Скачать ГОСТ 33482-2015 Продукты пищевые, сырье продовольственное, комбикорма. Метод определения содержания анаболических стероидов и производных стильбена с помощью высокоэффективной жидкостной хроматографии с масс-спектрометрическим детектированиемДата актуализации: 01.01.2021
|
| Обозначение: | ГОСТ 33482-2015 |
| Обозначение англ: | GOST 33482-2015 |
| Статус: | введен впервые |
| Название рус.: | Продукты пищевые, сырье продовольственное, комбикорма. Метод определения содержания анаболических стероидов и производных стильбена с помощью высокоэффективной жидкостной хроматографии с масс-спектрометрическим детектированием |
| Название англ.: | Food products, food raw materials, mixed feeds. Method for determination of anabolic steroids and stilbene derivatives by high performance liquid chromatography-mass spectrometry |
| Дата добавления в базу: | 01.02.2017 |
| Дата актуализации: | 01.01.2021 |
| Дата введения: | 01.01.2017 |
| Область применения: | Стандарт распространяется на пищевые продукты и непереработанную пищевую продукцию животного происхождения в части мяса, в том числе из мяса птицы, субпродуктов (печень), рыбу, комбикорма и устанавливает метод высокоэффективной жидкостной хроматографии с масс-спектрометрическим детектированием (далее - ВЭЖХ-МС/МС) для определения содержания анаболических стероидов и производных стильбена в диапазоне измерений: - для альфа-тренболона, бетта-тренболона в мясе, рыбе - от 0,05 до 5,00 мкг/кг; - меленгестрол ацетата, альфа-нортестостерона, бетта-нортестостерона, альфа-зеараланола, бетта-зеараланола, альфа-зеараленола в мясе, рыбе - от 0,2 до 5,0 мкг/кг; - альфа-тренболона, бетта-тренболона, альфа-зеараланола, бетта-зеараланола, альфа-зеараленола в печени - от 0,5 до 30,0 мкг/кг; - альфа-нортестостерона, бетта-нортестостерона в печени - от 2,0 до 30,0 мкг/кг; - гексэстрола, диэтилстильбестрола, мегестрола ацетата, медроксипрогестерона, метилболденона, метилтестостерона, бетта-тестостерона, преднизолона, метилпреднизолона, дексаметазона в мясе, печени, рыбе и комбикорме - от 0,5 до 30,0 мкг/кг. |
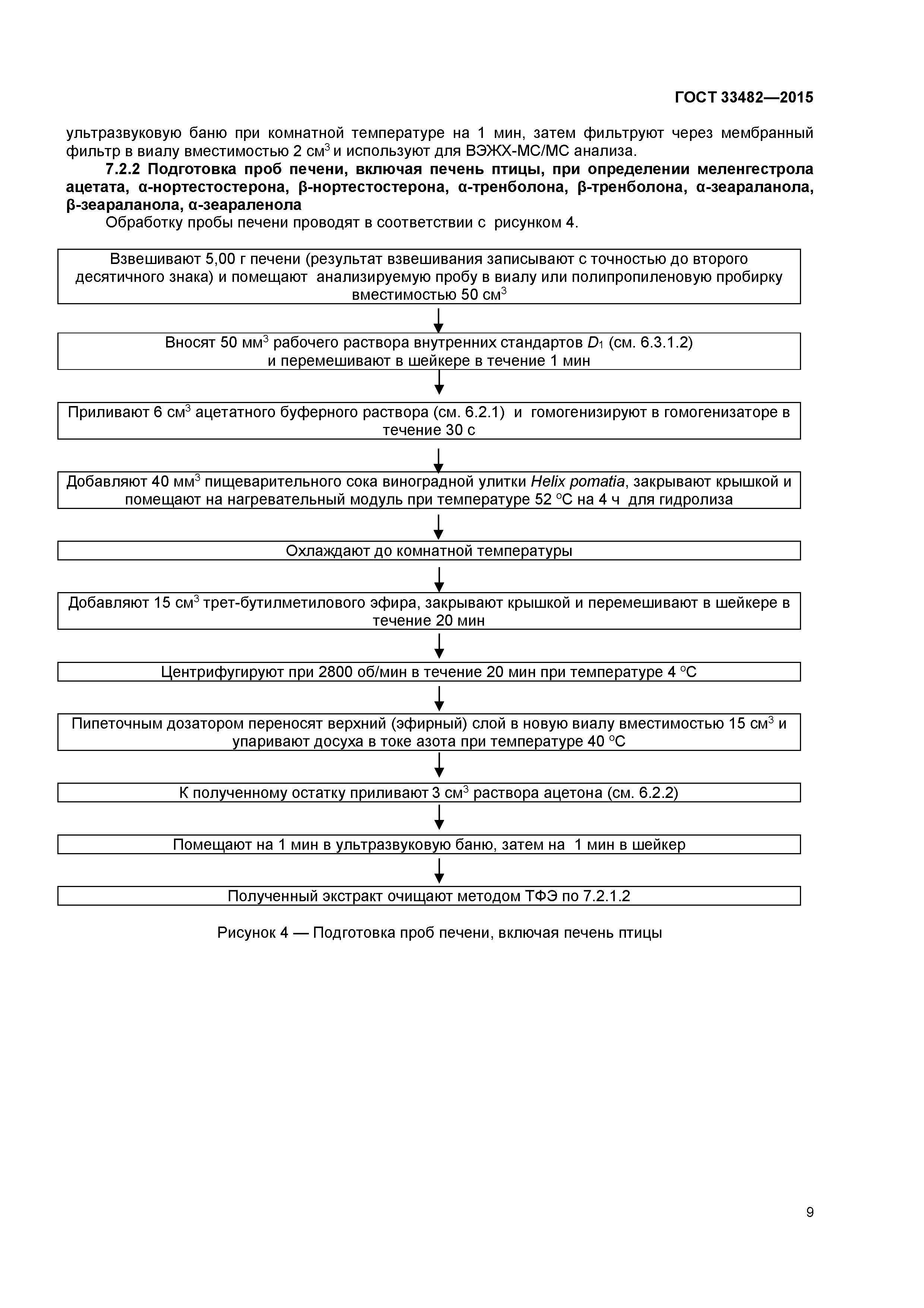
| Оглавление: | 1 Область применения 2 Нормативные ссылки 3 Сущность метода 4 Требования безопасности и условия выполнения измерений 5 Средства измерений, аппаратура, материалы, посуда и реактивы 6 Подготовка к проведению измерений 7 Отбор и подготовка проб 8 Порядок выполнения анализа 9 Обработка результатов измерений 10 Метрологические характеристики 11 Оформление результатов измерений 12 Контроль правильности результатов измерений |
| Разработан: | ФГБУ ВГНКИ |
| Утверждён: | 27.10.2015 Межгосударственный Совет по стандартизации, метрологии и сертификации (Inter-Governmental Council on Standardization, Metrology, and Certification 81-П) 13.11.2015 Федеральное агентство по техническому регулированию и метрологии (1808-ст) |
| Издан: | Стандартинформ (2016 г. ) |
| Список изменений: |
|
| Нормативные ссылки: |
|
























Текстовое изменение Поправка от 20.04.2017
Текстовое изменение № 1 от 01.02.2019

Текстовое изменение Поправка к Изменению № 1 от 06.09.2019
Текстовое изменение Поправка от 07.02.2020