Скачать ГОСТ 33702-2015 Системы измерений количества и показателей качества газового конденсата, сжиженного углеводородного газа и широкой фракции легких углеводородов. Общие технические требованияДата актуализации: 01.01.2021
|
| Обозначение: | ГОСТ 33702-2015 |
| Обозначение англ: | GOST 33702-2015 |
| Статус: | введен впервые |
| Название рус.: | Системы измерений количества и показателей качества газового конденсата, сжиженного углеводородного газа и широкой фракции легких углеводородов. Общие технические требования |
| Название англ.: | Accounting systems of hydrocarbon condensate, liquefied hydrocarbon gas and long distillate of light hydrocarbons. General technical requirements |
| Дата добавления в базу: | 01.02.2017 |
| Дата актуализации: | 01.01.2021 |
| Дата введения: | 01.02.2017 |
| Область применения: | Стандарт распространяется на системы измерений количества и показателей качества газового конденсата, сжиженного углеводородного газа, широкой фракции легких углеводородов при ведении учетных операций и устанавливает основные метрологические и технические требования к ним. Стандарт распространяется на вновь строящиеся и реконструируемые системы измерений количества и показателей качества газового конденсата, сжиженного углеводородного газа, широкой фракции легких углеводородов и применяется при проектировании, изготовлении, монтаже и эксплуатации. |
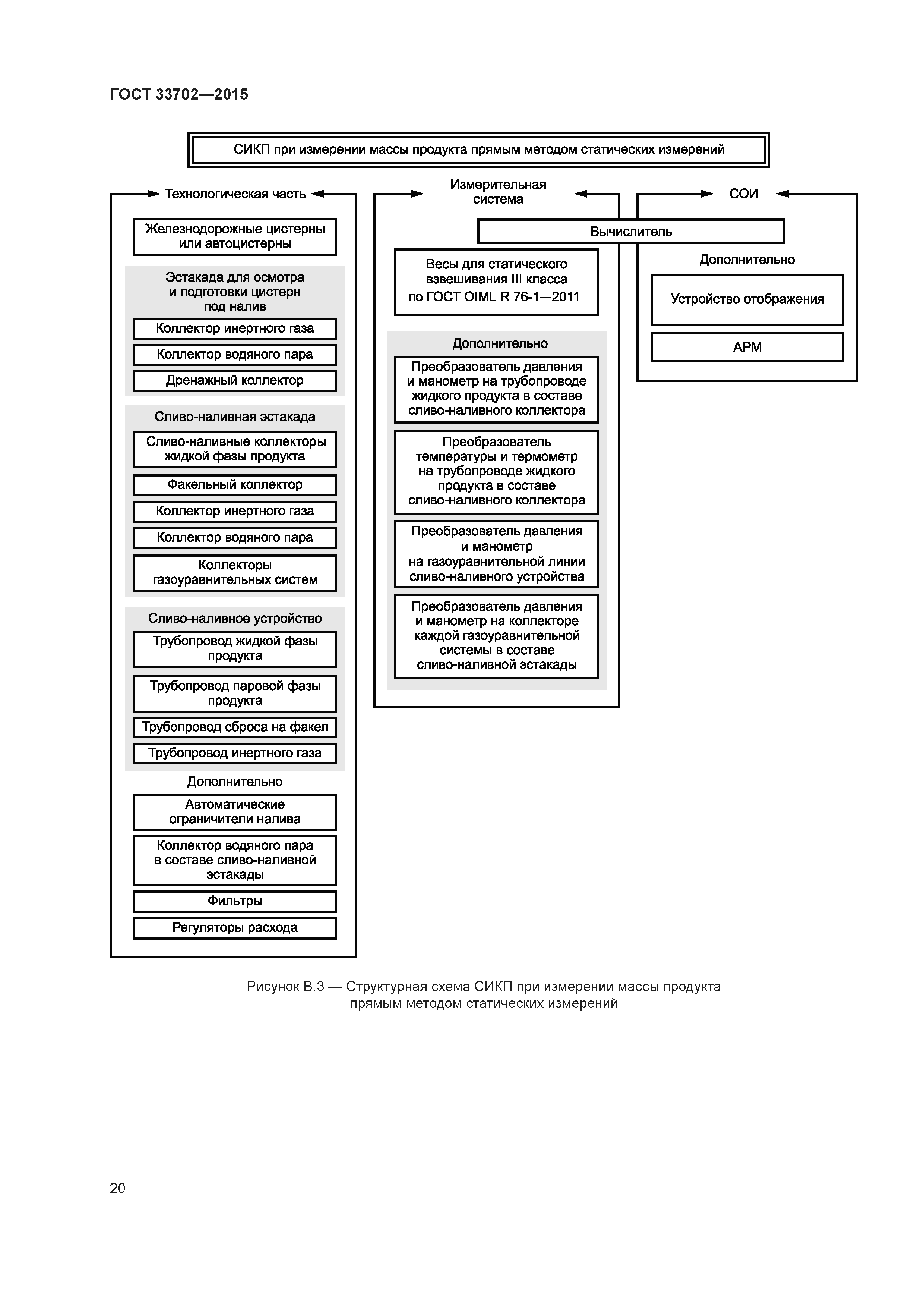
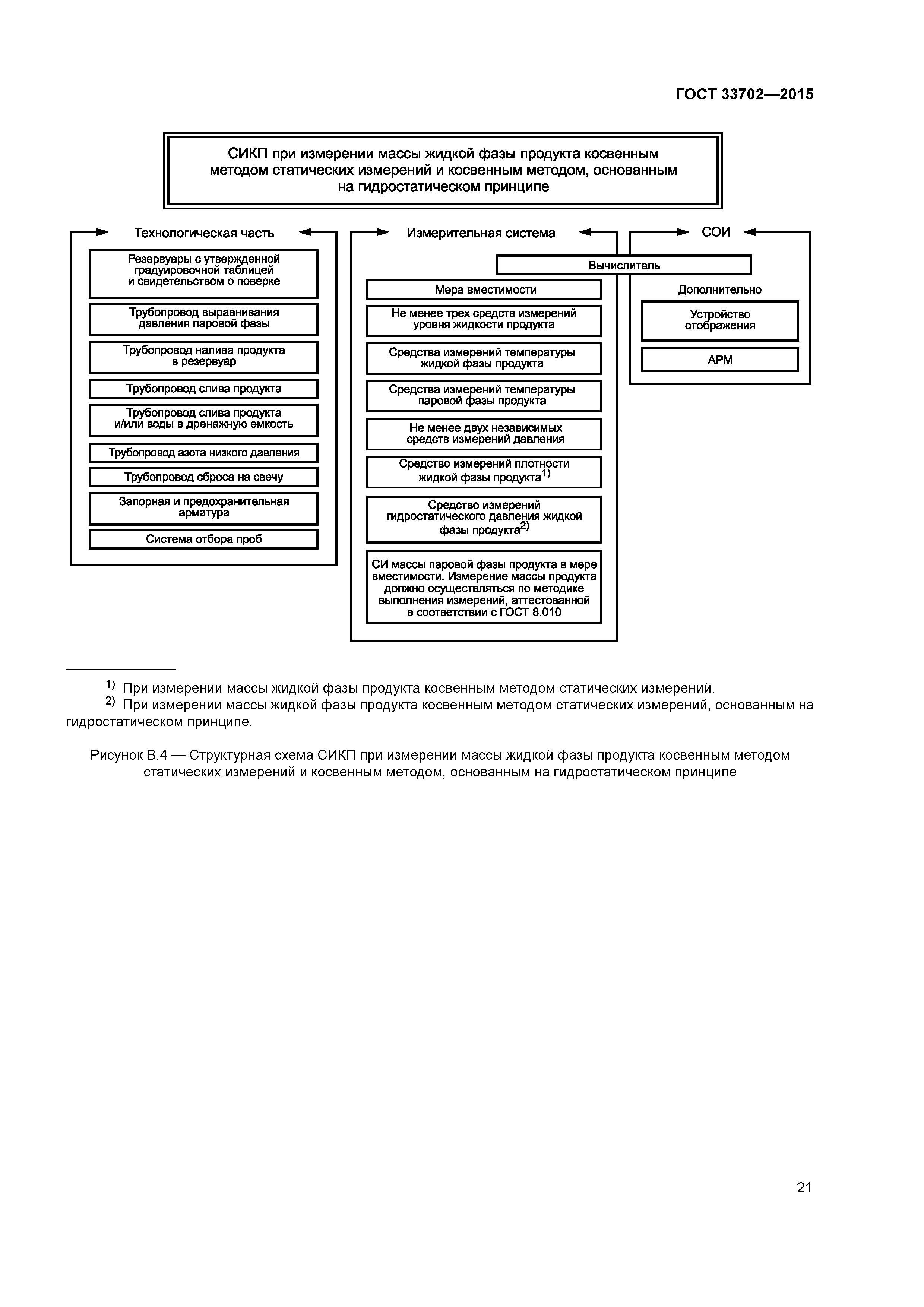
