стандартинформ (2011 г. )
Нормативные ссылки:
ГОСТ Р 53942-2010ГОСТ Р 53942-2010ГОСТ Р 53942-2010ГОСТ Р 53942-2010ГОСТ Р 53942-2010ГОСТ Р 53942-2010ГОСТ Р 53942-2010ГОСТ Р 53942-2010ГОСТ Р 53942-2010ГОСТ Р 53942-2010ГОСТ Р 53942-2010ГОСТ Р 53942-2010ГОСТ Р 53942-2010ГОСТ Р 53942-2010ГОСТ Р 53942-2010ГОСТ Р 53942-2010ГОСТ Р 53942-2010ГОСТ Р 53942-2010ГОСТ Р 53942-2010ГОСТ Р 53942-2010ГОСТ Р 53942-2010ГОСТ Р 53942-2010ГОСТ Р 53942-2010ГОСТ Р 53942-2010ГОСТ Р 53942-2010ГОСТ Р 53942-2010ГОСТ Р 53942-2010ГОСТ Р 53942-2010ГОСТ Р 53942-2010ГОСТ Р 53942-2010ГОСТ Р 53942-2010ГОСТ Р 53942-2010ГОСТ Р 53942-2010ГОСТ Р 53942-2010ГОСТ Р 53942-2010ГОСТ Р 53942-2010