Скачать ГОСТ Р 56529-2015 Совместимость космической техники электромагнитная. Общие требования и методы испытанийДата актуализации: 01.01.2021
|
| Обозначение: | ГОСТ Р 56529-2015 |
| Обозначение англ: | GOST R 56529-2015 |
| Статус: | введен впервые |
| Название рус.: | Совместимость космической техники электромагнитная. Общие требования и методы испытаний |
| Название англ.: | Electromagnetic compatibility of space technology. General requirements and test methods |
| Дата добавления в базу: | 12.02.2016 |
| Дата актуализации: | 01.01.2021 |
| Дата введения: | 01.01.2016 |
| Область применения: | Стандарт устанавливает общие требования и методы испытаний электромагнитной совместимости космической техники (космических комплексов социально-экономического, научного и коммерческого назначения и их составных частей), разрабатываемой предприятиями Российской Федерации, на следующих уровнях: общие требования к космическому комплексу, специальные требования к космическому комплексу и требования к электромагнитным помехам на уровне оборудования. |
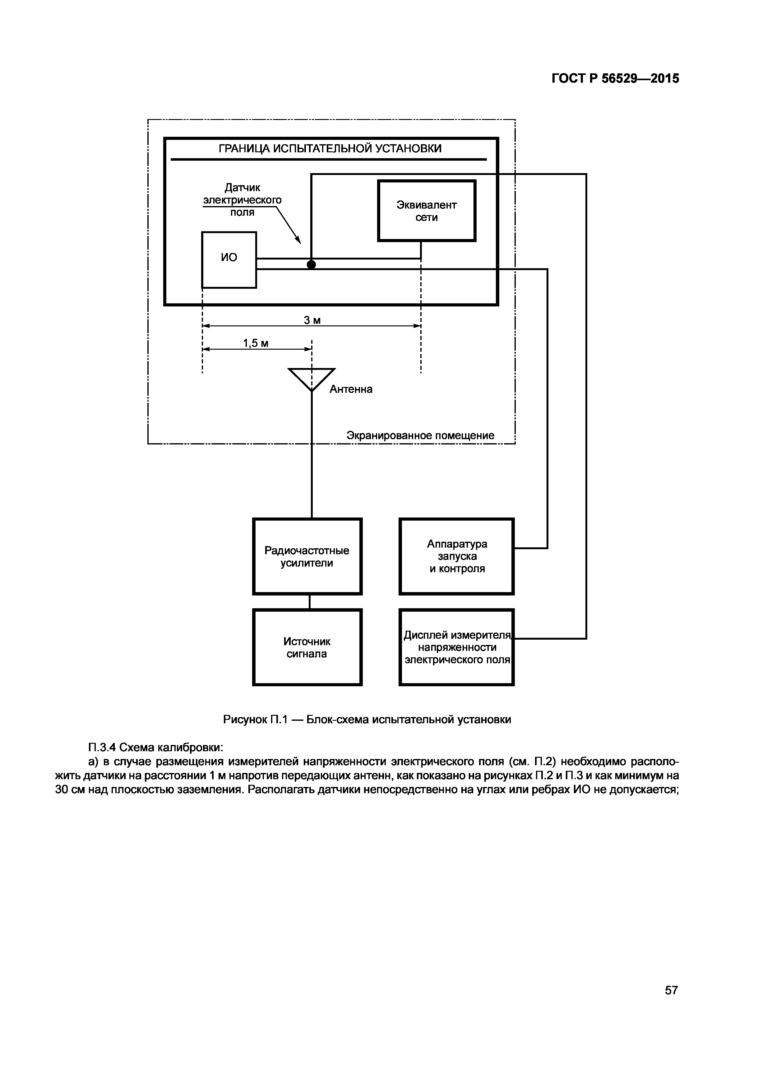
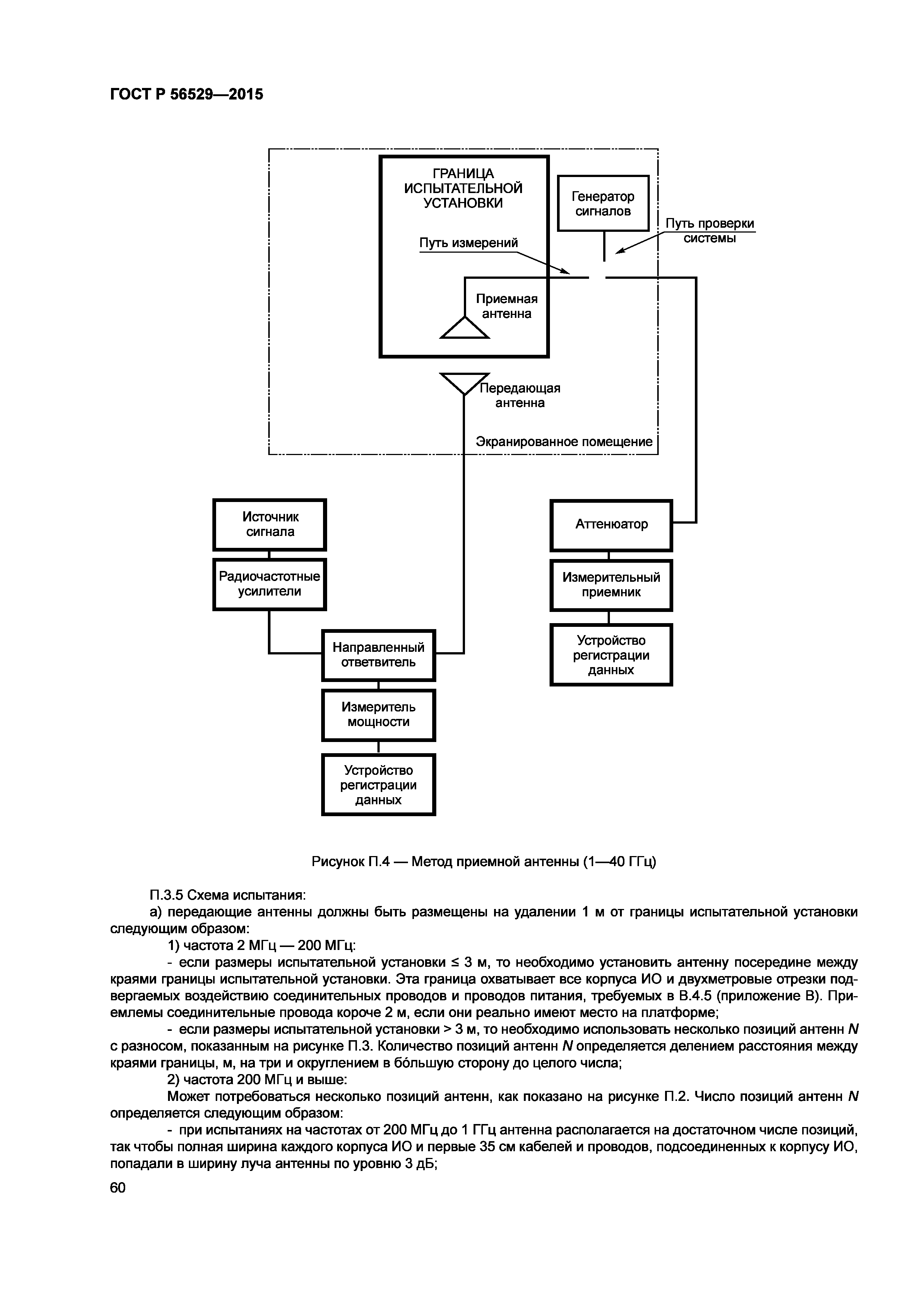
| Оглавление: | 1 Область применения 2 Нормативные ссылки 3 Термины, определения, обозначения и сокращения 3.1 Термины и определения 3.2 Обозначения и сокращения 4 Требования по обеспечению электромагнитной совместимости космического комплекса 4.1 Общие требования к космическому комплексу 4.2 Специальные требования к космическому комплексу 4.3 Требования по обеспечению электромагнитной совместимости на уровне оборудования 5 Виды и условия испытаний на соответствие требованиям по ЭМС комплекса 5.1 Общие требования к космическому комплексу 5.2 Специальные требования к космическому комплексу 5.3 Испытания электромагнитных помех на уровне оборудования Приложение А (рекомендуемое) Рекомендации по мерам обеспечения электромагнитной совместимости на уровне комплекса Приложение Б (справочное) Измерение наводимых источником кондуктивных помех на шине питания во временной и частотной областях Приложение