Скачать МУК 4.1.2983-12 Определение остаточных количеств пираклостробина в зеленой массе, зерне и масле кукурузы, в семенах и масле сои, подсолнечника и рапса, в плодах томатов и огурцов, томатном соке, корнеплодах моркови, луке-репке, капусте и клубнях картофеля методом высокоэффективной жидкостной хроматографииДата актуализации: 01.01.2021
|
| Обозначение: | МУК 4.1.2983-12 |
| Обозначение англ: | MUK 4.1.2983-12 |
| Статус: | введен впервые |
| Название рус.: | Определение остаточных количеств пираклостробина в зеленой массе, зерне и масле кукурузы, в семенах и масле сои, подсолнечника и рапса, в плодах томатов и огурцов, томатном соке, корнеплодах моркови, луке-репке, капусте и клубнях картофеля методом высокоэффективной жидкостной хроматографии |
| Дата добавления в базу: | 01.02.2017 |
| Дата актуализации: | 01.01.2021 |
| Дата введения: | 19.03.2012 |
| Область применения: | Методические указания устанавливают метод высокоэффективной жидкостной хроматографии для определения уровня остаточных количеств пираклостробина в зеленой массе кукурузы в диапазоне 0,05 - 0,5 мг/кг, в зерне и масле кукурузы, в семенах и масле сои, подсолнечника и рапса в диапазоне 0,02 - 0,2 мг/кг, в плодах томатов и огурцов, томатном соке, корнеплодах моркови, луке-репке и капусте в диапазоне 0,1 - 1,0 мг/кг, в клубнях картофеля в диапазоне 0,01 - 0,1 мг/кг. |
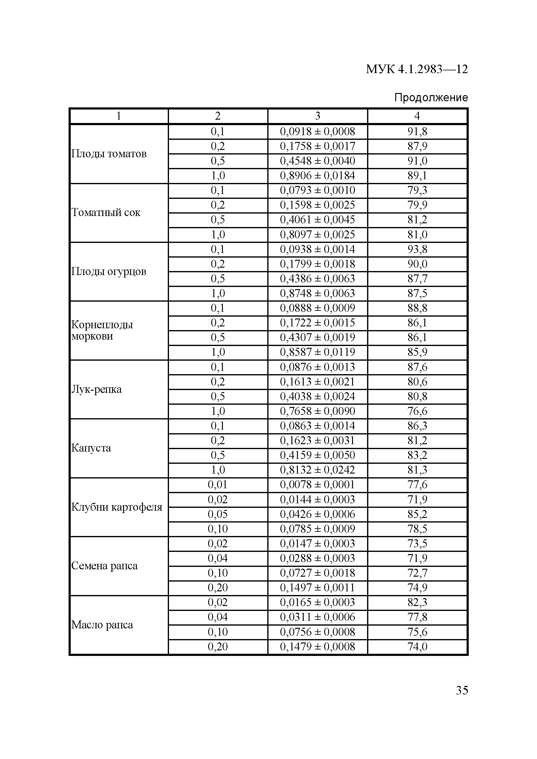
| Оглавление: | 1. Метрологическая характеристика метода 2. Метод измерений 3. Средства измерений, реактивы, вспомогательные устройства и материалы 3.1. Средства измерений 3.2. Реактивы 3.3. Вспомогательные устройства и материалы 4. Требования безопасности 5. Требования к квалификации операторов 6. Условия измерений 7. Подготовка к выполнению определений 7.1. Подготовка органических растворителей 7.1.1. Очистка ацетонитрила 7.1.2. Очистка ацетона 7.1.3. Приготовление бидистиллированной воды 7.2. Приготовление растворов для проведения анализа 7.2.1. Приготовление подвижной фазы для ВЭЖХ 7.2.2. Приготовление градуировочных растворов 7.3. Установление градуировочной характеристики 7.4. Подготовка колонки с окисью алюминия для очистки экстракта и проверка хроматографического поведения пираклостробина на ней 7.4.1. Проверка хроматографического поведения пираклостробина на колонке с окисью алюминия 7.4.2. Проверка хроматографического поведения пираклостробина на колонке с окисью алюминия 7.5. Подготовка колонки с силикагелем для очистки экстракта и проверка хроматографического поведения пираклостробина на ней 7.5.1. Проверка хроматографического поведения пираклостробина на колонке с силикагелем 7.5.2. Проверка хроматографического поведения пираклостробина на колонке с силикагелем 7.6. Подготовка концентрирующих патронов Диапак Амин для очистки экстрактов и проверка хроматографического поведения пираклостробина на них с использованием органических растворителей 7.6.1. Подготовка концентрирующих патронов Диапак Амин для очистки экстракта 7.6.2. Проверка хроматографического поведения пираклостробина на концентрирующих патронах Диапак Амин 7.7. Подготовка концентрирующих патронов Диапак Амин