Скачать ГОСТ Р ИСО 22514-7-2014 Статистические методы. Управление процессами. Часть 7. Воспроизводимость процессов измерений

Дата актуализации: 01.01.2021

ГОСТ Р ИСО 22514-7-2014

Статистические методы. Управление процессами. Часть 7. Воспроизводимость процессов измерений

Обозначение: ГОСТ Р ИСО 22514-7-2014
Обозначение англ: GOST R ISO 22514-7-2014
Статус:введен впервые
Название рус.:Статистические методы. Управление процессами. Часть 7. Воспроизводимость процессов измерений
Название англ.:Statistical methods. Process management. Part 7. Capability of measurement processes
Дата добавления в базу:12.02.2016
Дата актуализации:01.01.2021
Дата введения:01.12.2015
Область применения:В стандарте установлена процедура валидации измерительной системы и процесса измерений на соответствие установленной метрологической задачи с рекомендованным критерием приемки.
Оглавление:1 Область применения
2 Нормативные ссылки
3 Термины и определения
4 Обозначения и сокращения
5 Основные принципы
6 Выполнение метода
7 Исследования для вычисления составляющей неопределенности . . .
8 Вычисление суммарной неопределенности
9 Воспроизводимость и пригодность процесса
10 Воспроизводимость процесса измерений и производственного процесса
11 Продолжение анализа стабильности процесса измерений
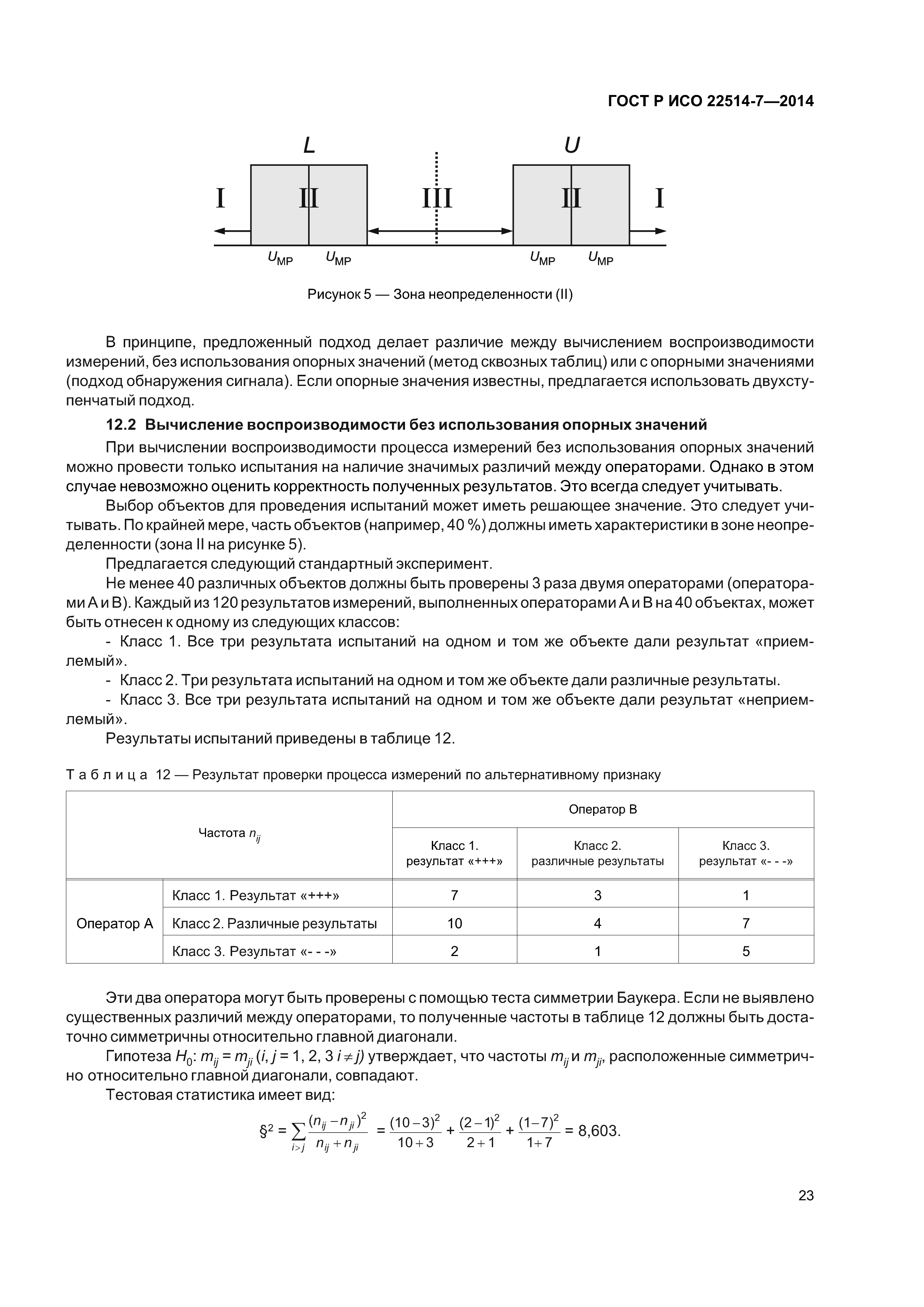
12 Воспроизводимость процесса измерений по альтернативному признаку
Приложение А (справочное) Примеры
Приложение В (справочное) Используемые статистические методы
