Скачать ГОСТ Р 56005-2014 Арматура трубопроводная. Методика обеспечения надежности и безопасности при проектировании и изготовлении с использованием метода структурирования функции качестваДата актуализации: 01.01.2021
|
| Обозначение: | ГОСТ Р 56005-2014 |
| Обозначение англ: | GOST R 56005-2014 |
| Статус: | введен впервые |
| Название рус.: | Арматура трубопроводная. Методика обеспечения надежности и безопасности при проектировании и изготовлении с использованием метода структурирования функции качества |
| Название англ.: | Pipeline valves. Reliability and safety practice for engineering and production by quality function deployment applying |
| Дата добавления в базу: | 21.05.2015 |
| Дата актуализации: | 01.01.2021 |
| Дата введения: | 01.01.2015 |
| Область применения: | Стандарт распространяется на трубопроводную арматуру, соответствующую требованиям ГОСТ Р (проект), и содержит методические указания и рекомендации по использованию метода структурирования функции качества для обеспечения надежности и безопасности арматуры при ее проектировании и изготовлении. |
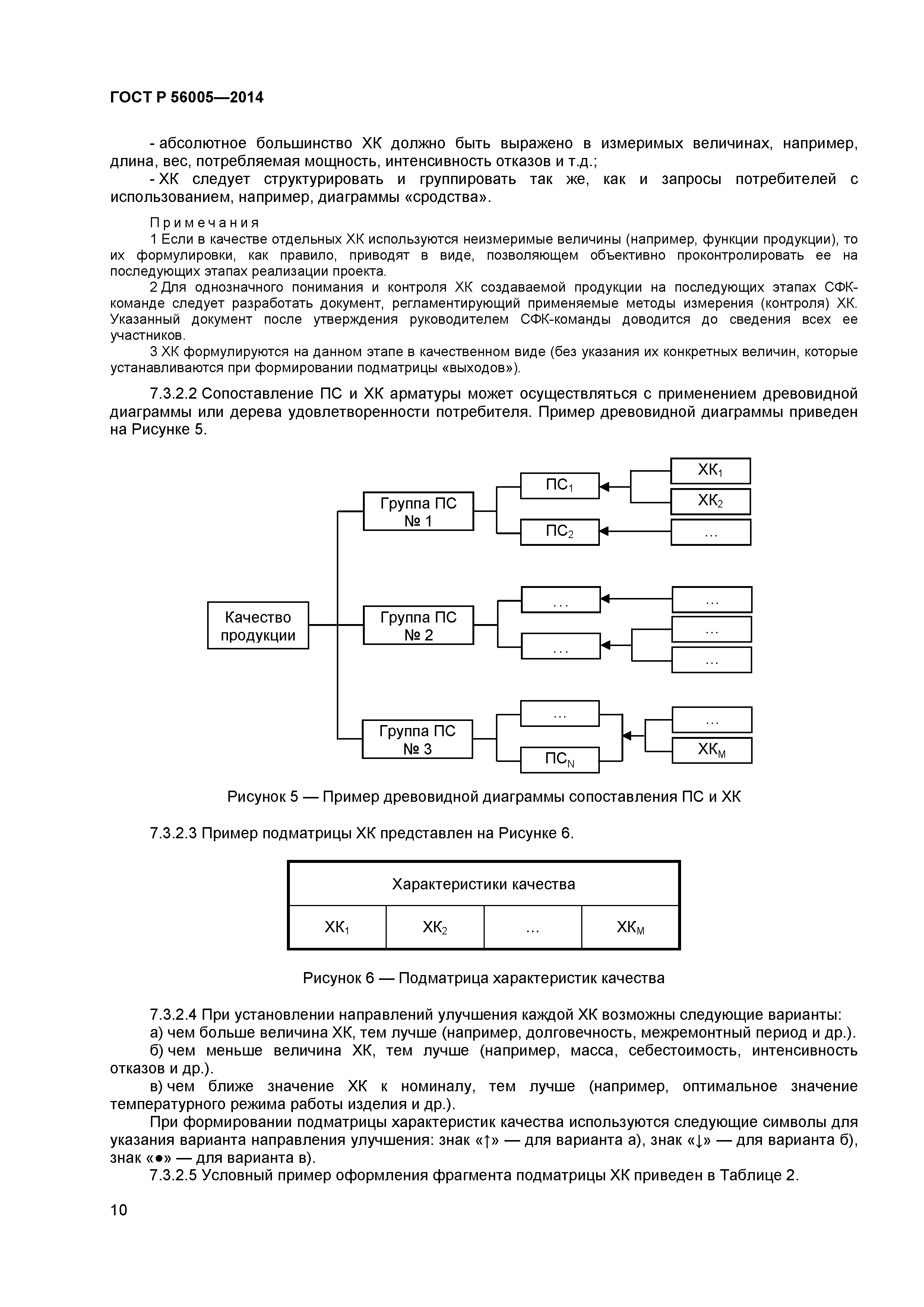
| Оглавление: | 1 Область применения 2 Нормативные ссылки 3 Термины, определения и сокращения 4 Общие положения 5 Функции экспертных групп и их участников при осуществлении процесса применения метода структурирования функции качества на этапах проектирования и изготовления 6 Основные этапы метода структурирования функции качества при проектировании и изготовлении трубопроводной арматуры 7 Общие правила построения матриц структурирования функции качества 7.1 Требования к формированию матриц структурирования функции качества 7.2 Общая конфигурация, структура и содержание матриц структурирования функции качества 7.3 Формирование плановой матрицы 7.4 Формирование проектной матрицы 7.5 Формирование процессной матрицы 7.6 Формирование производственной матрицы 7.7 Анализ результатов, подготовка отчетов, правила и формы представления данных 8 Порядок реализации метода структурирования функции качества при проектировании и изготовлении трубопроводной арматуры для обеспечения ее надежности и безопасности 8.1 Опасность арматуры 8.2 Возможные отказы арматуры и их критичность 8.3 Меры для обеспечения надежности и безопасности арматуры 8.4 Реализация метода структурирования функции качества для обеспечения надежности и безопасности арматуры Приложение А (рекомендуемое) Пример обеспечения безотказности арматуры при ее проектировании и изготовлении с применением метода структурирования функции качества Библиография |
| Разработан: | ОАО Оргэнергогаз ЗАО НПФ ЦКБА ООО Газпром ВНИИГАЗ |
| Утверждён: | 24.04.2014 Федеральное агентство по техническому регулированию и метрологии (402-ст) |
| Издан: | Стандартинформ (2014 г. ) |
| Нормативные ссылки: |
|



















































