Скачать СТО НОСТРОЙ 2.33.14-2011 Организация строительного производства. Общие положенияДата актуализации: 01.01.2021
|
| Обозначение: | СТО НОСТРОЙ 2.33.14-2011 |
| Обозначение англ: | 2.33.14-2011 |
| Статус: | введен впервые |
| Название рус.: | Организация строительного производства. Общие положения |
| Название англ.: | Construction management. General principles |
| Дата добавления в базу: | 01.09.2013 |
| Дата актуализации: | 01.01.2021 |
| Область применения: | Стандарт устанавливает общие положения комплекса стандартов по организации строительного производства и распространяется на строительство новых, реконструкцию и снос (демонтаж) существующих зданий и сооружений производственного и непроизводственного назначения. Положения настоящего стандарта могут быть распространены на капитальный ремонт эксплуатируемых объектов капитального строительства, их консервацию (расконсервацию) и ликвидацию. Стандарт не распространяется на строительство линейных сооружений, линий электропередачи, связи, трубопроводов и других объектов технической инфраструктуры, а также в полосе отчуждения (отвода) железных, автомобильных дорог и других транспортных путей. |
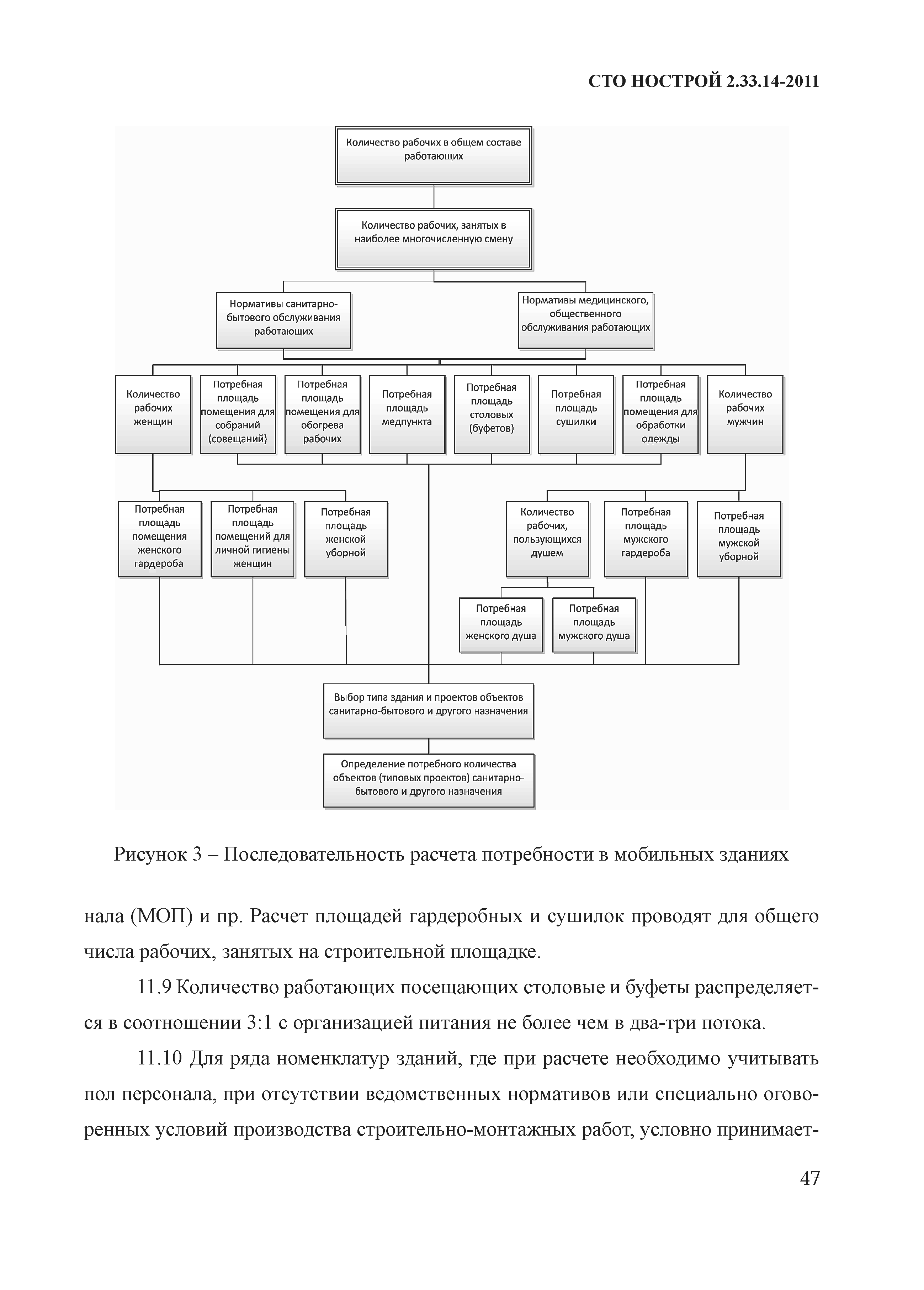
| Оглавление: | Введение 1 Область применения 2 Нормативные ссылки 3 Термины и определения 4 Структура организации строительного производства 5 Планирование строительного производства 6 Методы организации строительства 7 Проектирование организации строительства и производства работ 8 Подготовка строительного производства 9 Организация труда 10 Оперативно-диспетчерское управление 11 Организация производственного быта 12 Организация материально-технического обеспечения 13 Механизация работ и организация работы транспорта Приложение А (рекомендуемое) Взаимосвязь структуры потоков с пространственными параметрами объектов Приложение Б (рекомендуемое) Показатели оценки вариантов механизации Приложение В (рекомендуемое) Примерный перечень сложных объектов и крупных промышленных комплексов, рекомендуемых к возведению узловым методом Библиография |
| Разработан: | ООО ЦНИИОМТП (Центр научных исследований организации, механизации, технологии строительного производства) |
| Утверждён: | 05.12.2011 Совет Национального объединения строителей (22) |
| Издан: | Национальное объединение строителей (2012 г. ) |
| Нормативные ссылки: |
|







































































