Скачать Рекомендации по проектированию, изготовлению и применению сталежелезобетонных ферм в сельскохозяйственном строительстве

Дата актуализации: 01.01.2021

Рекомендации по проектированию, изготовлению и применению сталежелезобетонных ферм в сельскохозяйственном строительстве

Статус:не действует
Название рус.:Рекомендации по проектированию, изготовлению и применению сталежелезобетонных ферм в сельскохозяйственном строительстве
Дата добавления в базу:01.09.2013
Дата актуализации:01.01.2021
Область применения:Рекомендации распространяются на проектирование, изготовление, монтаж и эксплуатацию сталежелезобетонных ферм, применяемых в покрытиях одноэтажных сельскохозяйственных производственных, складских и подсобно-производственных зданий. Предназначаются для инженерно-технических работников проектных институтов, конструкторских бюро, предприятий-изготовителей конструкций (заводов железобетонных изделий и сельских строительных комбинатов), а также строительно-монтажных организаций.
Оглавление:1. Общие положения
2. Материалы
3. Основные положения по проектированию
4. Расчет ферм
5. Защита от коррозии
6. Указания по изготовлению и монтажу
7. Правила приемки, транспортирования и хранения конструкций
8. Испытания ферм
9. Основные положения по расчету экономической эффективности
Приложение 1. Примеры геометрических схем сталежелезобетонных ферм и вариантов компоновки поперечника сельскохозяйственных зданий
Приложение 2. Технические решения узлов сталежелезобетонных ферм для покрытий сельскохозяйственных зданий
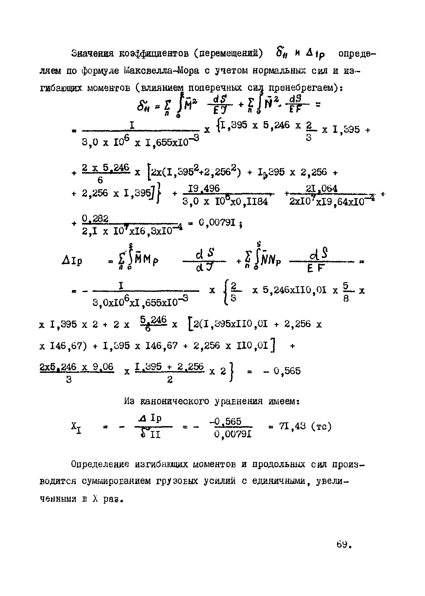
Приложение 3. Пример расчета сталежелезобетонной фермы методом сил
Приложение 4. Пример расчете сталежелезобетонной фермы методом последовательных приближений с учетом деформированной схемы
Приложение 5. Методики определения основных технико-экономических показателей
Приложение 6. Пример расчета основных технико-экономических показателей
Приложение 7. Перечень нормативных и инструктивных документов, на которые даны ссылки в Рекомендациях
Разработан: НИИЭС
ЦНИИСК им. В.А. Кучеренко
НИИЖБ
Мосгипрониисельстрой Мособлагропрома
ЦНИИЭПсельстрой
ГипроНИсельхоз (Институт Гипронисельхоз )
ПТБ Главмособлстройматериалы
Утверждён: МосгипроНИИсельстрой (MosgiproNIIselstroy )
Нормативные ссылки: