Скачать А3-804 Руководство по расчету воздуховодов из унифицированных деталейДата актуализации: 01.01.2021
|
| Обозначение: | А3-804 |
| Обозначение англ: | А3-804 |
| Статус: | не действует |
| Название рус.: | Руководство по расчету воздуховодов из унифицированных деталей |
| Дата добавления в базу: | 12.02.2016 |
| Дата актуализации: | 01.01.2021 |
| Область применения: | Руководство предназначено для проектирования и расчета металлических воздуховодов систем вентиляции, кондиционирования воздуха, воздушного отопления (систем общего назначения) и аспирации строящихся и реконструируемых зданий и сооружений. |
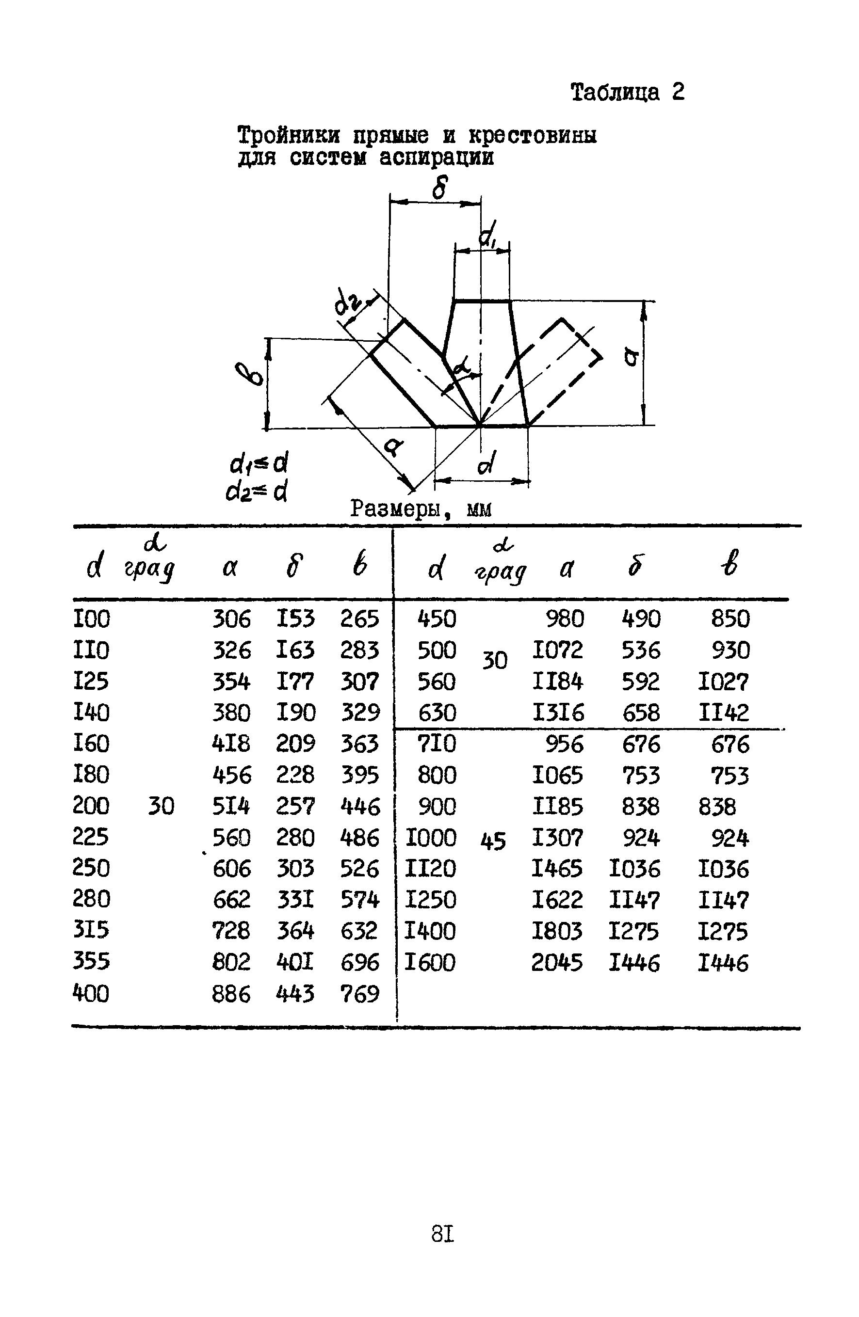
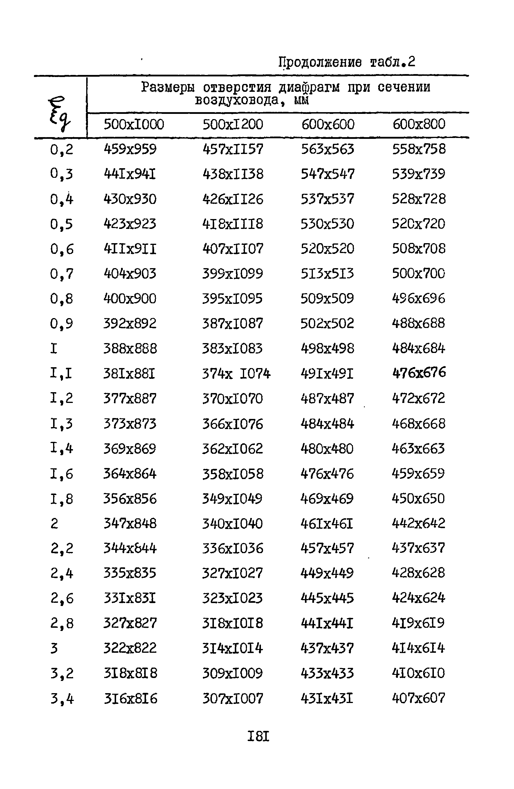
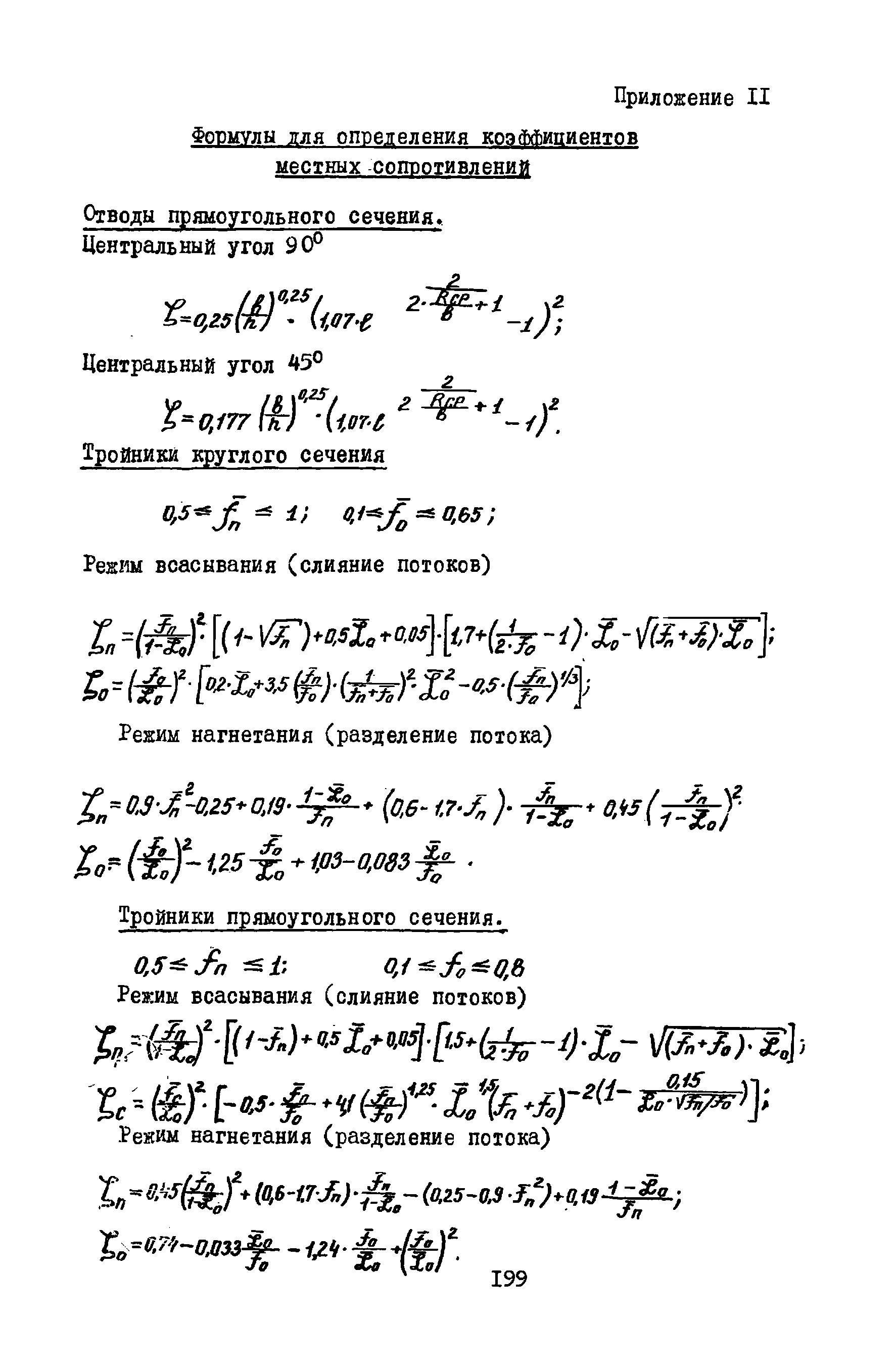