Приложение ДА (справочное) Сведения о соответствии ссылочных международных стандартов, указанных в нормативных ссылках настоящего стандарта, ссылочным национальным стандартам Российской Федерации
Приложение ДБ (справочное) Сведения о соответствии ссылочных международных стандартов, указанных в библиографии настоящего стандарта, ссылочным национальным стандартам Российской Федерации
Библиография
Разработан: АО НИЦ КД
Утверждён:29.10.2014 Росстандарт (1456-ст)
Издан: Стандартинформ (2015 г. )
Нормативные ссылки:
ГОСТ Р ИСО 22514-7-2014ГОСТ Р ИСО 22514-7-2014ГОСТ Р ИСО 22514-7-2014ГОСТ Р ИСО 22514-7-2014ГОСТ Р ИСО 22514-7-2014ГОСТ Р ИСО 22514-7-2014ГОСТ Р ИСО 22514-7-2014ГОСТ Р ИСО 22514-7-2014ГОСТ Р ИСО 22514-7-2014ГОСТ Р ИСО 22514-7-2014ГОСТ Р ИСО 22514-7-2014ГОСТ Р ИСО 22514-7-2014ГОСТ Р ИСО 22514-7-2014ГОСТ Р ИСО 22514-7-2014ГОСТ Р ИСО 22514-7-2014ГОСТ Р ИСО 22514-7-2014ГОСТ Р ИСО 22514-7-2014ГОСТ Р ИСО 22514-7-2014ГОСТ Р ИСО 22514-7-2014ГОСТ Р ИСО 22514-7-2014ГОСТ Р ИСО 22514-7-2014ГОСТ Р ИСО 22514-7-2014ГОСТ Р ИСО 22514-7-2014ГОСТ Р ИСО 22514-7-2014ГОСТ Р ИСО 22514-7-2014ГОСТ Р ИСО 22514-7-2014ГОСТ Р ИСО 22514-7-2014ГОСТ Р ИСО 22514-7-2014ГОСТ Р ИСО 22514-7-2014ГОСТ Р ИСО 22514-7-2014ГОСТ Р ИСО 22514-7-2014ГОСТ Р ИСО 22514-7-2014ГОСТ Р ИСО 22514-7-2014ГОСТ Р ИСО 22514-7-2014ГОСТ Р ИСО 22514-7-2014ГОСТ Р ИСО 22514-7-2014ГОСТ Р ИСО 22514-7-2014ГОСТ Р ИСО 22514-7-2014ГОСТ Р ИСО 22514-7-2014ГОСТ Р ИСО 22514-7-2014ГОСТ Р ИСО 22514-7-2014ГОСТ Р ИСО 22514-7-2014ГОСТ Р ИСО 22514-7-2014