Скачать ГОСТ Р ИСО 22734-1-2013 Генераторы водородные на основе процесса электролиза воды. Часть 1. Генераторы промышленного и коммерческого назначенияДата актуализации: 01.01.2021
|
| Обозначение: | ГОСТ Р ИСО 22734-1-2013 |
| Обозначение англ: | GOST R ISO 22734-1-2013 |
| Статус: | введен впервые |
| Название рус.: | Генераторы водородные на основе процесса электролиза воды. Часть 1. Генераторы промышленного и коммерческого назначения |
| Название англ.: | Hydrogen generators using water electrolysis process. Part 1. Industrial and commercial applications |
| Дата добавления в базу: | 01.10.2014 |
| Дата актуализации: | 01.01.2021 |
| Дата введения: | 01.01.2014 |
| Область применения: | Стандарт устанавливает требования к безопасности и рабочим характеристикам установок для получения газообразного водорода, использующих электрохимические реакции при электролизе воды. Стандарт относится к водородным генераторам, в которых для переноса ионов используются: - растворы электролита; - твердые полимерные материалы с добавками кислотной функциональной группы, такие как кислотные протонообменные мембраны. Первая часть ГОСТ Р ИСО 22734 относится к водородным генераторам коммерческого и промышленного применения, использующимся как внутри, так и вне зданий и сооружений. Стандарт предназначен для целей сертификации. |
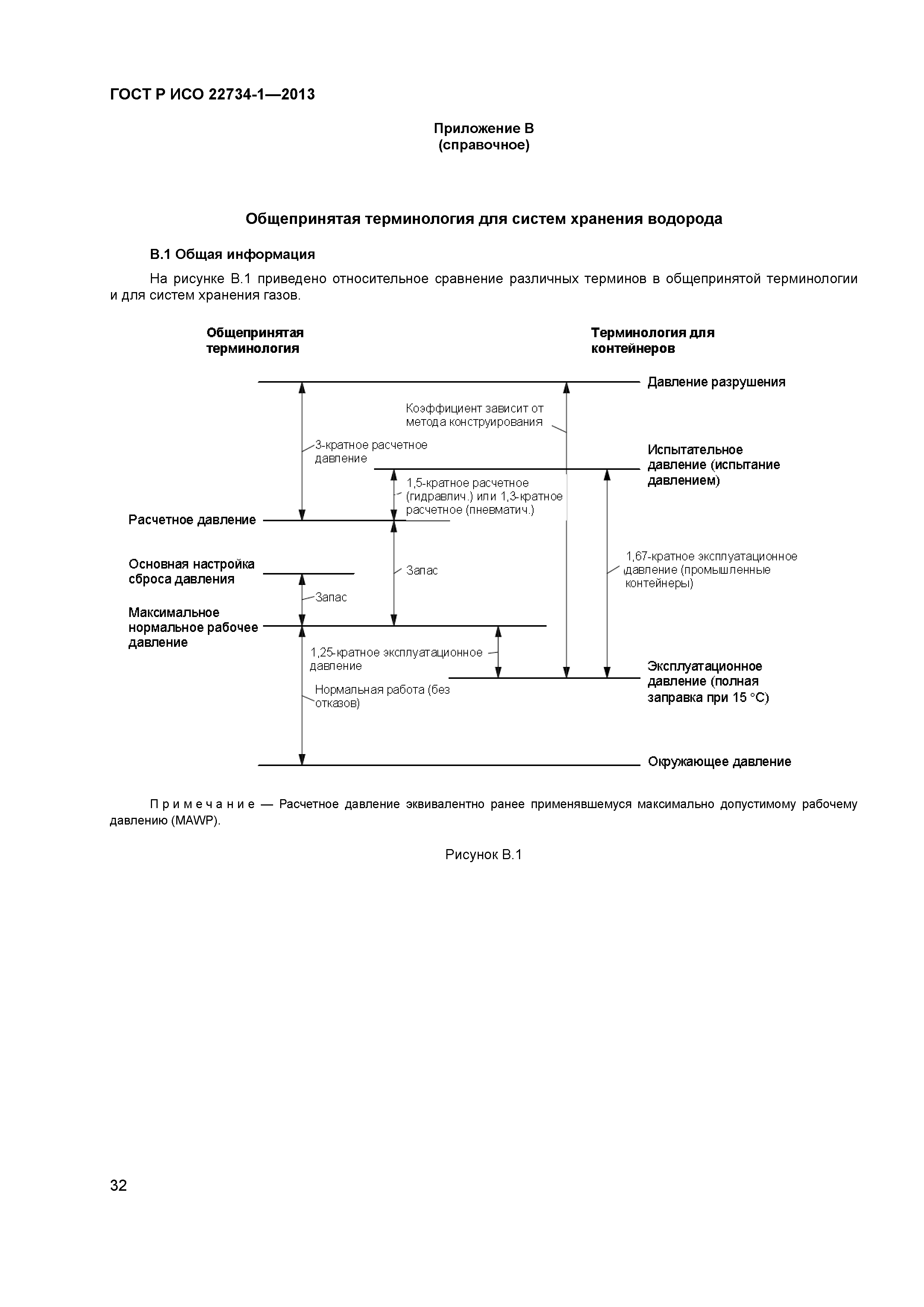
| Оглавление: | 1 Область применения 2 Нормативные ссылки 3 Термины и определения 4 Рабочие условия и технические характеристики 4.1 Потребление энергии 4.2 Технические характеристики воды 4.3 Окружающая среда 4.4 Продувочный газ 4.5 Сохранение/выпуск кислорода 4.6 Производство водорода 4.7 Производство кислорода 5 Механическое оборудование 5.1 Общие требования 5.2 Общие требования к материалам 5.3 Кожухи 5.4 Компоненты, работающие под давлением 5.5 Электрические нагреватели 5.6 Насосы 5.7 Вентиляторы 5.8 