Скачать ГОСТ Р 56645.3-2015 Системы дизайн-менеджмента. Руководство по управлению инновациямиДата актуализации: 01.01.2021
|
| Обозначение: | ГОСТ Р 56645.3-2015 |
| Обозначение англ: | GOST R 56645.3-2015 |
| Статус: | введен впервые |
| Название рус.: | Системы дизайн-менеджмента. Руководство по управлению инновациями |
| Название англ.: | Design management systems. Guide to managing innovation |
| Дата добавления в базу: | 01.02.2017 |
| Дата актуализации: | 01.01.2021 |
| Дата введения: | 01.06.2016 |
| Область применения: | Стандарт содержит руководство по управлению инновациями, в частности дизайна и разработки инновационной и конкурентоспособной продукции, удовлетворяющей очевидные потребности и пожелания клиента в долгосрочной перспективе. Стандарт помогает увеличить период планирования до, по меньшей мере, двух поколений после поколения, ныне находящегося в разработке. Стандарт рассматривает совокупный опыт и преимущества, получаемые от введения новшеств, а также применение общих принципов и методов в управлении инновациями, от первоначальной идеи, создания, изготовления, доставки и поддержки на рынке до отзыва, утилизации, переработки и разработки последующих поколений существующих предложений. Стандарт применим ко всем типам организаций (не в последнюю очередь к малым предприятиям и предприятиям средней величины, ищущим возможности роста) в обрабатывающей, строительной промышленности, сфере облуживания, а также государственном и некоммерческом секторах. Стандарт охватывает все уровни персонала и менеджмента. Данное руководство приведено в соответствие с другими руководствами по дизайн-менеджменту: BS 7000-2, BS 7000-3, BS 7000-4 и BS 7000-6. Руководством дается представление о том, каких результатов можно достичь на всех уровнях организации. Стандарт дополняет стандарт BS EN ISO 9001. Инновации играют важную роль в поддержании удовлетворенности клиентов в долгосрочной перспективе. Все без исключения инновации проектируются. Ни одну инновацию невозможно внедрить или вывести на рынок, не преодолев, по меньшей мере, один этап проектирования. Стандартом предлагается подробное руководство применительно к системам управления инновациями, помогающее добиться желаемого качества и удовлетворенности клиентов (см. разделы 5 и 6). Приведенные в тексте примечания отражают пункты, способствующие выполнению требований данной широко применяемой спецификации. |
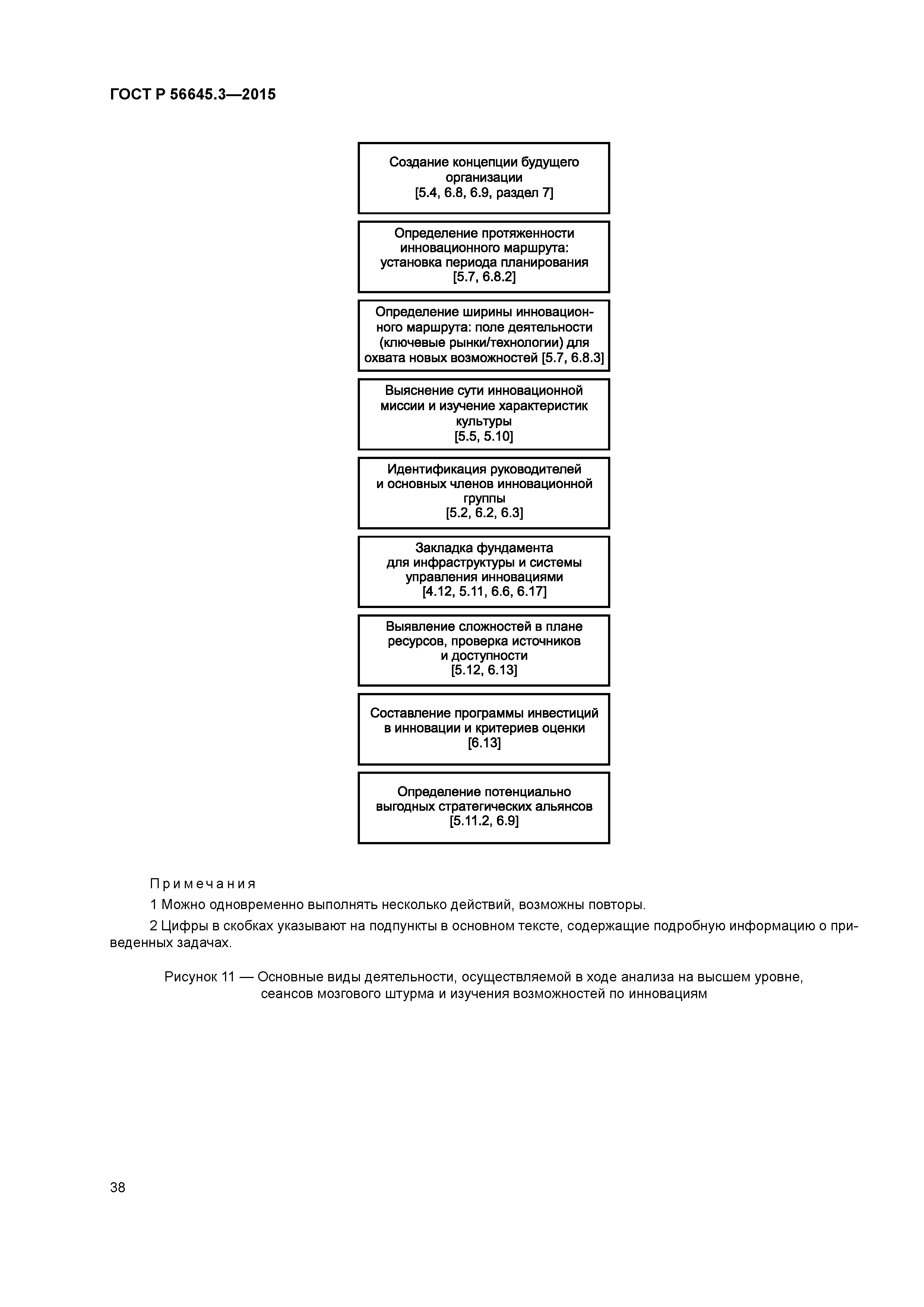
| Оглавление: | 1 Область применения 2 Нормативные ссылки 3 Термины и определения 4 Инновации, нововведения и обзор основ управления инновациями. 4.1 Схема полной структуры управления инновациями 4.2 Планирование за рамками текущих горизонтов 4.3 Координация работы, рассчитанной на краткосрочную и долгосрочную перспективу 4.4 Характер инноваций 4.5 Основания для внедрения инноваций 4.6 Инновации и высокая производительность 4.7 Радикальность инноваций 4.8 Источники нововведений 4.9 Цепочка ценностей 4.10 Внедрение изменений стечением времени 4.11 Управление инновациями и изменениями 4.12 Основа эффективного управления инновациями 5 Управление инновациями на уровне организации 5.1 Общие положения 5.2 Закрепление ответственности за ведение инновационной