Скачать ГОСТ Р 57353-2016 Опоры строительных конструкций. Часть 2. Элементы скользящие сейсмоизолирующих опор зданий. Технические условияДата актуализации: 01.01.2021
|
| Обозначение: | ГОСТ Р 57353-2016 |
| Обозначение англ: | GOST R 57353-2016 |
| Статус: | приостановлено действие |
| Название рус.: | Опоры строительных конструкций. Часть 2. Элементы скользящие сейсмоизолирующих опор зданий. Технические условия |
| Название англ.: | Structural bearings. Part 2. Sliding seismic isolation supports elements of buildings. Specifications |
| Дата добавления в базу: | 05.05.2017 |
| Дата актуализации: | 01.01.2021 |
| Дата введения: | 01.07.2017 |
| Дата окончания срока действия: | 14.01.2020 |
| Область применения: | Стандарт содержит данные по определению размеров и изготовлению скользящих частей и направляющих, являющихся не опорами, а исключительно их деталями, для соединения с опорами, регламентированными в других стандартах серии ЕН 1337. |
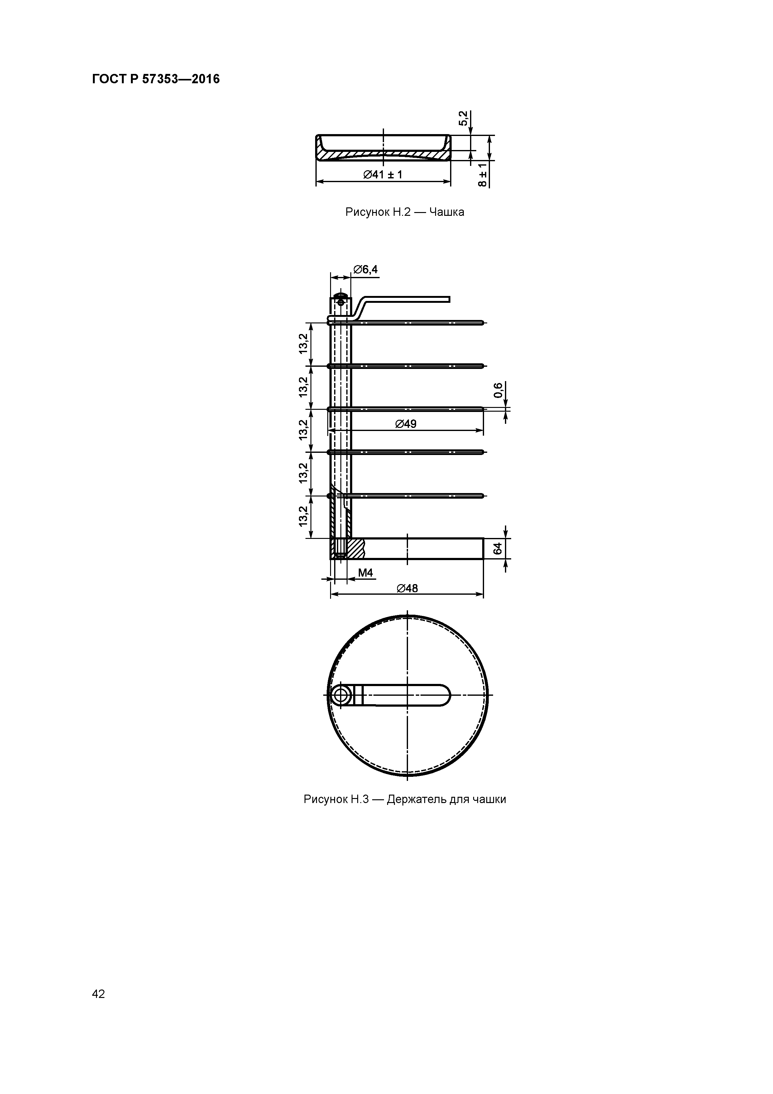
| Оглавление: | 1 Область применения 2 Нормативные ссылки 3 Термины, определения, обозначения и сокращения 3.1 Термины и определения 3.2 Обозначения 3.3 Сокращения 4 Функциональные требования 4.1 Скользящие части и направляющие, которые имеют поверхности с плитами из ПТФЭ 4.2 Направляющие с многослойным материалом МСМ1 и МСМ2 5 Свойства материалов 5.1 Общие положения 5.2 Плиты ПТФЭ 5.3 Многослойные материалы 5.4 Аустенитная листовая сталь 5.5 Поверхности с твердым хромированием 5.6 Материалы для несущих пластин, содержащие железо 5.7 Алюминий 5.8 Смазка 5.9 Клей для закрепления аустенитной листовой стали 6 Требования к определению размеров 6.1 Комбинации (сопряжения) скользящих материалов 6.2 Плиты из ПТФЭ 6.3 Многослойные материалы 6.4 Направляющие 6.5 Аустенитная листовая сталь 6.6 Характеристическая прочность на сжатие скользящих материалов 6.7 Коэффициент трения 6.8 Подтверждение определения размеров поверхностей скольжения 6.9 Расчетные подтверждения для несущих пластин скольжения 7 Изготовление, сборка и допуски 7.1 Несущие пластины 7.2 Крепление скользящих материалов 7.3 Защита от загрязнений и коррозии 7.4 Смазка 7.5 Тарировочные поверхности для монтажа опоры 8 Оценка соответствия 8.1 Общие требования 8.2 Контроль продукции и ее изготовление 8.3 Материалы и комплектующие 8.4 Взятие образцов 9 Монтаж 10 Данные для контроля в процессе эксплуатации Приложение А (справочное) Уменьшенные поверхности контакта скользящих частей Приложение В (справочное) Коэффициенты трения плит ПТФЭ с карманами для смазки Приложение С (справочное) Методы расчета деформации несущих пластин, которые соединены с бетоном Приложение D (обязательное) Испытания трения скольжения Приложение Е (обязательное) Поверхности с твердым хромированием. Ферроксильная проверка Приложение F (справочное) Измерение толщины анодированных покрытий Приложение G (справочное) Смазка. Испытание маслоотделения Приложение Н (обязательное) Устойчивость смазки к окислению Приложение I (обязательное) Клей для аустенитной листовой стали. Проверка среза при наложении Приложение J (обязательное) Заводской производственный контроль Приложение К (справочное) Выборочная проверка Приложение ДА (справочное) Сведения о соответствии ссылочных международных и европейских стандартов национальным и межгосударственным стандартам Библиография |
| Разработан: | ФГУП СТАНДАРТИНФОРМ АО НИЦ Строительство - ЦНИИСК им. В.А. Кучеренко |
| Утверждён: | 13.12.2013 Федеральное агентство по техническому регулированию и метрологии (2023-ст) |
| Издан: | Стандартинформ (2017 г. ) |
| Нормативные ссылки: |
|





















































