Скачать Методическое пособие. Проектирование железобетонных конструкций с применением сварных сеток и каркасов заводского изготовленияДата актуализации: 01.01.2021 |
| Статус: | действует |
| Название рус.: | Методическое пособие. Проектирование железобетонных конструкций с применением сварных сеток и каркасов заводского изготовления |
| Дата добавления в базу: | 05.05.2017 |
| Дата актуализации: | 01.01.2021 |
| Область применения: | Пособие распространяется на проектирование монолитных железобетонных конструкций без предварительного напряжения объектов жилищного и гражданского строительства, с преимущественным применением готовых сварных арматурных изделий (сеток, каркасов и др.), которые производятся отраслевыми металлосервисными центрами на базе металлургических предприятий, подразделений крупных комбинатов ЖБИ, специализирующихся на переработке арматурного проката на современном сварочном оборудовании. |
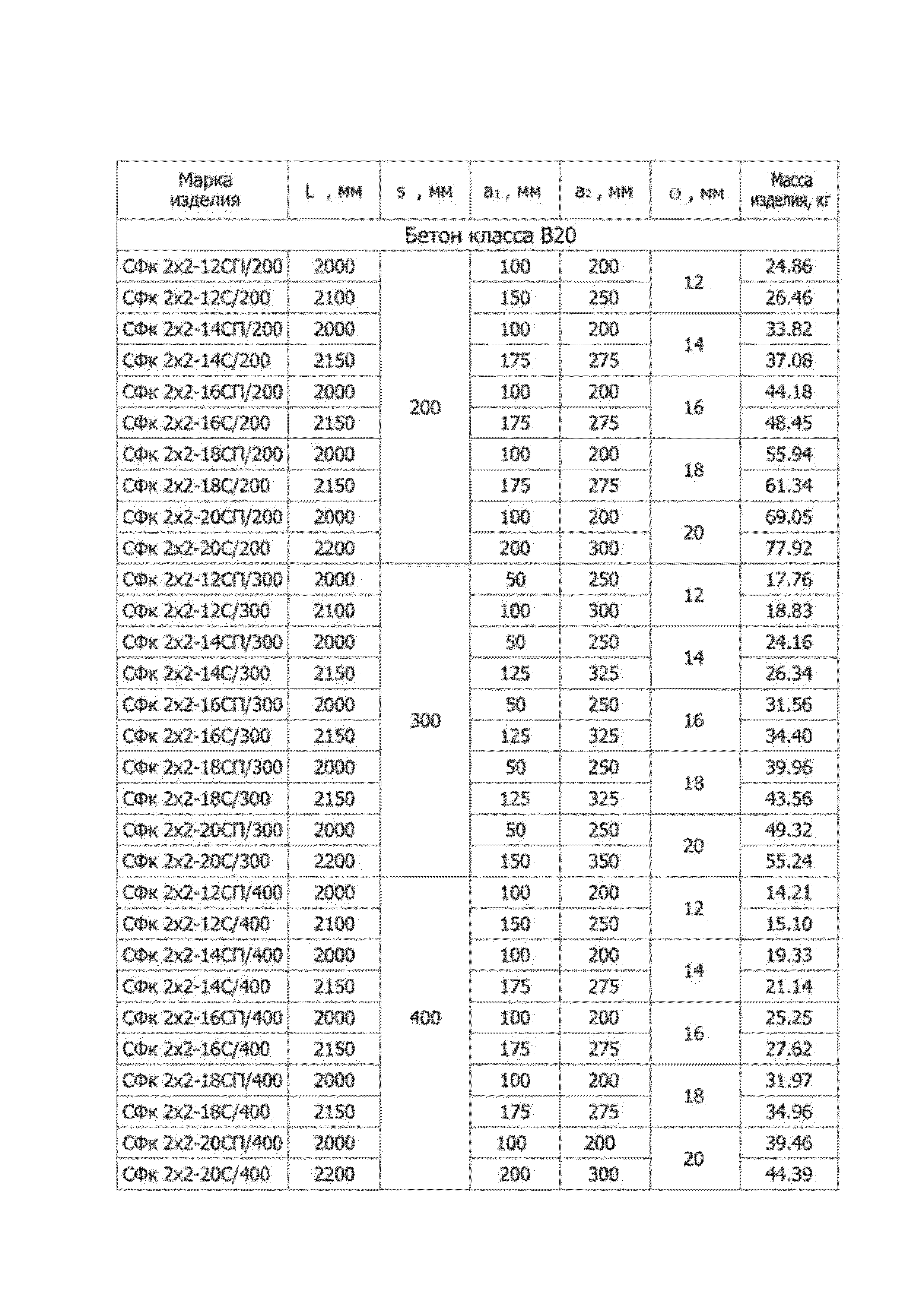
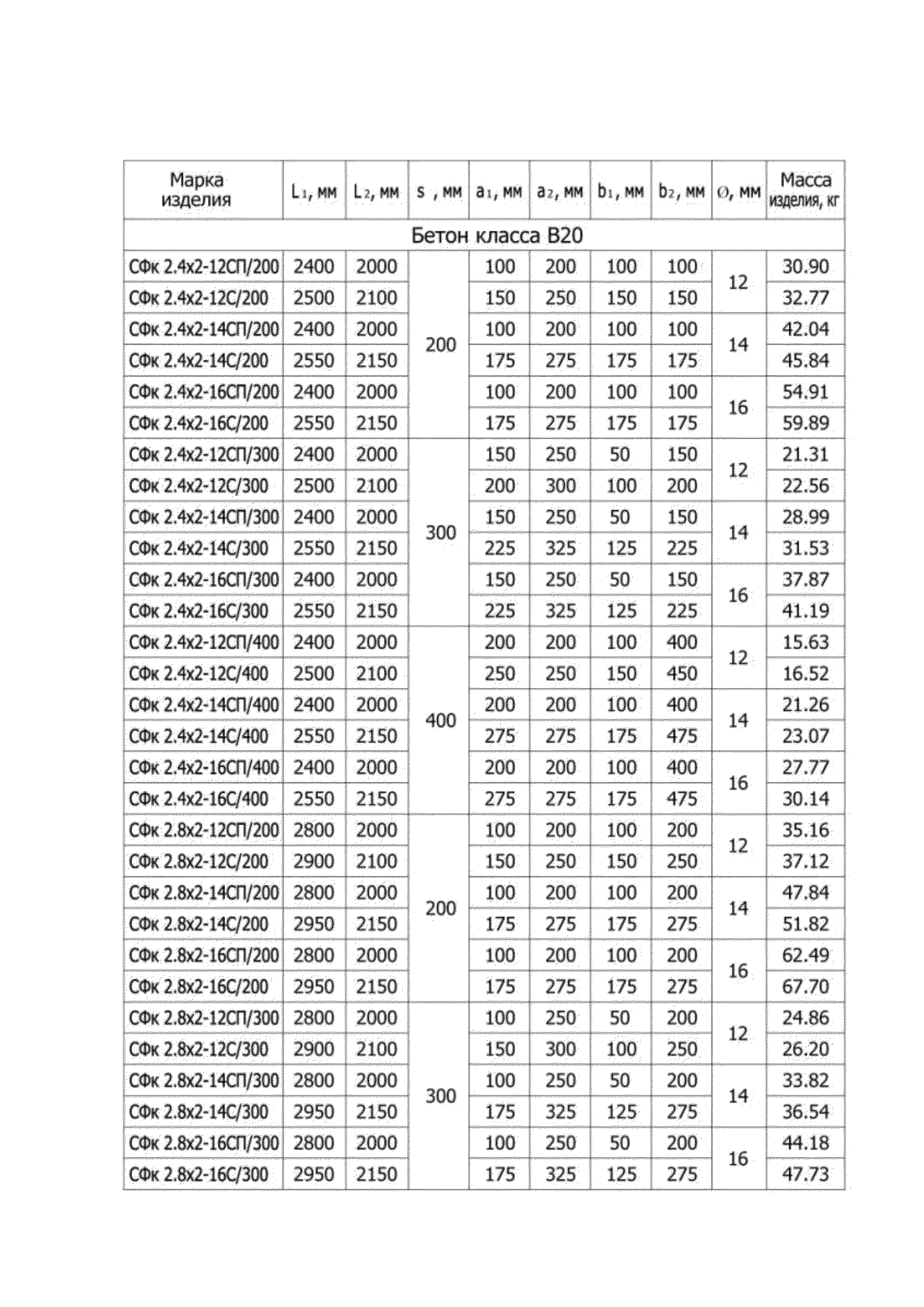
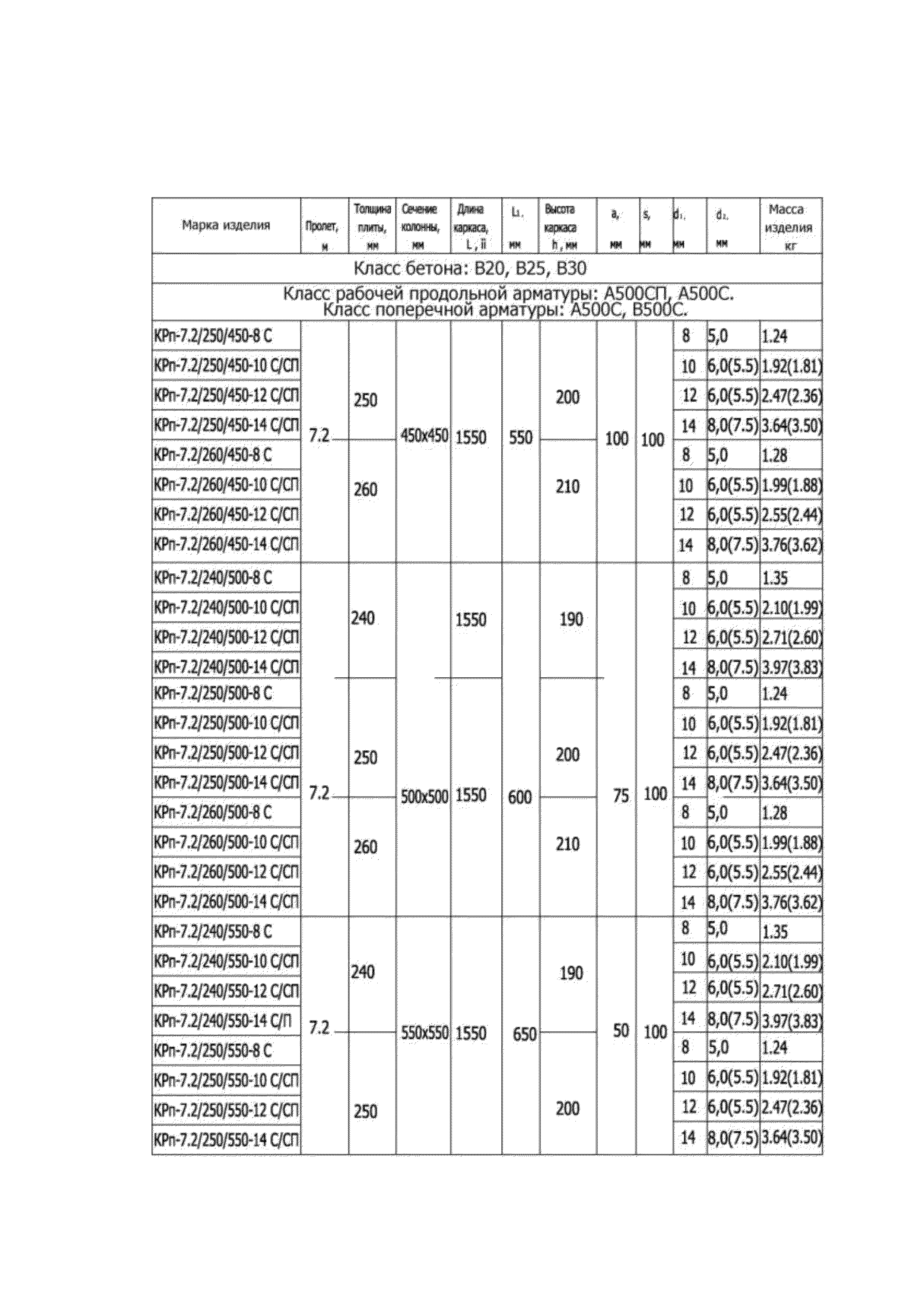
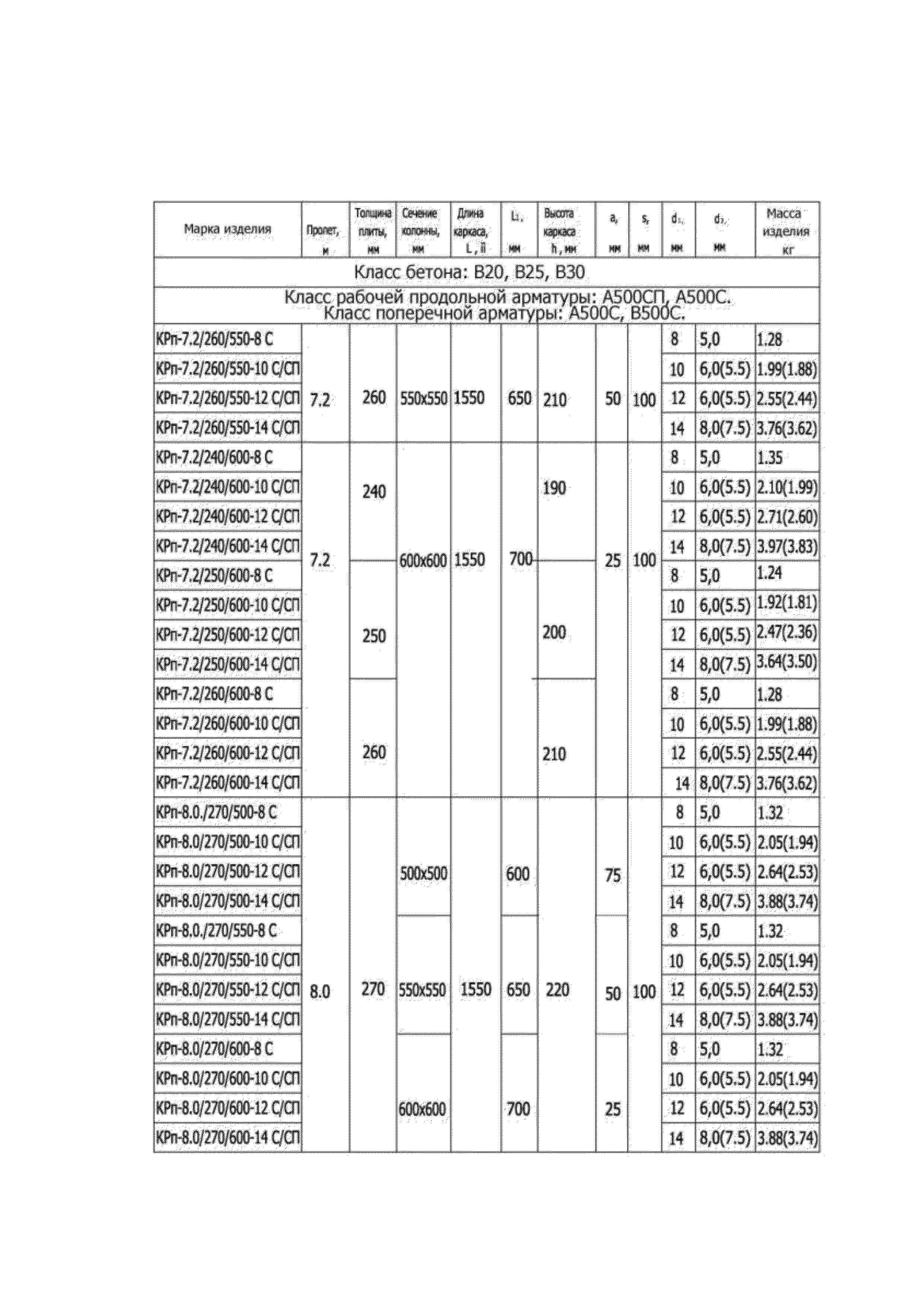
| Оглавление: | Введение Раздел 1. Основные положения 1.1 Область применения 1.2 Дополнительные термины, обозначения и определения, используемые в пособии Раздел 2. Арматурная сталь 2.1 Общие положения 2.2 Свойства арматуры, определяющие области и условия ее применения в железобетонных конструкциях 2.2.1 Прочность и пластичность арматуры при статических и кратковременных динамических нагрузках 2.2.2 Сцепление арматуры с бетоном 2.2.3 Свариваемость 2.2.4 Хладостойкость 2.2.5 Коррозионная стойкость 2.2.6 Выносливость при многократно повторяющихся нагрузках 2.3 Данные для расчетов и конструирования 2.3.1 Эффективность и взаимозаменяемость применяемых