В (рекомендуемое) Измерение кондуктивных помех в проводах питания в диапазоне от 30 Гц до 10 кГц (метод СЕ101) Приложение Г (рекомендуемое) Контроль подавления наводимых нагрузкой быстрых коммутационных процессов Приложение Д (рекомендуемое) Измерение пульсаций во временной области, наведенных на шине питания Приложение Е (справочное) Измерение кондуктивных помех Приложение Ж (справочное) Измерение излучаемых помех в виде магнитного поля в диапазоне от 30 Гц до 100 кГц (метод RЕ101) Приложение И (рекомендуемое) Измерение излучаемых помех в виде электрического поля в диапазоне от 10 кГц до 18 ГГц (метод RЕ102) Приложение К (справочное) Измерение устойчивости к пульсациям звуковой частоты в линии питания Приложение Л (рекомендуемое) Измерение устойчивости к импульсам напряжения Приложение М (справочное) Испытание восприимчивости к кондуктивным помехам в виде наводок в кабелях в диапазоне от 10 кГц до 200 МГц (метод СS114) Приложение Н (справочное) Измерение восприимчивости к излучаемым помехам в виде магнитного поля с помощью катушки Гельмгольца (альтернативный метод RS101) Приложение П (справочное) Измерение восприимчивости к излучаемым помехам в виде электрического поля в диапазоне от 2 МГц до 40 ГГц (метод RS103) Приложение Р (справочное) Измерение восприимчивости к магнитным полям, наводимым в оборудовании Приложение С (справочное) Измерение восприимчивости к магнитным полям, наводимым в соединительных кабелях Приложение Т (рекомендуемое) План проверки электромагнитных эффектов на уровне комплекса Приложение У (рекомендуемое) Рекомендации по содержанию отчета о проверке электромагнитных эффектов Приложение Ф (рекомендуемое) Рекомендации по демонстрации внутрисистемной электромагнитной совместимости Библиография |
| Разработан: | ФГУП ЦНИИмаш |
| Утверждён: | 24.07.2015 Федеральное агентство по техническому регулированию и метрологии (974-ст) |
| Издан: | Стандартинформ (2015 г. ) Стандартинформ (2016 г. ) |
| Нормативные ссылки: |
|








































































