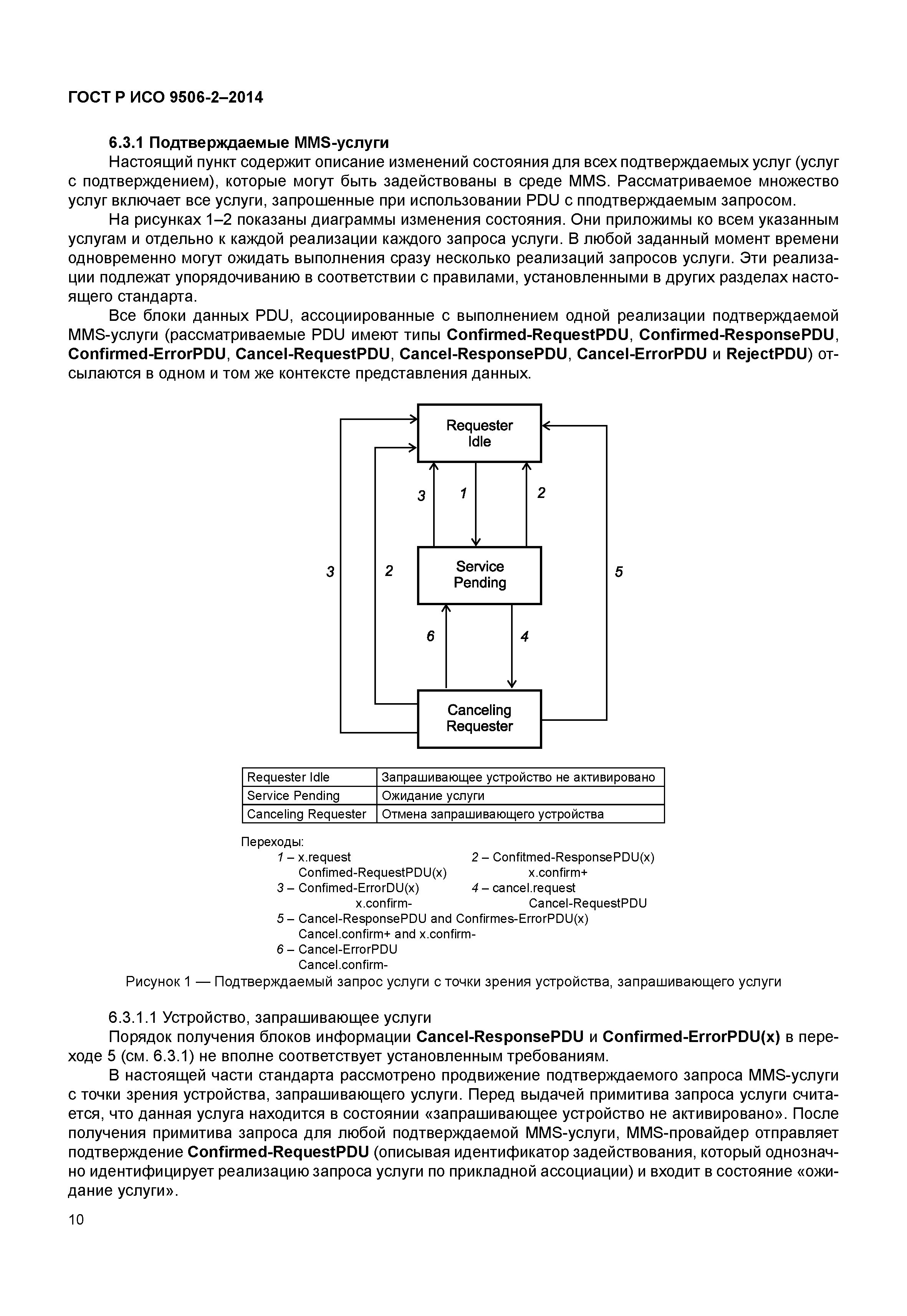
Скачать ГОСТ Р ИСО 9506-2-2014 Системы промышленной автоматизации и интеграция. Спецификация производственных сообщений. Часть 2. Спецификация протоколаДата актуализации: 01.01.2021
|
| Обозначение: | ГОСТ Р ИСО 9506-2-2014 |
| Обозначение англ: | GOST R ISO 9506-2-2014 |
| Статус: | введен впервые |
| Название рус.: | Системы промышленной автоматизации и интеграция. Спецификация производственных сообщений. Часть 2. Спецификация протокола |
| Название англ.: | Industrial automation systems and integration. Manufacturing message specification. Part 2. Protocol specification |
| Дата добавления в базу: | 12.02.2016 |
| Дата актуализации: | 01.01.2021 |
| Дата введения: | 01.01.2016 |
| Область применения: | Спецификация производственных сообщений - это стандарт прикладного уровня, поддерживающего связь посредством сообщений, отправляемых на (получаемых с) программируемые устройства среды компьютерно-интегрированного производства (CIM). |
| Оглавление: | 1 Область применения 2 Нормативные ссылки 3 Термины и определения 4 Сокращения 5 Соглашения 6 Элементы протокольной процедуры 7 Блоки данных протокола спецификации производственных сообщений MMS PDU 8 Среда и протокол общего управления 9 Протокол ответа на услугу, удовлетворяющую заданным требованиям 10 Протокол поддержки VMD 11 Протокол управления доменом 12 Протокол управления активизацией программы 13 Протокол управления блоком 14 Протокол доступа к переменной 15 Протокол обмена данными 16 Протокол управления семафором 17 Протокол связи с оператором 18 Протокол управления событием 19 Протокол условий события 20 Протокол действия события 21 Протокол регистрации события 22 Протокол перечня условий события 23 Протокол управления журналом 24 Отображение на нижележащие услуги связи 25 Утверждение и конфигурация инициализации Приложение А (обязательное) Связь М-услуг с сервисным элементом управления ассоциацией (ACSE) и услугами представления данных Приложение В (обязательное) Абстрактный формат конфигурации и инициализации Приложение С (обязательное) Протокол доступа к файлу Приложение D (справочное) Протокол управления файлом Приложение Е (справочное) Рассеянный доступ Приложение F (справочное) Тип данных REAL Приложение ДА (справочное) Сведения о соответствии ссылочных международных стандартов ссылочным национальным стандартам Российской Федерации |
| Разработан: | ООО НИИ Интерэкомс |
| Утверждён: | 26.11.2014 Федеральное агентство по техническому регулированию и метрологии (1864-ст) |
| Издан: | Стандартинформ (2015 г. ) |
| Нормативные ссылки: |
|

















































































































































































