Скачать Рекомендации по проектированию висячих конструкцийДата актуализации: 01.01.2021 |
| Статус: | действует |
| Название рус.: | Рекомендации по проектированию висячих конструкций |
| Дата добавления в базу: | 01.09.2013 |
| Дата актуализации: | 01.01.2021 |
| Область применения: | Рекомендации распространяются на проектирование зданий и сооружений с висячими покрытиями. Кроме того, указания настоящих Рекомендаций могут быть распространены на случаи реконструкции и усиления существующих покрытий и строительство временных сооружений, а также инвентарных подмостей для сооружения сборных железобетонных оболочек. |
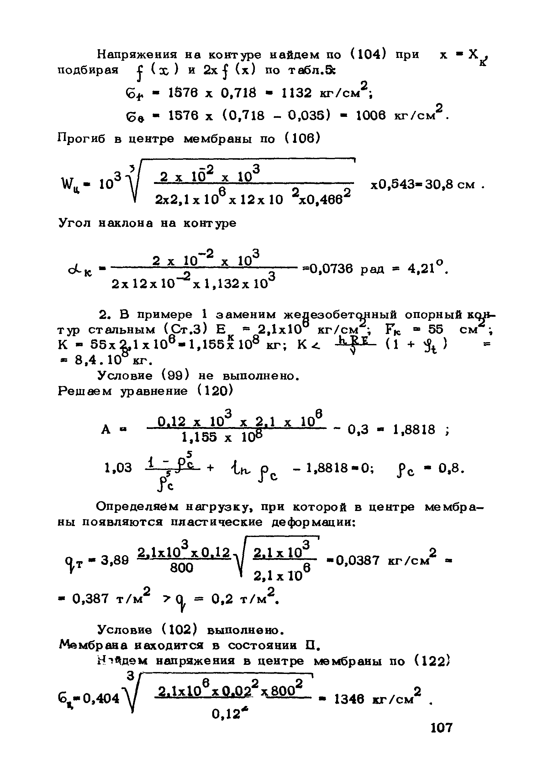
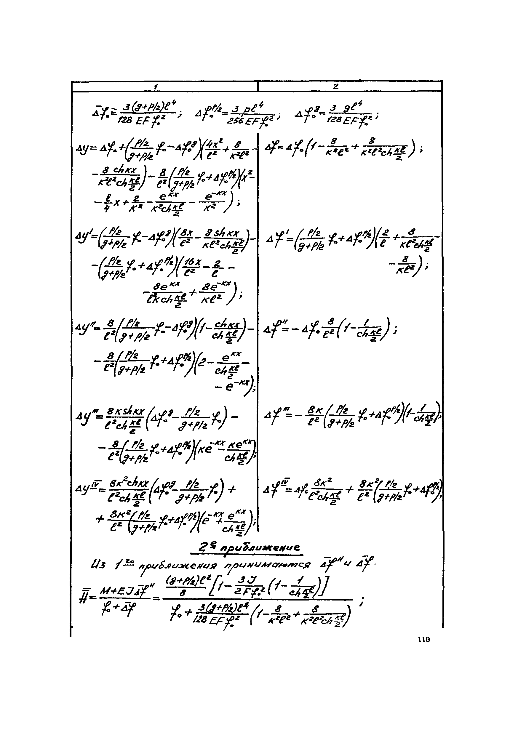
