Скачать Книга 21: Продукция кабельная. Федеральные сметные цены на материалы изделия, конструкции и оборудование, применяемые в строительстве. Федеральный сборник сметных цен на материалы, изделия и конструкции, применяемые в строительствеДата актуализации: 01.01.2021 |
| Статус: | действует |
| Название рус.: | Книга 21: Продукция кабельная. Федеральные сметные цены на материалы изделия, конструкции и оборудование, применяемые в строительстве. Федеральный сборник сметных цен на материалы, изделия и конструкции, применяемые в строительстве |
| Дата добавления в базу: | 05.05.2017 |
| Дата актуализации: | 01.01.2021 |
| Дата введения: | 28.04.2017 |
| Область применения: | Государственные сметные нормативы "Федеральные сметные цены на материалы, изделия, конструкции и оборудование, применяемые в строительстве" предназначены для определения сметной стоимости строительства, реконструкции и капитального ремонта объектов капитального строительства. |
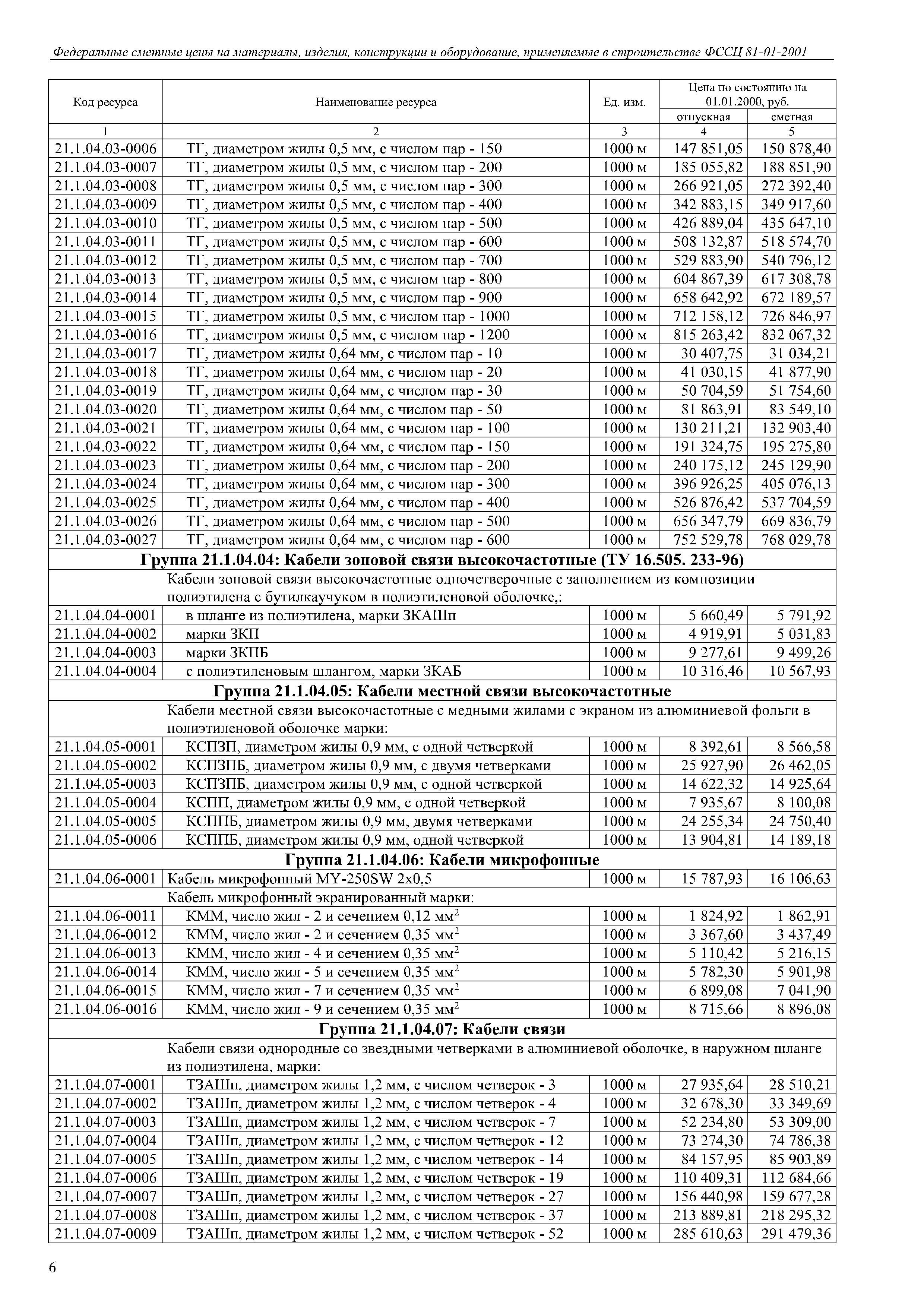
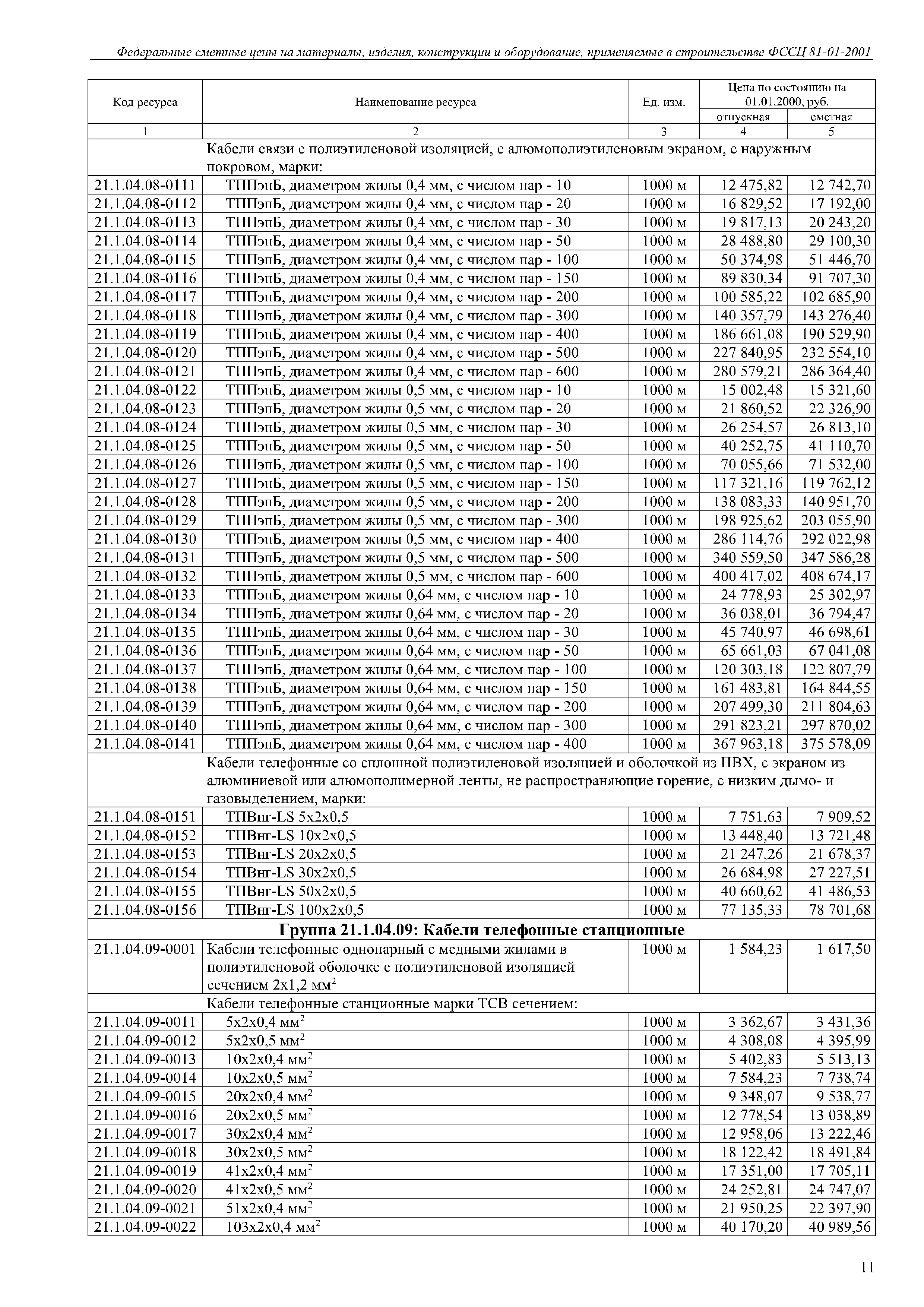
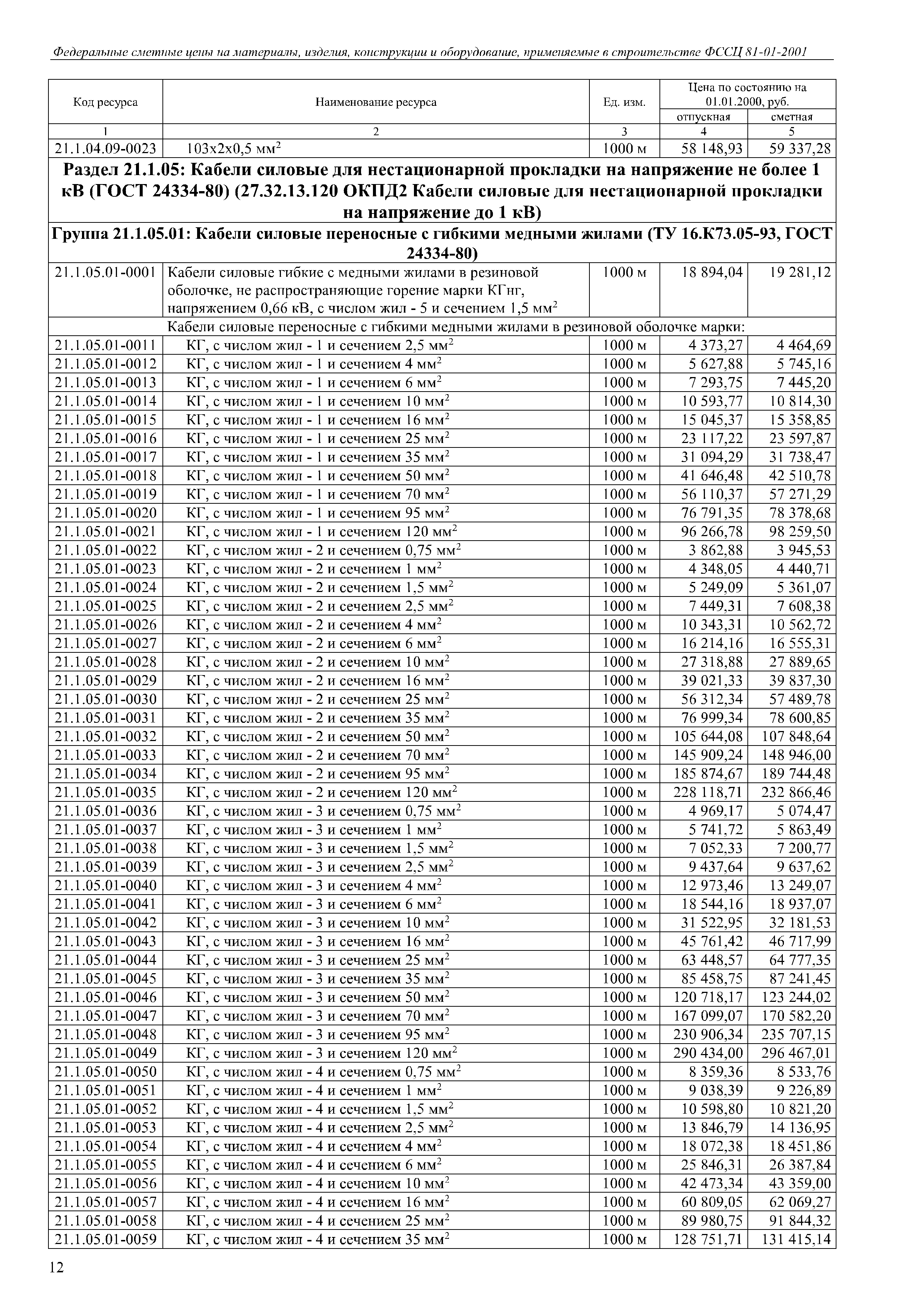