деятельности 5.3 Этап 1. Анализ действующих инновационных практик с целью определения потенциала развития 5.4 Этап 2. Создание концепции будущего 5.5 Этап 3. Составление заявления касательно инноваций 5.6 Этап 4. Выделение целей и стратегий инновации из общих целей и стратегий организации 5.7 Этап 5. Определение инновационного маршрута 5.8 Этап 6. Планирование внедрения нового подхода к инновациям 5.9 Этап 7. Изложение сути миссии, целей и стратегий инноваций 5.10 Этап 8. Продвижение культуры взращивания инноваций 5.11 Этап 9. Укрепление инфраструктуры и накопление профессиональных навыков для управления инновациями 5.12 Этап 10. Составление программы управления инновациями 5.13 Этап 11. Внедрение программы и поддержка нового подхода к инновациям 5.14 Этап 12. Оценка прогресса и пользы программы управления инновациями 5.15 Этап 13. Развитие характерных компетенций и создание конкурентного преимущества посредством инноваций 5.16 Этап 14. Фиксация, распространение, оглашение и чествование достижений, сделанных посредством инноваций 5.17 Этап 15. Укрепление репутации организации с помощью инноваций 5.18 Этап 16. Анализ и оптимизация общего подхода к инновациям 6 Эксплуатация структуры управления инновациями. Подробная информация 6.1 Общие положения 6.2 Идентификация инновационного лидера 6.3 Отбор членов основной инновационной группы 6.4 Выделение времени для планирования будущего в долгосрочной перспективе 6.5 Гарантия занятости 6.6 Управление инновационными проектами, характеризующимися ярко выраженными этапами, при помощи промежуточных обзоров 6.7 Область проверки существующих инновационных методик 6.8 Анализ, выполненный на высшем уровне, и сеансы мозгового штурма по инновациям/анализ возможностей 6.9 Создание инновационных альянсов 6.10 Сеансы мозгового штурма и обзоры проекта, осуществляемые инновационной группой 6.11 Управление инновациями и степень воздействия на окружающую среду 6.12 Юридический аспект управления инновациями 6.13 Обеспечение ресурсов в долгосрочной перспективе: инвестиции в инновации 6.14 Сокращение сроков выполнения проектов 6.15 Разукомплектование 6.16 Планирование отзыва и замены продукции 6.17 Оценка процессов и инфраструктуры 6.18 Способность оперативно реагировать на предоставившиеся возможности и, при необходимости, гибкость при изменении направления инноваций 7 Методики и инструменты для управления инновациями 7.1 Запись и архивация идей 7.2 Ретроспекция 7.3 Мозговой штурм 7.4 Циклы взаимодействия "клиент — продукт" 7.5 Этнографическое исследование 7.6 Инклюзивный дизайн 7.7 Интеллектуальная собственность 7.8 Управление знаниями 7.9 Создание макета 7.10 Оценка риска 7.11 Планирование сценария 7.12 Интернет, внутренние корпоративные сети, экстрасети и вики 7.13 Дизайн, ориентированный на пользователя 7.14 Визуализация Приложение ДА (справочное) Сведения о соответствии ссылочных национальных стандартов Британии национальным стандартам Российской Федерации Библиография |
| Разработан: | ОАО НИЦ КД ФГУП НИИСУ |
| Утверждён: | 19.10.2015 Федеральное агентство по техническому регулированию и метрологии (1575-ст) |
| Издан: | Стандартинформ (2016 г. ) |













































