Система теплопередачи 5.9 Подсоединение к системе водоснабжения 6 Электрическое оборудование, соединения и вентиляция 6.1 Требования к пожаровзрывобезопасности 6.2 Электрическое оборудование 7 Системы управления 7.1 Общие требования 7.2 Элементы управления для оператора 7.3 Функция управления в случае отказа 7.4 Программируемое электронное оборудование 7.5 Корректируемые условия 7.6 Взаимосвязанные установки 7.7 Система обеспечения безопасности 7.8 Системы дистанционного управления 7.9 Аварийная сигнализация 8 Среда переноса ионов 8.1 Электролит 8.2 Мембрана 9 Защита технического персонала 10 Методы испытаний 10.1 Квалификационные испытания 10.2 Контрольные испытания 11 Маркировка и надписи 11.1 Общие требования 11.2 Маркировка водородного генератора 11.3 Маркировка компонентов 11.4 Предупреждающие надписи 11.5 Дополнительные требования для водородных генераторов 11.6 Дополнительные требования к выпуску кислорода 12 Документация, сопровождающая водородный генератор 12.1 Инструкции и схемы 12.2 Инструкции по транспортировке и подъему 12.3 Руководство по эксплуатации 12.4 Электрические схемы 12.5 Инструкции по установке 12.6 Инструкции по техническому обслуживанию Приложение А (справочное) Сведения о коррозии материалов в среде водорода в условиях высоких температур и внутренних напряжений Приложение В (справочное) Общепринятая терминология для систем хранения водорода Приложение С (справочное) Пределы воспламенения водорода Приложение ДА (справочное) Сведения о соответствии ссылочных международных стандартов национальным стандартам Российской Федерации (и действующим в этом качестве межгосударственным стандартам) Библиография |
| Разработан: | НП НАВЭ |
| Утверждён: | 24.06.2013 Федеральное агентство по техническому регулированию и метрологии (183-ст) |
| Издан: | Стандартинформ (2014 г. ) |
| Нормативные ссылки: |
|










































