Скачать ГОСТ Р 57194.2-2016 Трансфер технологий. Результаты интеллектуальной деятельностиДата актуализации: 01.01.2021
|
| Обозначение: | ГОСТ Р 57194.2-2016 |
| Обозначение англ: | GOST R 57194.2-2016 |
| Статус: | введен впервые |
| Название рус.: | Трансфер технологий. Результаты интеллектуальной деятельности |
| Название англ.: | Technologies transfer. Results of intellectual activities |
| Дата добавления в базу: | 01.02.2017 |
| Дата актуализации: | 01.01.2021 |
| Дата введения: | 01.05.2017 |
| Область применения: | Стандарт устанавливает объекты интеллектуальной собственности, подлежащие трансферу технологий, требования к составу сведений об этих объектах при трансфере технологий, порядок правовой охраны результатов интеллектуальной деятельности (РИД) при трансфере технологий. Стандарт устанавливает полномочия участников трансфера технологий, их обязанности, порядок взаимодействия, порядок документального оформления в области РИД. Требования стандарта являются общими и предназначены для применения всеми организациями независимо от их форм собственности, масштаба и поставляемой продукции/оказываемых услуг. |
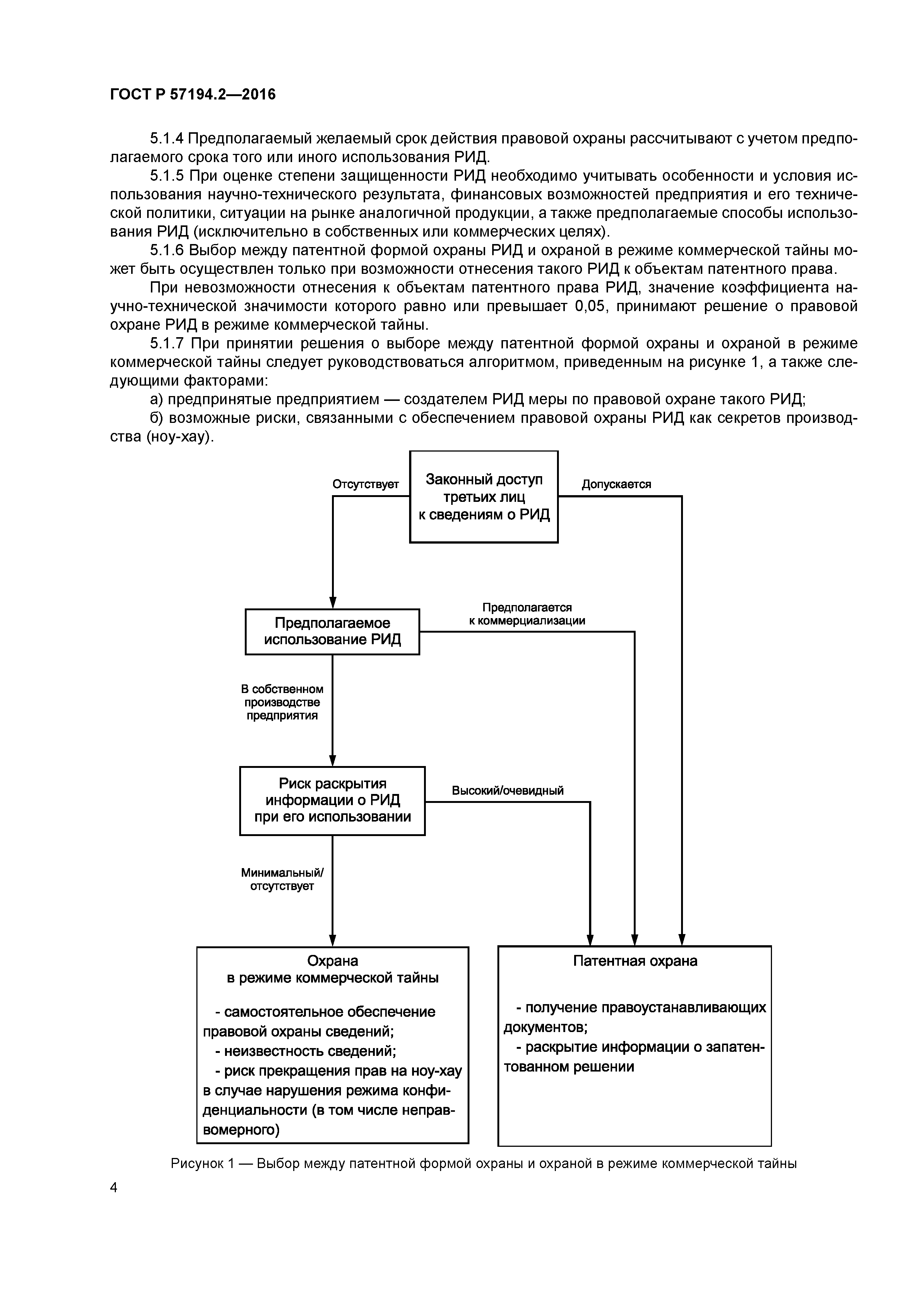
| Оглавление: | 1 Область применения 2 Нормативные ссылки 3 Термины и определения 4 Передача результатов интеллектуальной деятельности при трансфере технологий 5 Охрана результатов интеллектуальной деятельности при трансфере технологий 6 Документальное оформление инвентаризации прав на результаты интеллектуальной деятельности при трансфере технологий Приложение А (справочное) Методика определения коэффициента научно-технической значимости результата интеллектуальной деятельности Приложение Б (справочное) Классификация результатов интеллектуальной деятельности Приложение В (справочное) Форма акта инвентаризации результатов интеллектуальной деятельности Библиография |
| Разработан: | ФГУП НИИСУ ФГБУ НИЦ Институт им. Н.Е. Жуковского |
| Утверждён: | 31.10.2016 Федеральное агентство по техническому регулированию и метрологии (1543-ст) |
| Издан: | Стандартинформ (2016 г. ) |
| Нормативные ссылки: |
|


















