Скачать ГОСТ Р 54418.22-2014 Возобновляемая энергетика. Ветроэнергетика. Установки ветроэнергетические. Часть 22. Оценочные испытания и сертификацияДата актуализации: 01.01.2021
|
| Обозначение: | ГОСТ Р 54418.22-2014 |
| Обозначение англ: | GOST R 54418.22-2014 |
| Статус: | введен впервые |
| Название рус.: | Возобновляемая энергетика. Ветроэнергетика. Установки ветроэнергетические. Часть 22. Оценочные испытания и сертификация |
| Название англ.: | Renewable power engineering. Wind power engineering. Wind turbine. Part 22. Conformity testing and certification |
| Дата добавления в базу: | 12.02.2016 |
| Дата актуализации: | 01.01.2021 |
| Дата введения: | 01.07.2016 |
| Область применения: | Стандарт устанавливает порядок и процедуры проведения сертификации ветроэнергетических установок (ВЭУ), предназначенных для размещения на суше и в прибрежной зоне. В стандарте установлены правила и процедуры проведения оценки соответствия ВЭУ, а также ветроэлектростанций (ВЭС) действующим стандартам и иным техническим требованиям (безопасности, надежности, производительности, взаимодействия с электрическими сетями). |
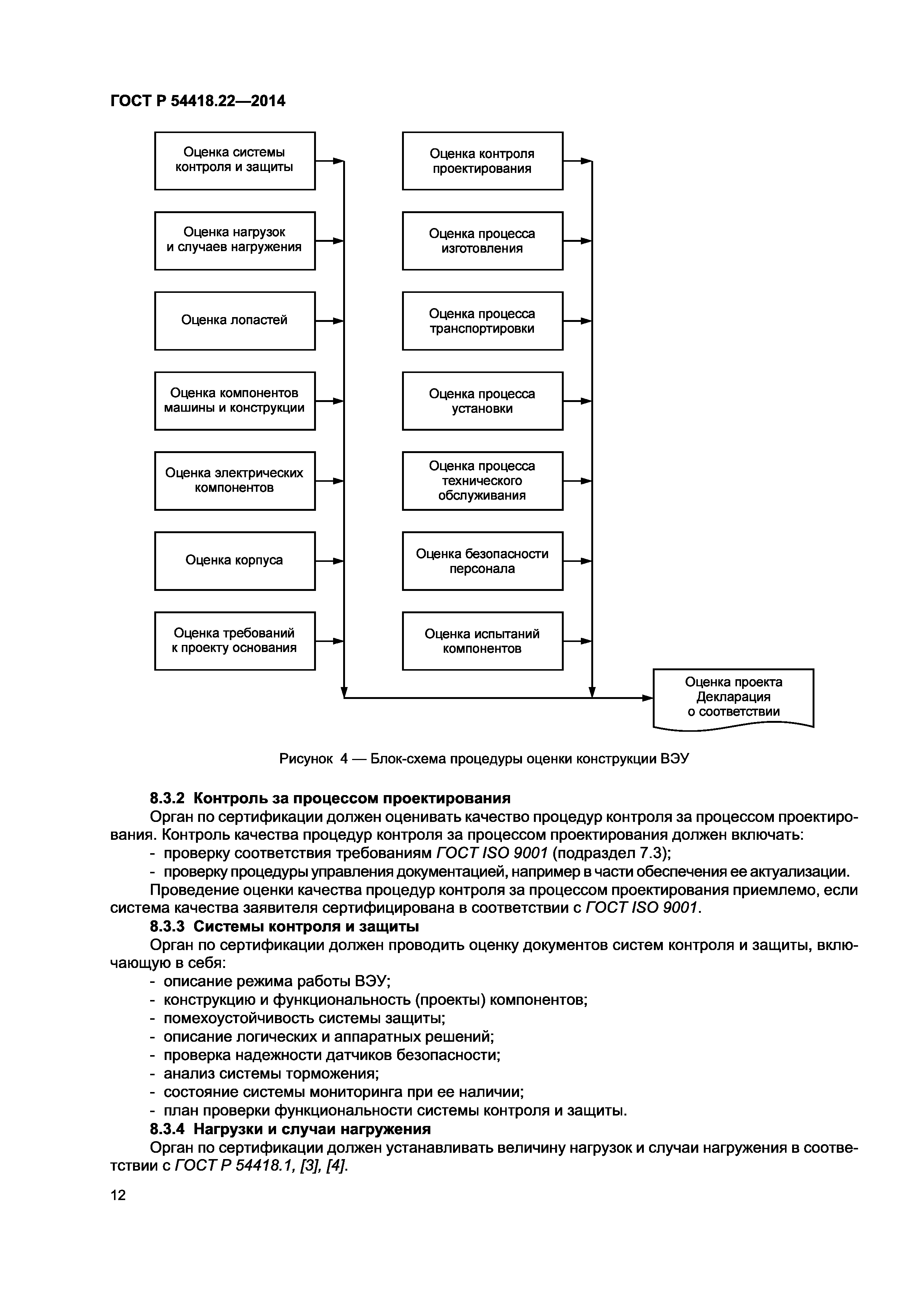
| Оглавление: | 1 Область применения 2 Нормативные ссылки 3 Термины и определения 4 Обозначения и сокращения 4.1 Обозначения 4.2 Сокращения 5 Аттестация органов, проводящих оценку соответствия 5.1 Общие положения 5.2 Аккредитация 5.3 договоры о взаимном признании 5.4 Консультативные комитеты 6 Управление системой сертификации 6.1 Общие требования 6.2 Соглашение о сертификации 6.3 Условия сертификации 6.4 Сохранность необходимых документов 6.5 Получение, содержание и срок действия сертификата 6.6 Корректирующие действия 7 Границы сертификации 7.1 Общие положения 7.2 Сертификация типа 7.3 Сертификация проекта 7.4 Сертификация компонентов ветроэнергетических установок 7.5 Сертификация прототипа 8 Сертификация типа 8.1 Общие положения 8.2 Оценка проектных данных 8.3 Оценка конструкции 8.4 Испытания типа 8.5 Оценка производства