Скачать ГОСТ Р ИСО/ТС 10303-1043-2012 Системы автоматизации производства и их интеграция. Представление данных об изделии и обмен этими данными. Часть 1043. Прикладной модуль. Наряд на работуДата актуализации: 01.01.2021
|
| Обозначение: | ГОСТ Р ИСО/ТС 10303-1043-2012 |
| Обозначение англ: | GOST R ISO/TS 10303-1043-2012 |
| Статус: | введен впервые |
| Название рус.: | Системы автоматизации производства и их интеграция. Представление данных об изделии и обмен этими данными. Часть 1043. Прикладной модуль. Наряд на работу |
| Название англ.: | Industrial automation systems and integration. Product data representation and exchange. Part 1043. Application module. Work order |
| Дата добавления в базу: | 01.10.2014 |
| Дата актуализации: | 01.01.2021 |
| Дата введения: | 01.09.2013 |
| Область применения: | Стандарт определяет прикладной модуль «Наряд на работу». Требования стандарта распространяются на: - идентификацию и определение параметров наряда на работу; - идентификацию действий, выполнение которых регламентировано нарядом на работу. |
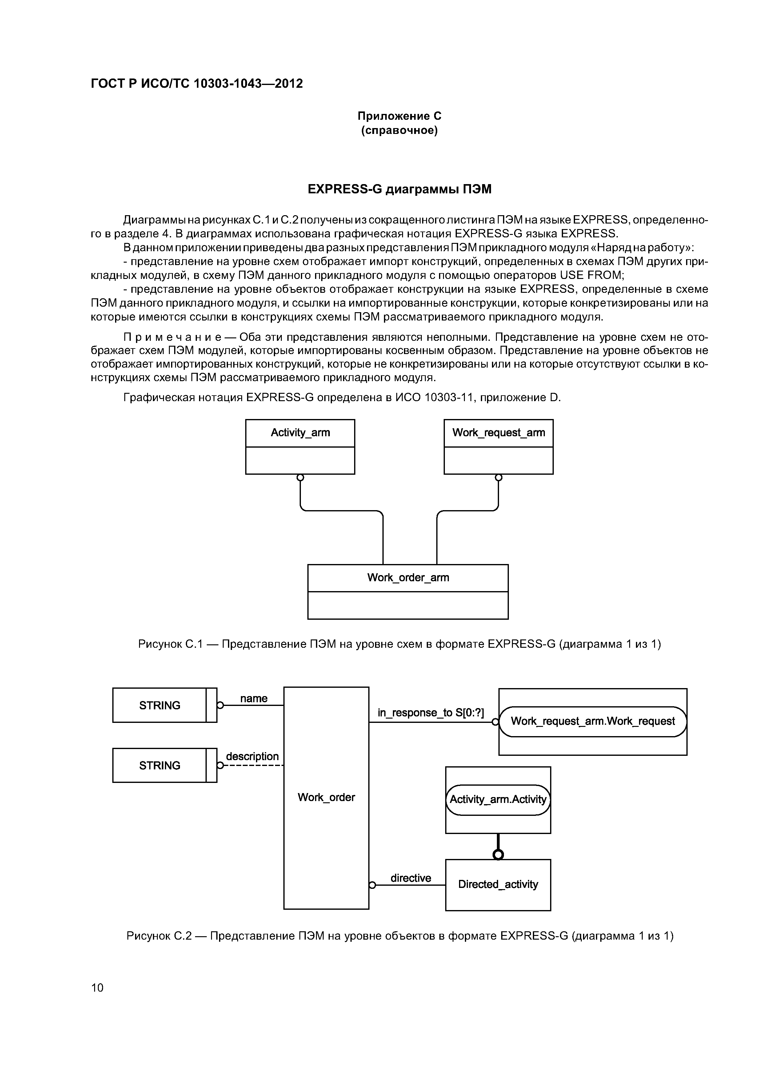
| Оглавление: | 1 Область применения 2 Нормативные ссылки 3 Термины и сокращения 4 Информационные требования 4.1 Необходимые ПЭМ прикладных модулей 4.2 Определение объектов ПЭМ 4.2.1 Объект Directed_activity 4.2.2 Объект Work_order 5 Интерпретированная модель модуля 5.1 Спецификация отображения 5.1.1 Объект Work_order 5.1.2 Объект Directed_activity 5.2 Сокращенный листинг ИММ на языке ЕХРЕЕ88 Приложение А (обязательное) Сокращенные наименования объектов ИММ Приложение В (обязательное) Регистрация информационных объектов Приложение С (справочное) EXPRESS-G диаграммы ПЭМ Приложение D (справочное) EXPRESS-G диаграмма ИММ Приложение Е (справочное) Машинно-интерпретируемые листинги Приложение ДА (справочное) Сведения о соответствии ссылочных международных стандартов и документов национальным стандартам Российской Федерации Библиография |
| Разработан: | Федеральное государственное автономное научное учреждение Центральный научно-исследовательский и опытно-конструкторский институт робототехники и технической кибернетики |
| Утверждён: | 13.11.2012 Федеральное агентство по техническому регулированию и метрологии (737-ст) |
| Издан: | Стандартинформ (2014 г. ) |
| Нормативные ссылки: |
|



