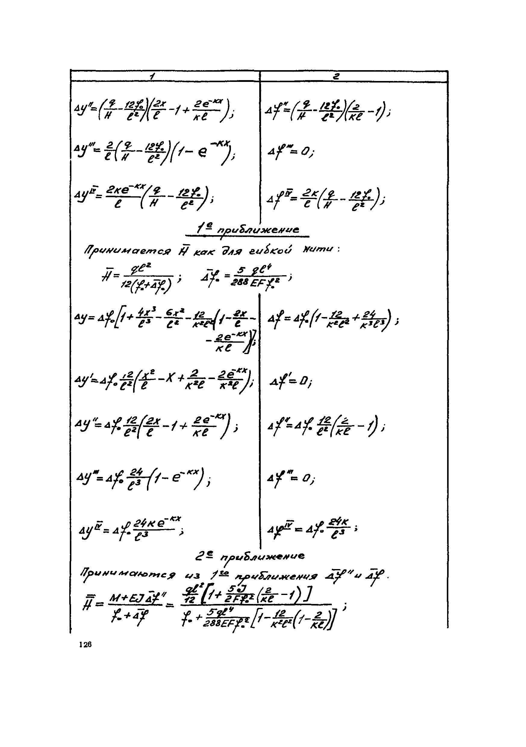
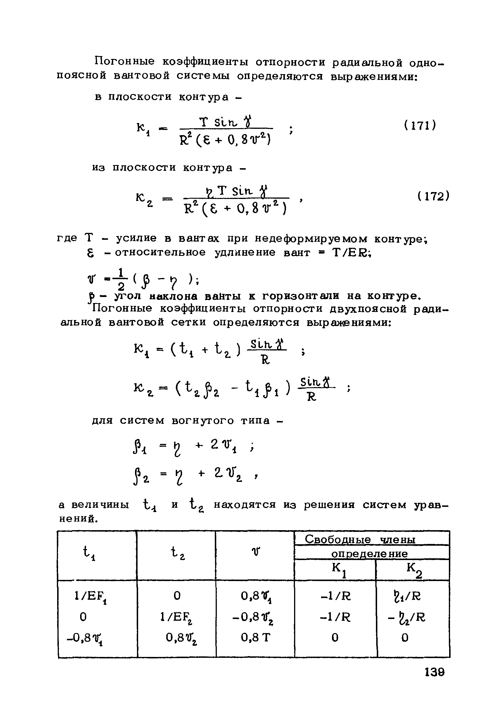
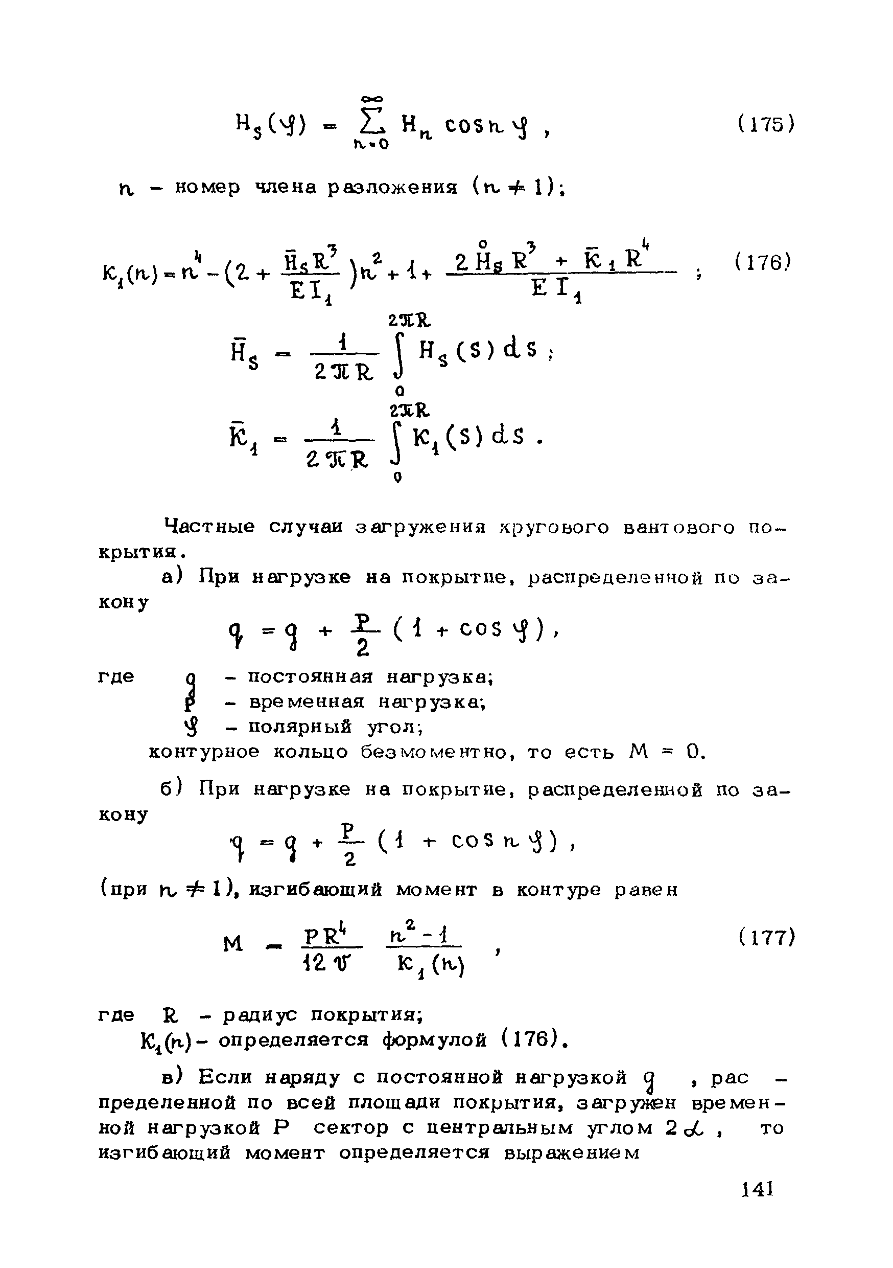
| Оглавление: | Предисловие 1. Общие указания 2. Материалы для висячих покрытий 3. Рекомендации по конструированию элементов и узлов висячих покрытий 4. Особенности возведения и изготовления элементов висячих покрытий 5. Основные расчетные положения 