Скачать ГОСТ Р 56360-2015 Глобальная навигационная спутниковая система. Аппаратура спутниковой навигации для оснащения колесных транспортных средств категории М, используемых для коммерческих перевозок пассажиров. Общие технические требованияДата актуализации: 01.01.2021 ГОСТ Р 56360-2015
Глобальная навигационная спутниковая система. Аппаратура спутниковой навигации для оснащения колесных транспортных средств категории М, используемых для коммерческих перевозок пассажиров. Общие технические требования| Обозначение: | ГОСТ Р 56360-2015 | | Обозначение англ: | GOST R 56360-2015 | | Статус: | отменен | | Название рус.: | Глобальная навигационная спутниковая система. Аппаратура спутниковой навигации для оснащения колесных транспортных средств категории М, используемых для коммерческих перевозок пассажиров. Общие технические требования | | Название англ.: | Global navigation satellite system. Satellite navigation equipment to equip wheeled vehicles of category M used for commercial transportations of passengers. General technical requirements | | Дата добавления в базу: | 12.02.2016 | | Дата актуализации: | 01.01.2021 | | Дата введения: | 01.07.2015 | | Дата окончания срока действия: | 01.06.2017 | | Область применения: | Стандарт распространяется на аппаратуру спутниковой навигации, предназначенную для оснащения колесных транспортных средств категории М, используемых для коммерческих перевозок пассажиров, и устанавливает общие технические требования к указанной аппаратуре. | | Оглавление: | 1 Область применения 2 Нормативные ссылки 3 Термины и определения 4 Обозначения и сокращения 5 Общие положения 6 Состав аппаратуры спутниковой навигации 7 Общие требования к аппаратуре спутниковой навигации 8 Требования к функциональным модулям и компонентам аппаратуры спутниковой навигации 9 Требования к интерфейсам передачи данных 10 Требования к электропитанию 11 Требования электробезопасности 12 Требования к электромагнитной совместимости 13 Требования по стойкости к внешним воздействиям 14 Конструктивные требования 15 Требования к надёжности 16 Требования к установке аппаратуры спутниковой навигации 17 Требования по эргономике и технической эстетике 18 Требования по безопасности и экологической чистоте 19 Требования к маркировке 20 Требования к упаковке, транспортированию и хранению Приложение А (обязательное) Спецификация протокола транспортного уровня Приложение Б (обязательное) Спецификация протокола передачи мониторинговой информации Приложение В (обязательное) Спецификация протокола уровня поддержки услуг и спецификация сервисов предоставления услуг Библиография | | Разработан: | ООО НИИ ПТ
| | Утверждён: | 19.03.2015 Федеральное агентство по техническому регулированию и метрологии (140-ст)
| | Издан: | Стандартинформ (2015 г. )
| | Нормативные ссылки: | |
                                                                         
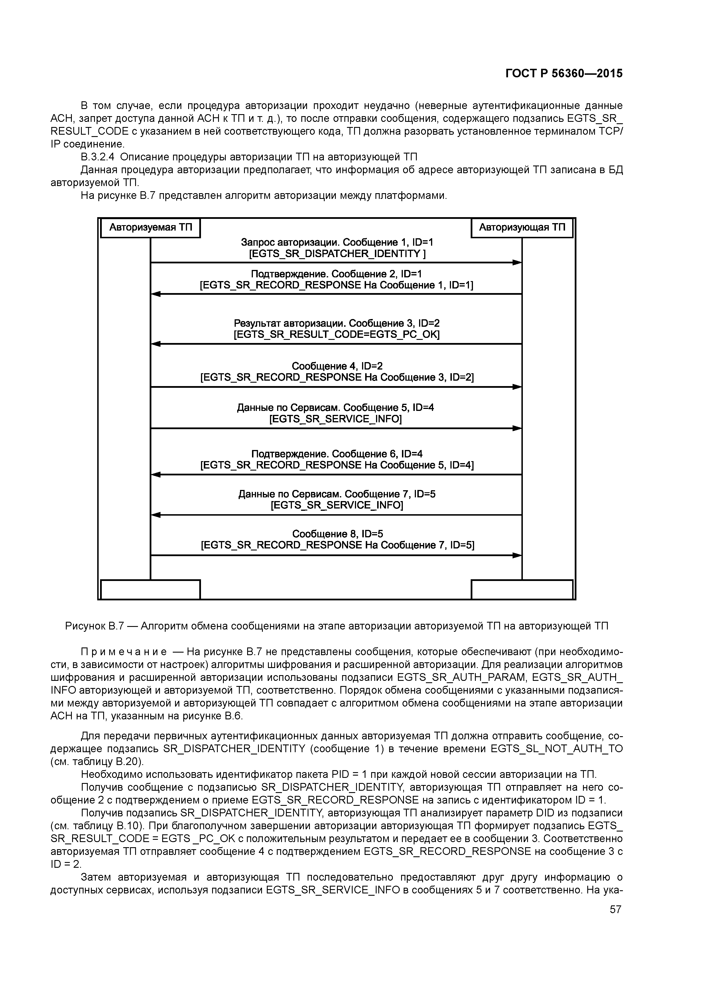
|