для очистки экстрактов и проверка хроматографического поведения пираклостробина на них с использованием водно-органических смесей 7.7.1. Подготовка концентрирующих патронов Диапак Амин для очистки экстракта 7.7.2. Проверка хроматографического поведения пираклостробина на концентрирующих патронах Диапак Амин 7.8. Подготовка концентрирующих патронов Диапак С16 для очистки экстрактов и проверка хроматографического поведения пираклостробина на них 7.8.1. Подготовка концентрирующих патронов Диапак С16 для очистки экстракта 7.8.2. Проверка хроматографического поведения пираклостробина на концентрирующих патронах Диапак С16 7.9. Подготовка и кондиционирование колонки для жидкостной хроматографии 8. Отбор проб и хранение 9. Подготовка проб и выполнение измерений 9.1. Зеленая масса кукурузы 9.1.1. Экстракция 9.1.2. Очистка экстракта перераспределением в системе несмешивающихся растворителей 9.1.3. Очистка экстракта на колонке с окисью алюминия 9.1.4. Очистка экстракта на концентрирующих патронах Диапак Амин 9.1.5. Повторная очистка экстракта перераспределением в системе несмешивающихся растворителей 9.1.6. Очистка экстракта на концентрирующих патронах Диапак С16 9.2. Зерно кукурузы и семена сои 9.2.1. Экстракция 9.2.2. Очистка экстракта перераспределением в системе несмешивающихся растворителей 9.2.3. Очистка экстракта на колонке с окисью алюминия и на концентрирующих патронах Диапак С16 9.3. Масло кукурузы и сои 9.3.1. Экстракция и очистка полученного экстракта перераспределением в системе несмешивающихся растворителей 9.4. Семена подсолнечника 9.4.1. Экстракция 9.5. Масло подсолнечника 9.5.1. Экстракция и очистка экстракта перераспределением в системе несмешивающихся растворителей 9.5.2. Очистка экстракта перераспределением в системе несмешивающихся растворителей 9.6. Капуста, плоды томатов и огурцов 9.6.1. Экстракция 9.7. Корнеплоды моркови и лук-репка 9.7.1. Экстракция 9.8. Клубни картофеля 9.8.1. Экстракция 9.9. Томатный сок 9.9.1. Экстракция 9.10. Семена рапса 9.10.1. Экстракция и очистка полученного экстракта 9.10.2. Очистка экстракта на колонке с силикагелем 9.10.3. Очистка экстракта на концентрирующих патронах Диапак Амин 9.11. Масло рапса 9.11.1. Экстракция и очистка экстракта перераспределением в системе несмешивающихся растворителей 9.12. Условия хроматографирования 10. Обработка результатов 11. Проверка приемлемости результатов параллельных определений 12. Оформление результатов 13. Контроль качества результатов измерений 14. Разработчики Приложение 1. Полнота извлечения пираклостробина из зеленой массы, зерна и масла кукурузы, из семян и масла сои и подсолнечника, из плодов томатов и огурцов, томатного сока, корнеплодов моркови, лука-репки, капусты и клубней картофеля (5 повторностей для каждой концентрации, Р = 0,95) |
| Разработан: | Федеральный научный центр гигиены им. Ф.Ф. Эрисмана |
| Утверждён: | 19.03.2012 Руководитель Федеральной службы по надзору в сфере защиты прав потребителей и благополучия человека, Главный государственный санитарный врач РФ |
| Издан: | Роспотребнадзор (2012 г. ) |
| Нормативные ссылки: |
|


