6. Расчет висячих покрытий а) Гибкая нить б) Расчет систем в) Расчет первоначально плоских круглых мембран на равномерную нагрузку г) Нити с изгибной жесткостью д) Опорные конструкции висячих покрытий Приложение 1. Формулы для определения характеристики D Приложение 2. Анкеровка вант с помощью гильзоклиновых анкеров Приложение 3. Анкеровка вант с заливкой во втулки Приложение 4. Данные по конструкции втулок Приложение 5. Расчет сжатой распорки в радиальном вантовом покрытии на устойчивость |
| Разработан: | ЦНИИСК им. В.А. Кучеренко ВНИИмонтажспецстрой НИИЖБ ЦНИИПСК им. Мельникова ЭКБ ЦНИИСК ХИСИ |
| Утверждён: | ЦНИИСК им. В.А. Кучеренко Госстроя СССР |
| Издан: | ЦНИИСК им. В.А. Кучеренко (1974 г. ) |
| Нормативные ссылки: |
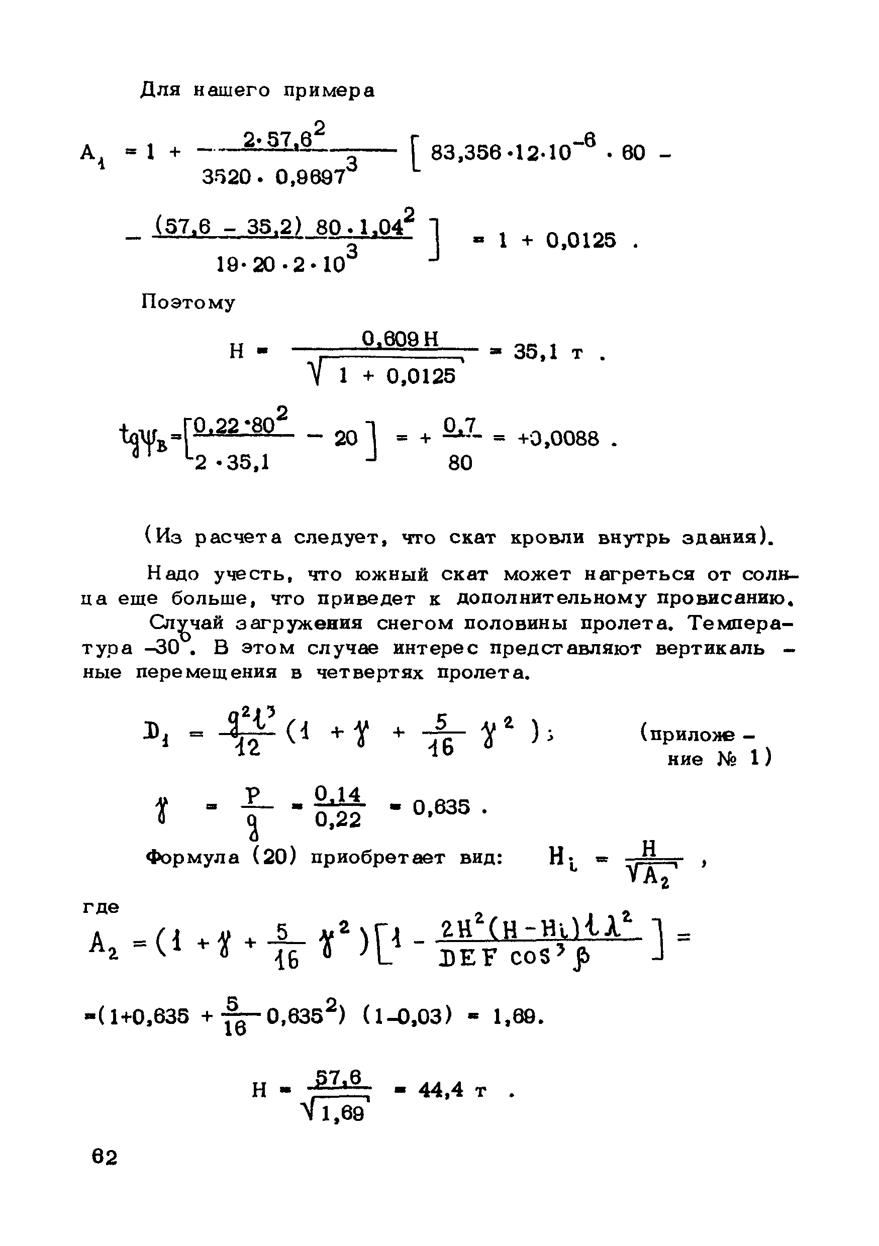
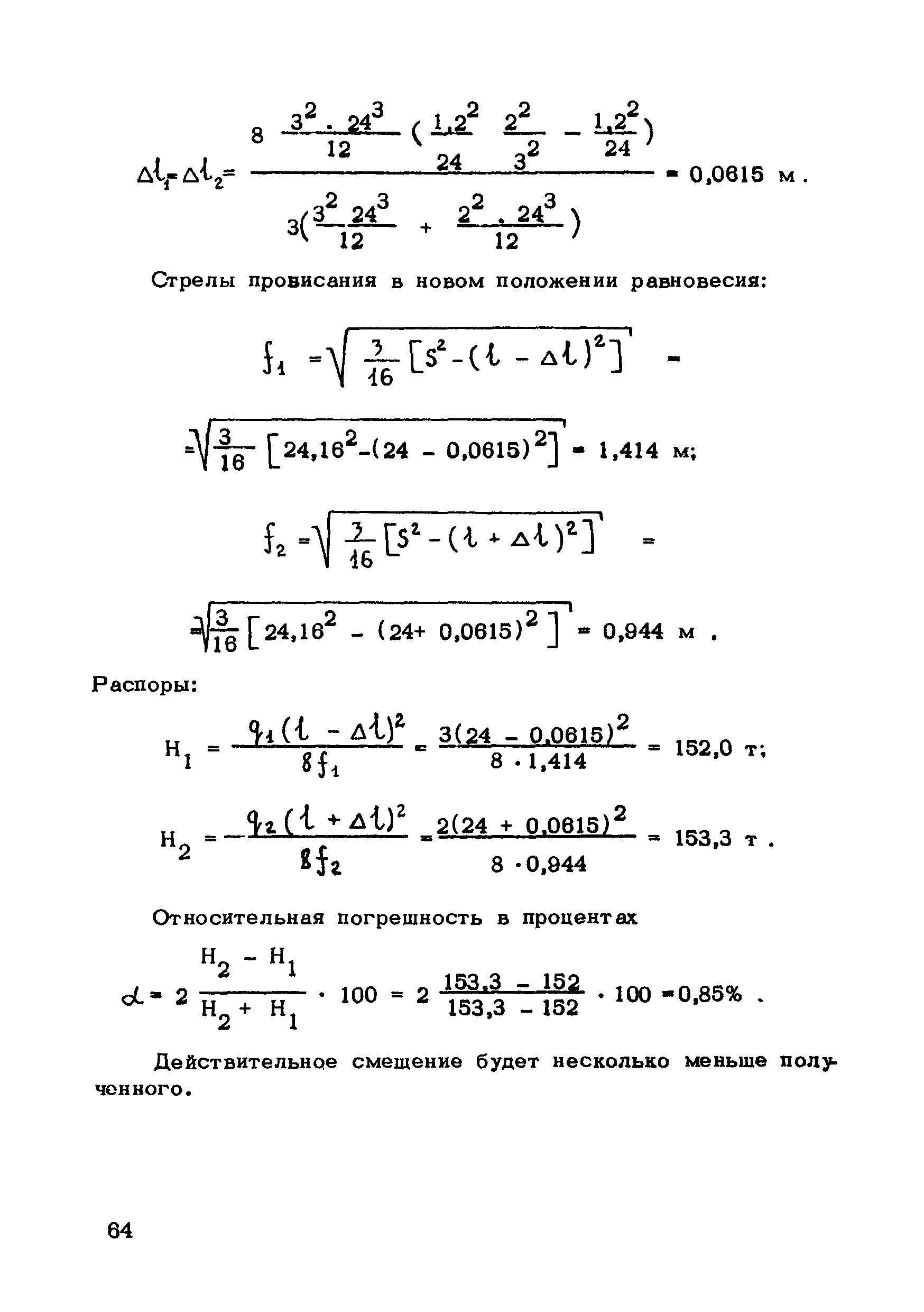
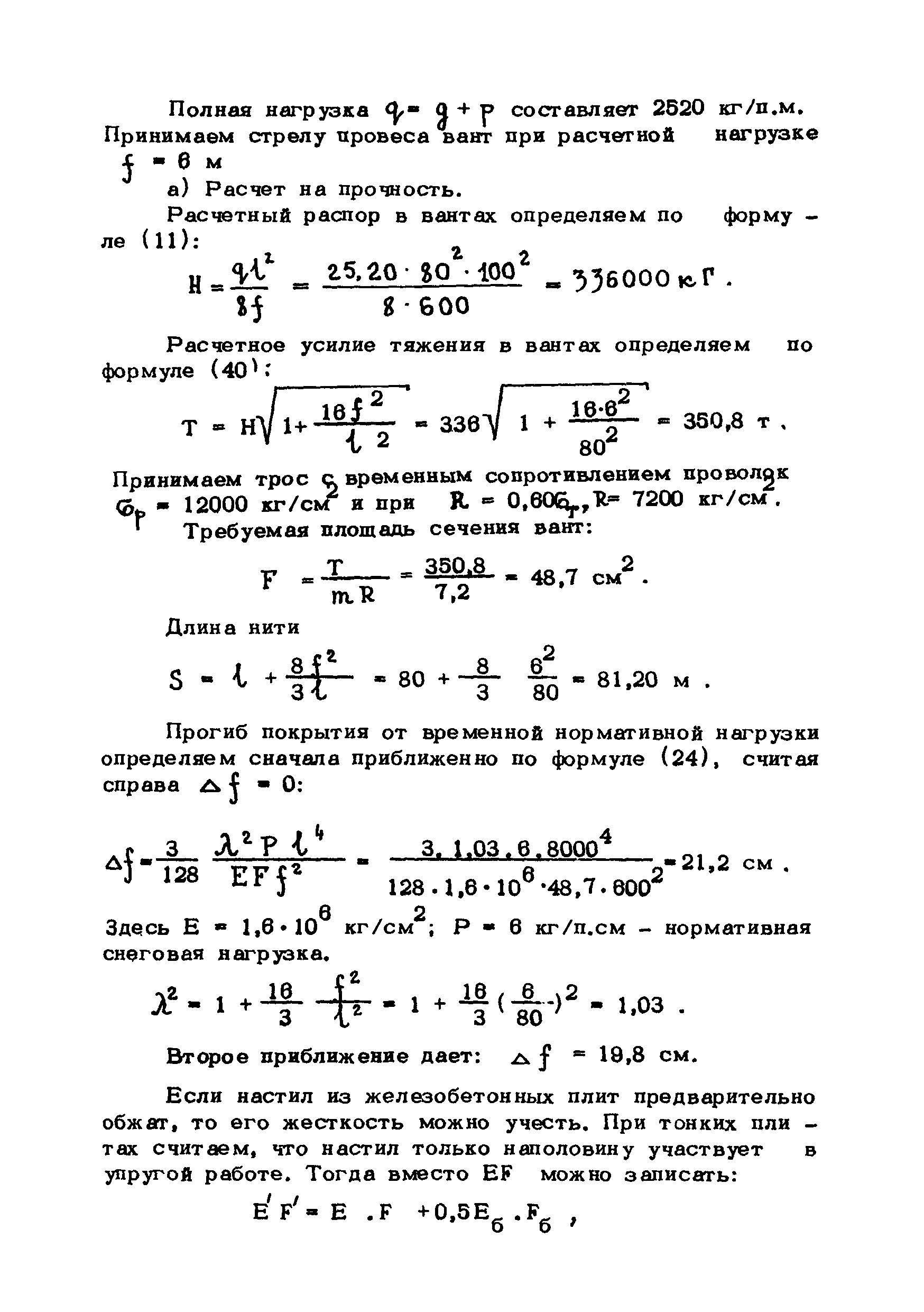
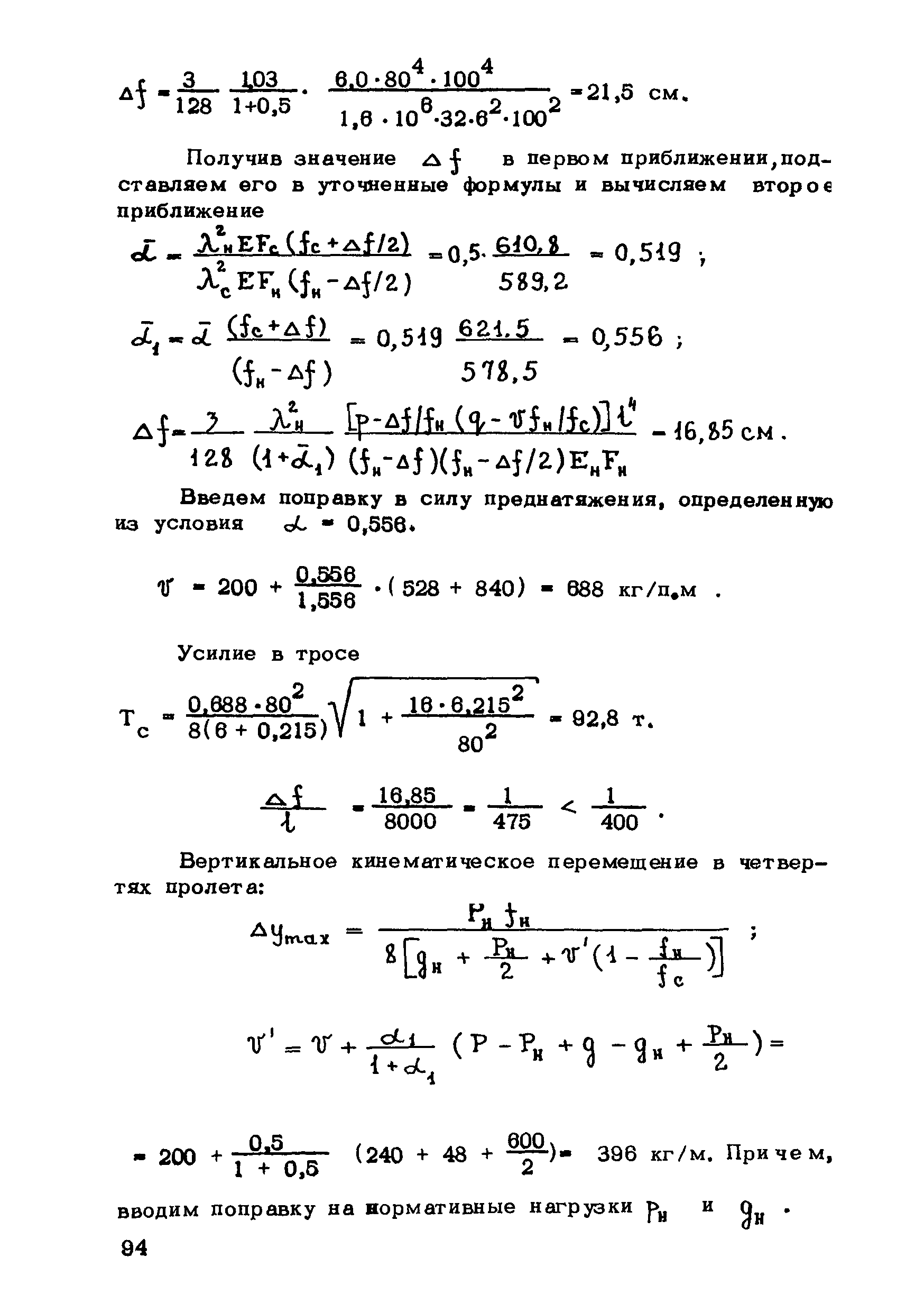
|
















































































































































































