Скачать ГОСТ Р МЭК 61511-3-2011 Безопасность функциональная. Системы безопасности приборные для промышленных процессов. Часть 3. Руководство по определению требуемых уровней полноты безопасностиДата актуализации: 01.01.2021
|
| Обозначение: | ГОСТ Р МЭК 61511-3-2011 |
| Обозначение англ: | GOST R IEC 61511-3-2011 |
| Статус: | заменен |
| Название рус.: | Безопасность функциональная. Системы безопасности приборные для промышленных процессов. Часть 3. Руководство по определению требуемых уровней полноты безопасности |
| Название англ.: | Functional safety. Safety instrumented systems for the process industry sector. Part 3. Guidelines for the determination of the required safety integrity levels |
| Дата добавления в базу: | 01.09.2013 |
| Дата актуализации: | 01.01.2021 |
| Дата введения: | 01.08.2012 |
| Дата окончания срока действия: | 01.07.2019 |
| Область применения: | Стандарт содержит: - основные положения концепции риска и описание отношения между риском и полнотой безопасности; - определение допустимого риска; - описание различных методов, позволяющих определить уровень полноты безопасности для функций безопасности приборных систем безопасности. |
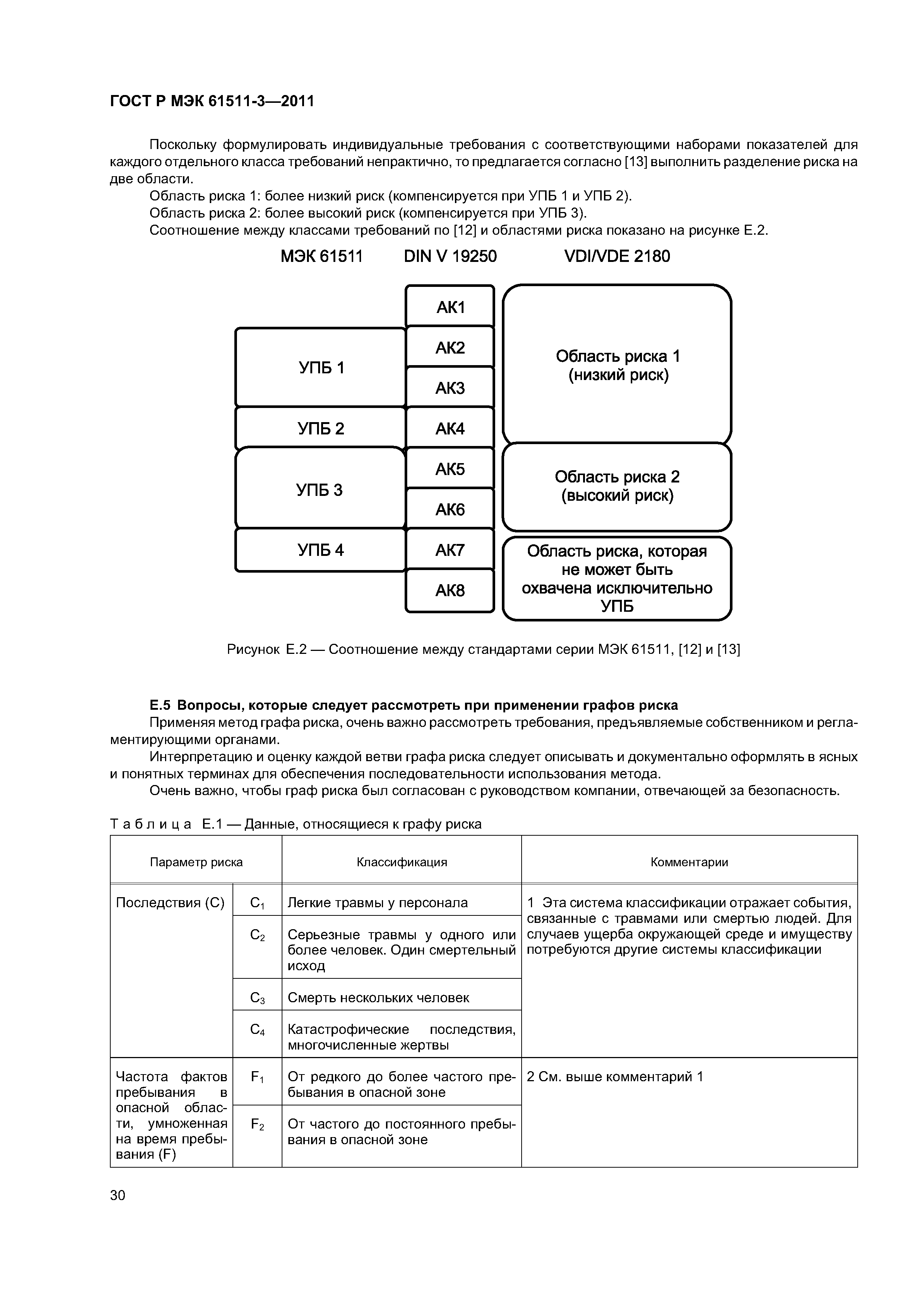
| Оглавление: | 1 Область применения 2 Термины, определения и сокращения 3 Риск и полнота безопасности. Общие требования 3.1 Общие сведения 3.2 Необходимая степень снижения риска 3.3 Роль приборных систем безопасности 3.4 Полнота безопасности 3.5 Риски полнота безопасности 3.6 Распределение требований к безопасности 3.7 Уровни полноты безопасности 3.8 Выбор метода для определения требуемого уровня полноты безопасности Приложение А (справочное) Принцип снижения риска настолько, насколько это практически целесообразно (принцип ALARP), и концепция приемлемого риска Приложение В (справочное) Полуколичественный метод Приложение С (справочное) Метод матрицы слоев безопасности Приложение D (справочное) Определение требуемых уровней полноты безопасности. Полукачественный метод. Калиброванный граф риска Приложение Е (справочное) Определение требуемых уровней полноты безопасности. Качественный метод. Граф риска Приложение F (справочное) Анализ слоев защиты Приложение ДА (справочное) Сведения о соответствии ссылочных международных стандартов ссылочным национальным стандартам Российской Федерации Библиография |
| Разработан: | ООО Корпоративные электронные системы |
| Утверждён: | 18.10.2011 Федеральное агентство по техническому регулированию и метрологии (470-ст) |
| Издан: | Стандартинформ (2012 г. ) |
| Нормативные ссылки: |
|












































