Скачать ГОСТ 33978-2016 Продукты пищевые и комбикорма. Метод определения содержания тиреостатиков с помощью высокоэффективной жидкостной хроматографии с масс-спектрометрическим детектированиемДата актуализации: 01.01.2021 ГОСТ 33978-2016
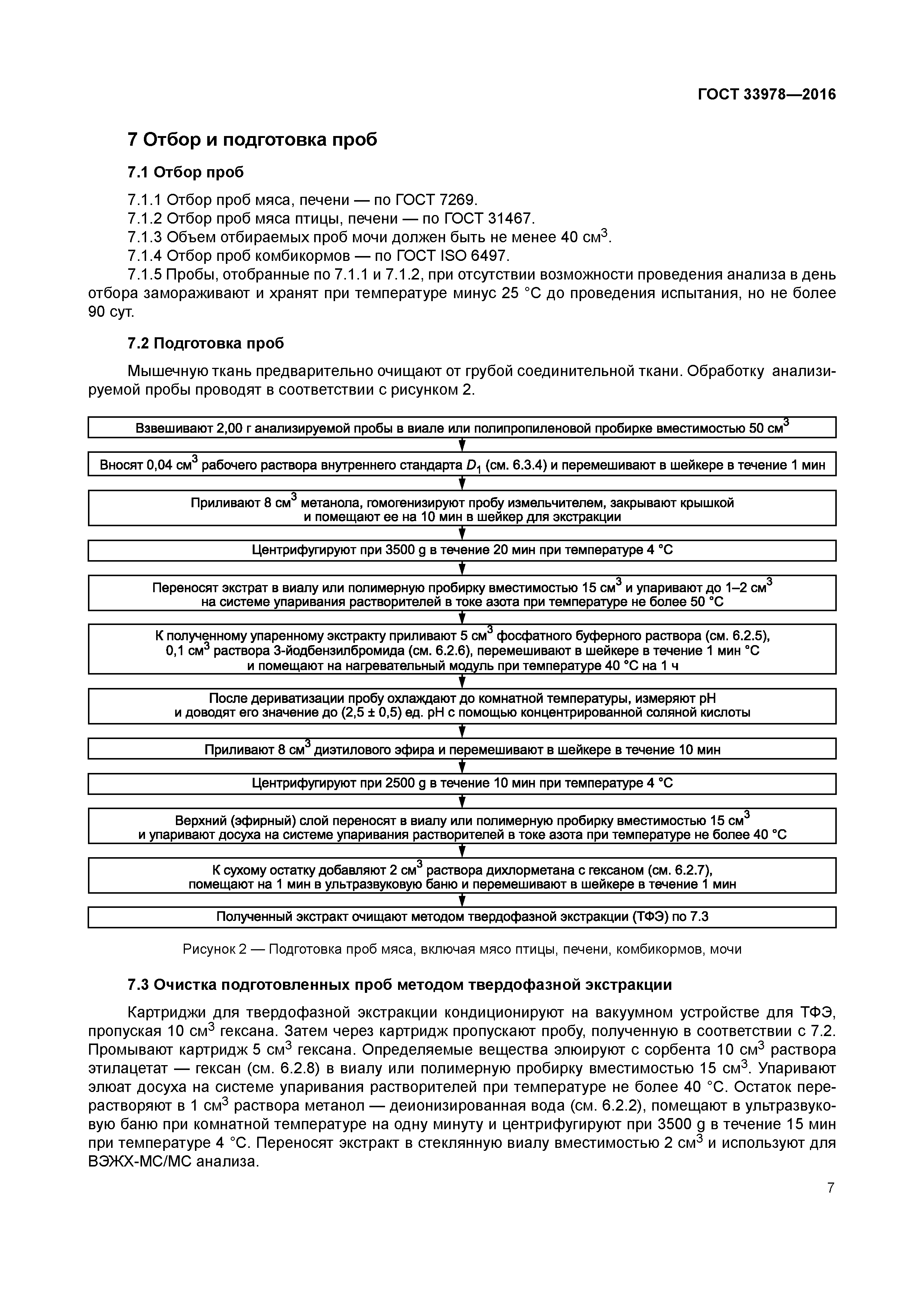
Продукты пищевые и комбикорма. Метод определения содержания тиреостатиков с помощью высокоэффективной жидкостной хроматографии с масс-спектрометрическим детектированием| Обозначение: | ГОСТ 33978-2016 | | Обозначение англ: | GOST 33978-2016 | | Статус: | введен впервые | | Название рус.: | Продукты пищевые и комбикорма. Метод определения содержания тиреостатиков с помощью высокоэффективной жидкостной хроматографии с масс-спектрометрическим детектированием | | Название англ.: | Food products and mixed feeds. Method for determination of thyreostats by high performance liquid chromatography-mass spectrometry | | Дата добавления в базу: | 01.01.2018 | | Дата актуализации: | 01.01.2021 | | Дата введения: | 01.01.2018 | | Область применения: | Стандарт распространяется на непереработанные пищевые продукты - мясо (в том числе мясо птицы), субпродукты (печень), комбикорма, а также на мочу животных и устанавливает метод высокоэффективной жидкостной хроматографии с масс-спектрометрическим детектированием для определения содержания тиреостатиков. Диапазон измерений содержания 6-пропил-2-тиоурацила, 6-метил-2-тиоурацила, 2-тиоурацила, 6-фенил-2-тиоурацила составляет от 2,0 до 30,0 мкг/кг, диапазон измерений содержания 2-меркаптобензимидазола составляет от 0,4 до 30,0 мкг/кг.. | | Оглавление: | 1 Область применения 2 Нормативные ссылки 3 Сущность метода 4 Требования безопасности и условия выполнения измерений 5 Средства измерений, аппаратура, материалы, посуда и реактивы 6 Подготовка к проведению измерений 6.1 Подготовка лабораторной посуды и реактивов 6.2 Приготовление растворов 6.3 Приготовление градуировочных растворов 7 Отбор и подготовка проб 7.1 Отбор проб 7.2 Подготовка проб 7.3 Очистка подготовленных проб методом твердофазной экстракции 8 Порядок выполнения анализа 8.1 Условия ВЭЖХ-МС/МС измерений 8.2 Построение градуировочных графиков и проведение измерений 9 Метрологические характеристики 10 Обработка результатов измерений 11 Оформление результатов измерений 12 Контроль стабильности результатов измерений | | Разработан: | ФГБУ ВГНКИ
| | Утверждён: | 25.10.2016 Межгосударственный Совет по стандартизации, метрологии и сертификации (Inter-Governmental Council on Standardization, Metrology, and Certification 92-П) 14.03.2017 Федеральное агентство по техническому регулированию и метрологии (139-ст)
| | Издан: | Стандартинформ (2017 г. ) Стандартинформ (2019 г. )
| | Список изменений: | | | Нормативные ссылки: | |
               
Текстовое изменение Поправка от 07.02.2020
|