видов арматуры Раздел 3. Конструктивные требования к армированию железобетонных конструкций зданий 3.1 Нормативная база 3.2 Расположение арматуры в элементах железобетонных конструкций 3.2.1 Защитный слой бетона 3.2.2 Расположение арматуры в поперечном сечении, минимальные расстояния между стержнями 3.2.3 Допустимый загиб арматурных стержней 3.3 Анкеровка стержней арматуры и сварных сеток 3.3.1 Виды анкеровки арматурных стержней 3.3.2 Факторы, влияющие на длину анкеровки 3.3.3 Анкеровка стержней, работающих на сжатие 3.3.4 Приспособления для анкеровки стержневой арматуры 3.3.5 Анкеровка сварных сеток 3.3.6 Расчет длины анкеровки стержней 3.3.7 Длина анкеровки сварных сеток 3.4 Соединения арматуры 3.4.1. Стыкование арматурных стержней внахлестку без сварки 3.4.2 Стыки внахлестку сварных сеток 3.4.3 Длина нахлестки сварных сеток 3.4.4 Стыки внахлестку стержней большого диаметра (>25 мм) 3.4.5 Сварные соединения арматуры 3.4.6 Сварные соединения термомеханически упрочненной арматуры стали класса А500 (А500С и А500СП) 3.4.7 Механические стыковые соединения Раздел 4. Конструирование армирования основных элементов монолитных зданий 4.1 Фундаменты 4.1.1 Отдельные фундаменты 4.1.2 Ленточные (балочные) фундаменты 4.1.3 Сплошные плитные фундаменты 4.2. Колонны 4.2.1 Общие требования к армированию колонн 4.2.2 Капители (оголовки) колонн 4.3 Стены 4.3.1 Общие требования к армированию железобетонных монолитных стен 4.3.2 Армирование несущих стен 4.3.3 Армирование балок-стенок 4.4 Перекрытия 4.4.1 Общие требования к армированию перекрытий 4.4.2 Армирование железобетонных балок 4.5 Армирование монолитных железобетонных плит перекрытий с применением сварных арматурных изделий 4.6 Дополнительные указания по армированию плит. Армирование по свободным краям плит перекрытий 4.7 Армирование плит перекрытий безбалочной конструкции. Плиты с капителями Список использованной литературы Приложение А .Обозначение и классификация сварных сеток Приложение Б. Каталог типовых сварных арматурных изделий (сеток, каркасов) индустриального изготовления для основных конструктивных элементов железобетонных зданий Приложение В. Выдержки из межгосударственного стандарта ГОСТ 34028- 2016 "Прокат арматурный для железобетонных конструкций. Технические условия" |
| Разработан: | НИИЖБ им. А.А. Гвоздева АО НИЦ Строительство |
| Нормативные ссылки: |
|








































































































































































































































