| Оглавление: | 1 Область применения 2 Нормативные ссылки 3 Термины и определения 4 Сокращения 5 Основные требования к системам измерений количества и показателей качества продукта 6 Общие требования к метрологическому обеспечению СИКП Приложение А (обязательное) Форма технических требований к системе измерений количества и показателей качества продукта Приложение Б (обязательное) Требования к техническому заданию на проектирование СИКП Приложение В (справочное) Структурные схемы СИКП Приложение Г (рекомендуемое) Требования к средствам измерений и оборудованию в составе СИКП при применении прямого метода динамических измерений Приложение Д (рекомендуемое) Требования к средствам измерений и оборудованию в составе СИКП при применении косвенного метода динамических измерений Приложение Е (рекомендуемое) Требования к средствам измерений и оборудованию в составе СИКП при измерении массы продукта прямым методом статических измерений Приложение Ж (рекомендуемое) Требования к средствам измерений и оборудованию в составе СИКП при измерении массы продукта косвенным методом статических измерений и косвенным методом, основанным на гидростатическом принципе Приложение И (рекомендуемое) Примеры схем СИКП при выполнении измерений прямым и косвенным методами динамических измерений Приложение К (рекомендуемое) Пример схемы СИКП при выполнении измерений косвенным методом статических измерений и косвенным методом, основанным на гидростатическом принципе Библиография |
| Разработан: | ФГУП ВНИИР ООО СТП ОАО НК Роснефть |
| Утверждён: | 10.12.2015 Межгосударственный Совет по стандартизации, метрологии и сертификации (Inter-Governmental Council on Standardization, Metrology, and Certification 48) 20.07.2016 Федеральное агентство по техническому регулированию и метрологии (865-ст) |
| Издан: | Стандартинформ (2016 г. ) Стандартинформ (2019 г. ) |
| Нормативные ссылки: |
|













































