Скачать ГОСТ Р ИСО/ТС 10303-1055-2012 Системы автоматизации производства и их интеграция. Представление данных об изделии и обмен этими данными. Часть 1055. Прикладной модуль. Взаимосвязь определений деталейДата актуализации: 01.01.2021
|
| Обозначение: | ГОСТ Р ИСО/ТС 10303-1055-2012 |
| Обозначение англ: | GOST R ISO/TS 10303-1055-2012 |
| Статус: | введен впервые |
| Название рус.: | Системы автоматизации производства и их интеграция. Представление данных об изделии и обмен этими данными. Часть 1055. Прикладной модуль. Взаимосвязь определений деталей |
| Название англ.: | Industrial automation systems and integration. Product data representation and exchange. Part 1055. Application module. Part definition relationship |
| Дата добавления в базу: | 01.10.2014 |
| Дата актуализации: | 01.01.2021 |
| Дата введения: | 01.09.2013 |
| Область применения: | Стандарт определяет прикладной модуль «Связь между определениями деталей». В область применения стандарта входит представление факта, что изделие некоторой версии является результатом преобразования другого изделия. В область применения стандарта не входит представление отношений в сборочной единице. |
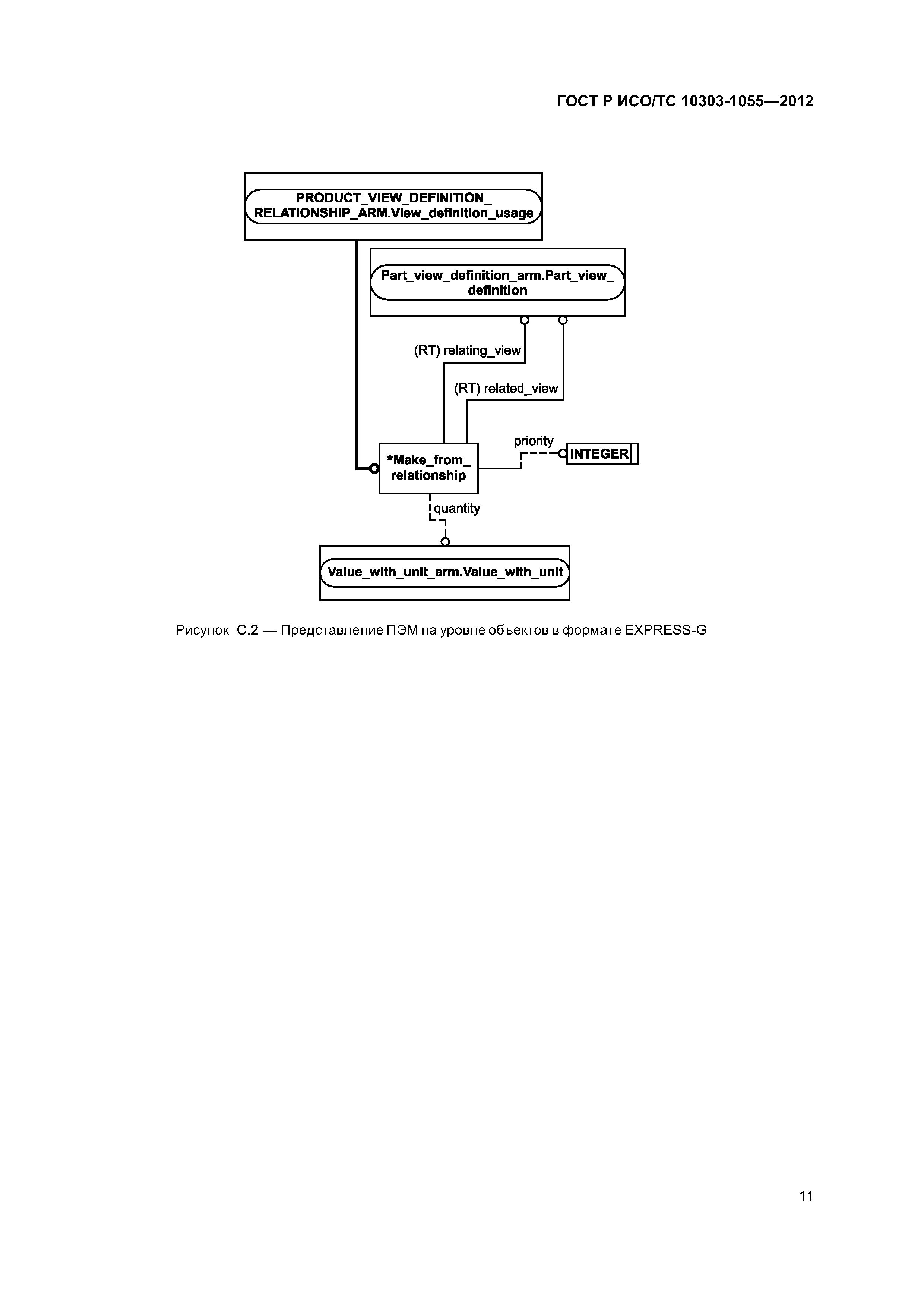
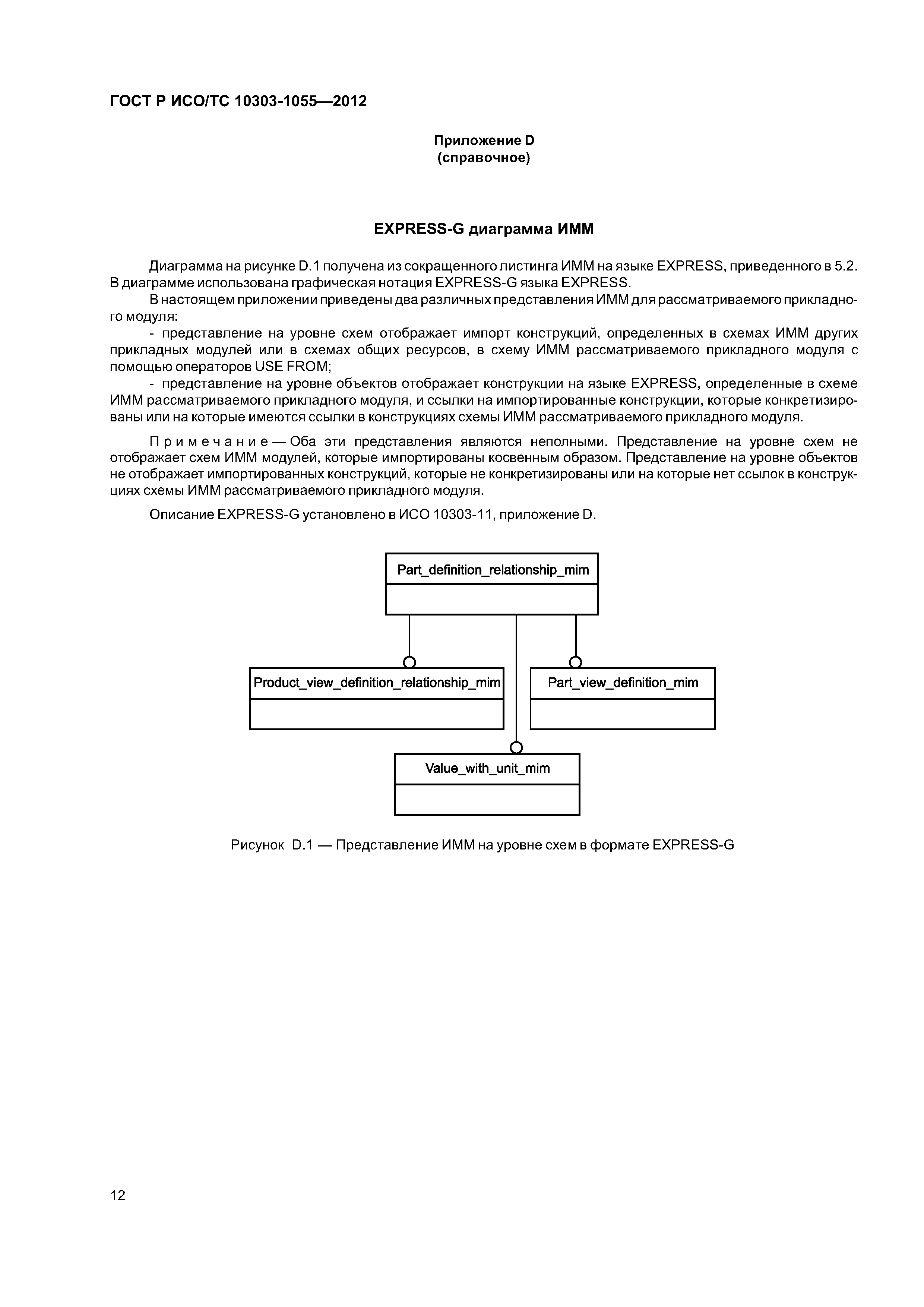