ветроэнергетических установок 8.6 Оценка проекта основания 8.7 Оценка производства основания 8.8 Определение характеристик типа 8.9 Итоговая оценка 8.10 Сертификат типа 9 Сертификация проекта 9.1 Общие положения 9.2 Оценка условий площадки размещения ветроэнергетической установки 9.3 Оценка проекта 9.4 Анализ влияния нагрузки 9.5 Оценка соответствия проекта по месторасположению ветроэнергетической установки 9.6 Проектная оценка соответствия вспомогательных систем местным условиям 9.7 Проектная оценка других элементов 9.8 Контроль производства ветроэнергетических установок 9.9 Контроль производства вспомогательных конструкций 9.10 Контроль производства других элементов 9.11 Измерения характеристик проекта 9.12 Контроль транспортирования и монтажа 9.13 Контроль ввода в эксплуатацию 9.14 Итоговая оценка 9.15 Сертификат проекта 9.16 Контроль эксплуатации и обслуживания Приложение А (справочное) Примерный список проектной документации Приложение Б (справочное) Примеры форм сертификатов соответствия и деклараций о соответствии Приложение В (справочное) Минимальные требования к измерениям нагрузки Приложение Г (справочное) Требования к безопасности и функциональные тесты Приложение Д (справочное) Система мониторинга состояния ветроэнергетических установок Приложение ДА (справочное) Сведения о соответствии ссылочных национальных и межгосударственных стандартов международным стандартам и документу, использованным в качестве ссылочных в примененном международном стандарте Приложение ДБ (справочное) Термины и определения, приведенные в стандарте МЭК 61400-22 Приложение ДВ (справочное) Текст пункта 6.5.4 и абзаца 2 пункта 6.5.1 стандарта МЭК 61400-22, не включенный в основную часть настоящего стандарта Библиография |
| Разработан: | ОАО НИИЭС |
| Утверждён: | 19.11.2014 Федеральное агентство по техническому регулированию и метрологии (1687-ст) |
| Издан: | Стандартинформ (2015 г. ) |
| Нормативные ссылки: |
|




























