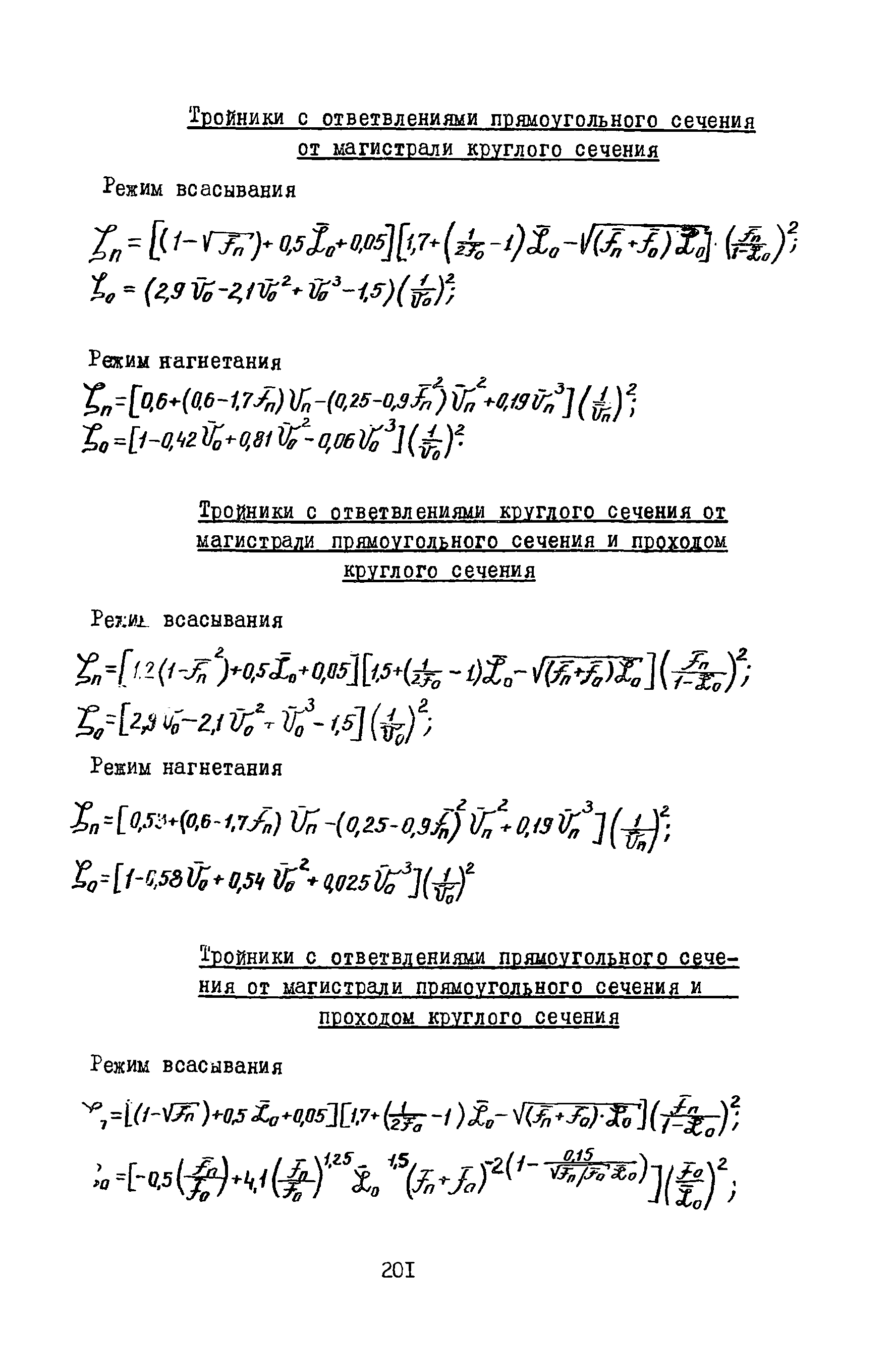
| Оглавление: | 1. Общие положения. 2. Расчет сети систем общего назначения 3. Расчет сети систем аспирации 4. Примеры расчета Приложение 1. Унифицированные детали металлических воздуховодов систем общего назначения Приложение 2. Детали металлических воздуховодов круглого сечения систем аспирации Приложение 3. Таблица для расчета металлических воздуховодов круглого сечения Приложение 4. Таблица для расчета металлических воздуховодов прямоугольного сечения. Приложение 5. Коэффициенты местных сопротивлений унифицированных деталей металлических воздуховодов систем общего назначения . . . . . . Приложение 6. Коэффициенты местных сопротивлений деталей приточных и вытяжных систем Приложение 7. Подбор диафрагм для металлических воздуховодов круглого и прямоугольного сечения Приложение 8. Величины для металлических воздуховодов систем аспирации Приложение 9. Коэффициенты местных сопротивлений металлических воздуховодов систем аспирации Приложение 10. Подбор конусных диафрагм для воздуховодов систем аспирации Приложение 11. Формулы для определения коэффициентов местных сопротивлений Список литературы |
| Разработан: | ВНИИГС Минмонтажспецстроя СССР ГПИ Сантехпроект Госстроя СССР ГПИ Проектпромвентиляция |
| Заменяет собой: |
|
| Нормативные ссылки: |













































































































































































