| Оглавление: | 1 Область применения 2 Нормативные ссылки 3 Термины и сокращения 3.1 Термины, определенные в ИСО 10303-1 3.2 Термин, определенный в ИСО 10303-202 3.3 Термины, определенные в ИСО/ТС 10303-1001 3.4 Термин, определенный в ИСО/ТС 10303-1017 3.5 Термины, определенные в ИСО/ТС 10303-1022 3.6 Сокращения 4 Информационные требования 4.1 Прикладные эталонные модели, необходимые для прикладного модуля 4.2 Определение объекта ПЭМ 5 Интерпретированная модель модуля 5.1 Спецификация отображения 5.2 Сокращенный листинг ИММ на языке ЕХРЕSS Приложение А (обязательное) Сокращенные наименования объектов ИММ Приложение В (обязательное) Регистрация информационных объектов Приложение С (справочное) ЕХРЕSS-G диаграммы ПЭМ Приложение D (справочное) ЕХРЕSS-G диаграмма ИММ Приложение Е (справочное) Машинно-интерпретируемые листинги Приложение ДА (справочное) Сведения о соответствии ссылочных международных стандартов и документов ссылочным национальным стандартам Российской Федерации |
| Разработан: | ООО Корпоративные электронные системы |
| Утверждён: | 13.11.2012 Федеральное агентство по техническому регулированию и метрологии (741-ст) |
| Издан: | Стандартинформ (2013 г. ) |
| Нормативные ссылки: |
|



