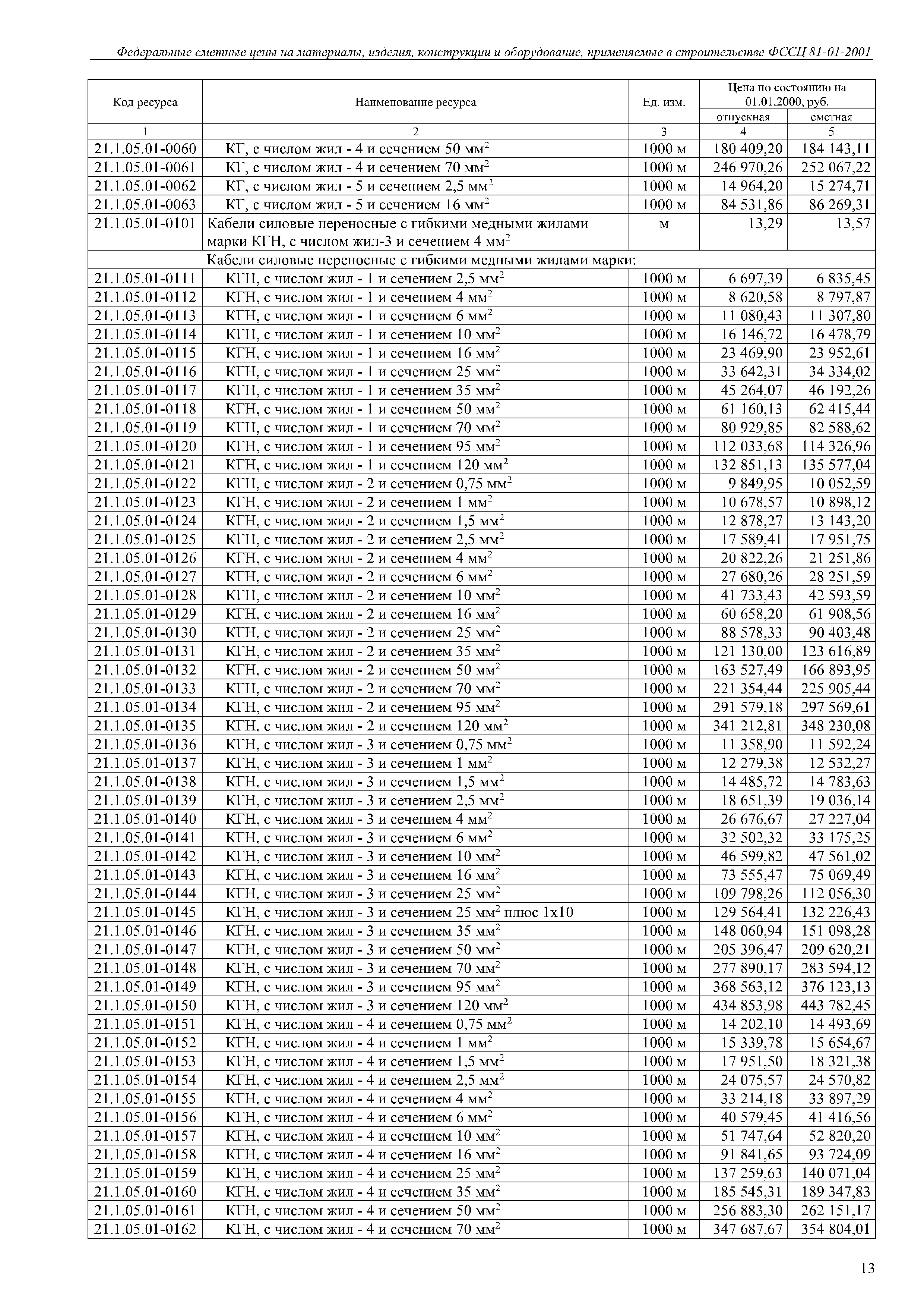
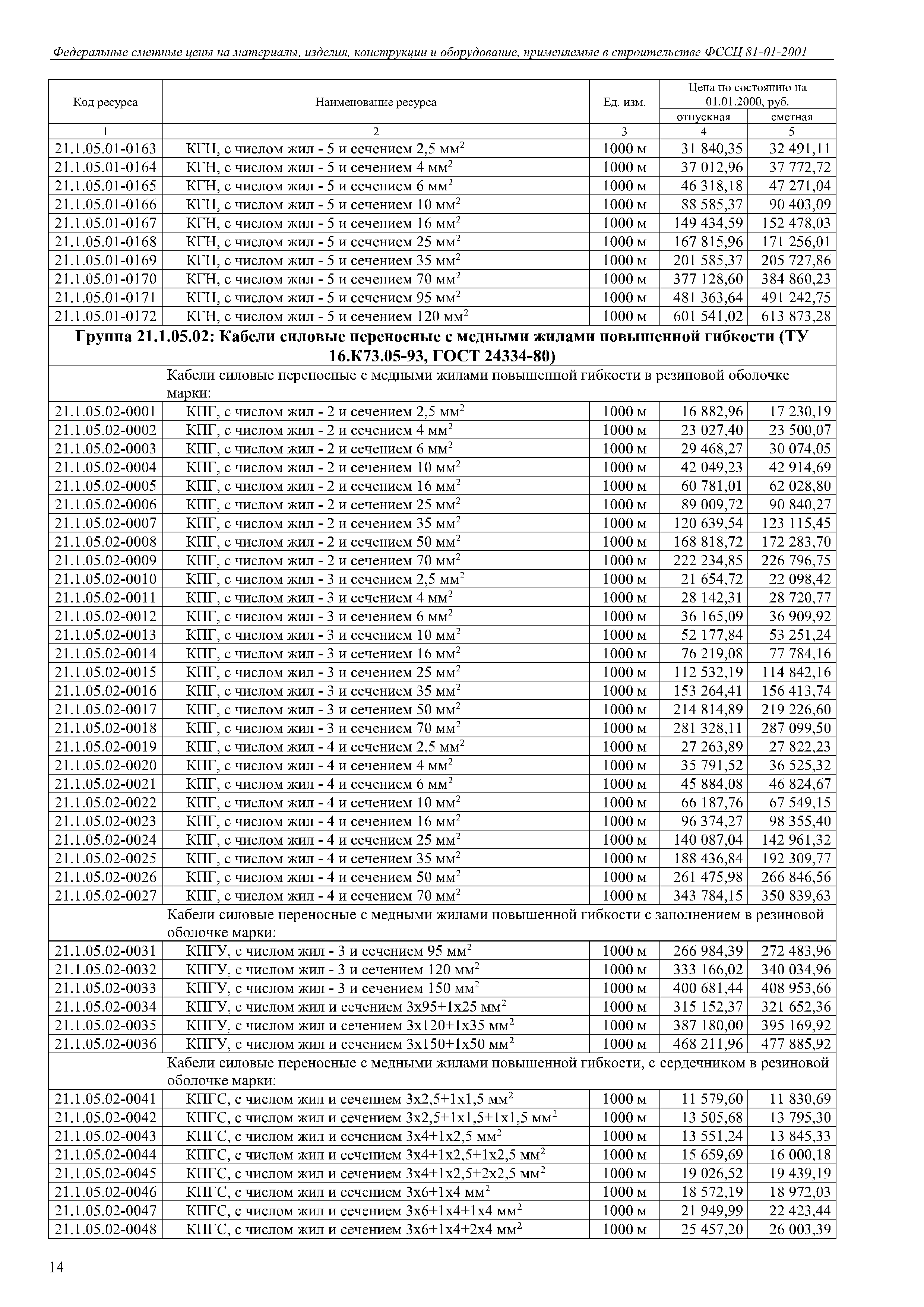
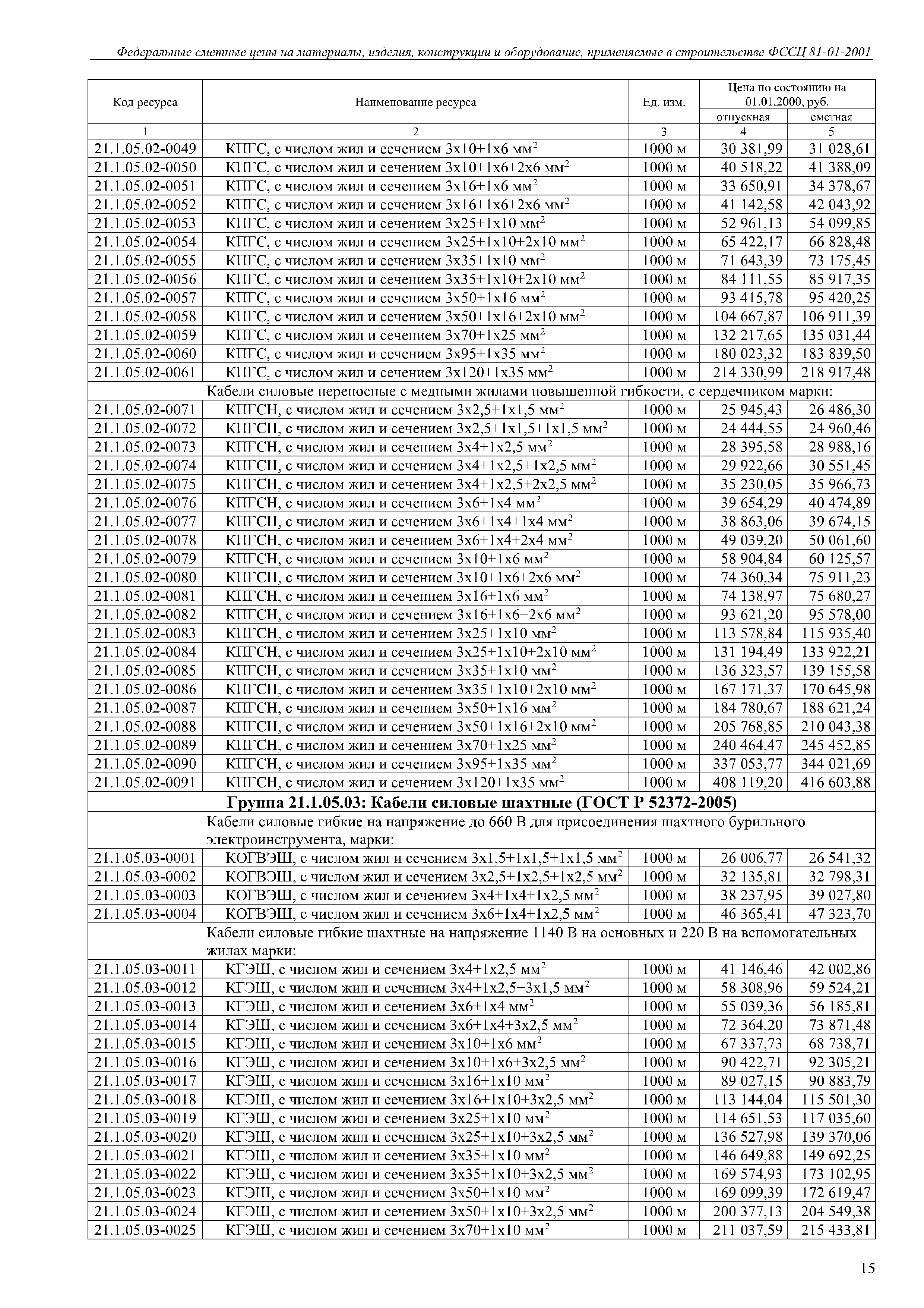
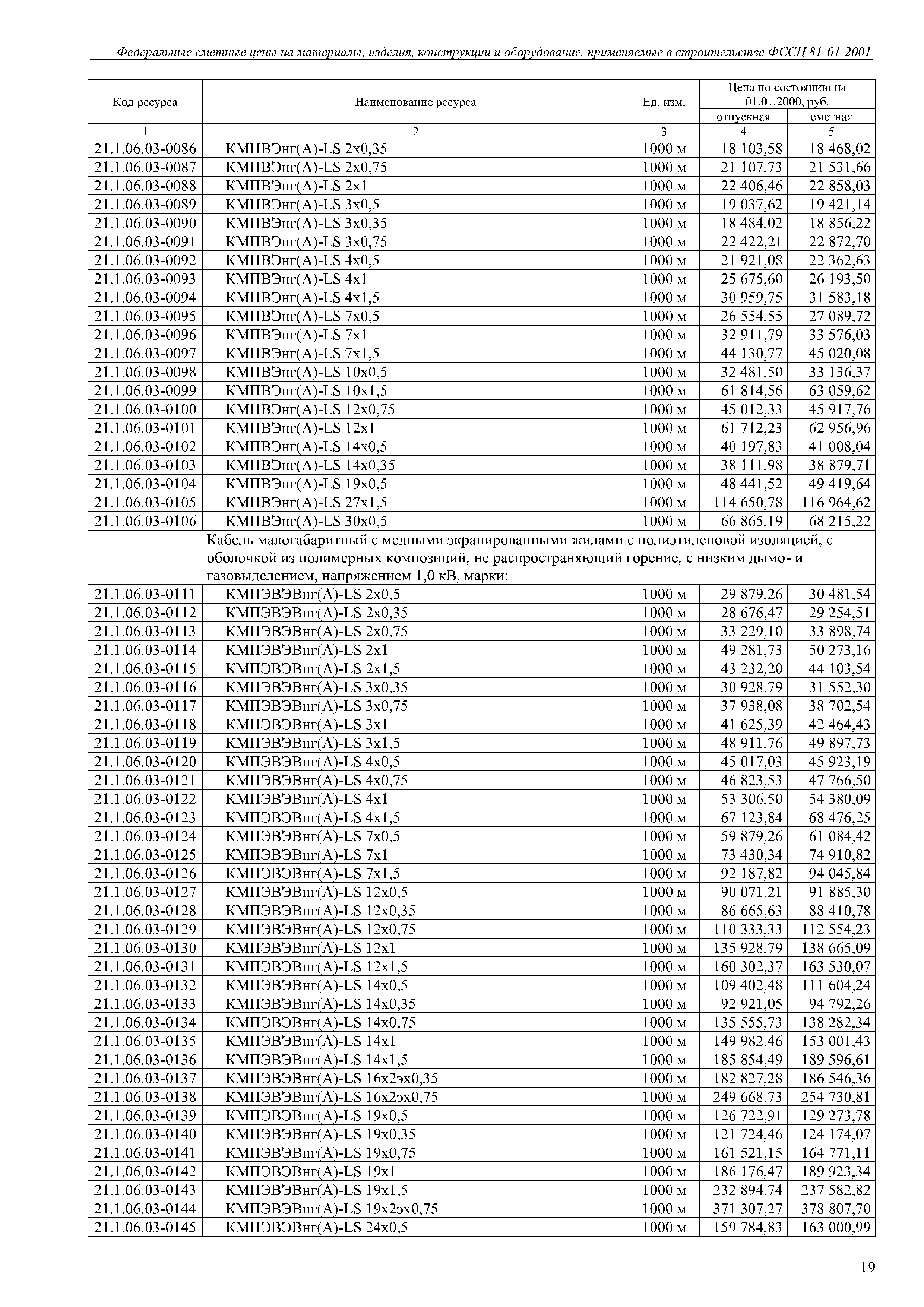
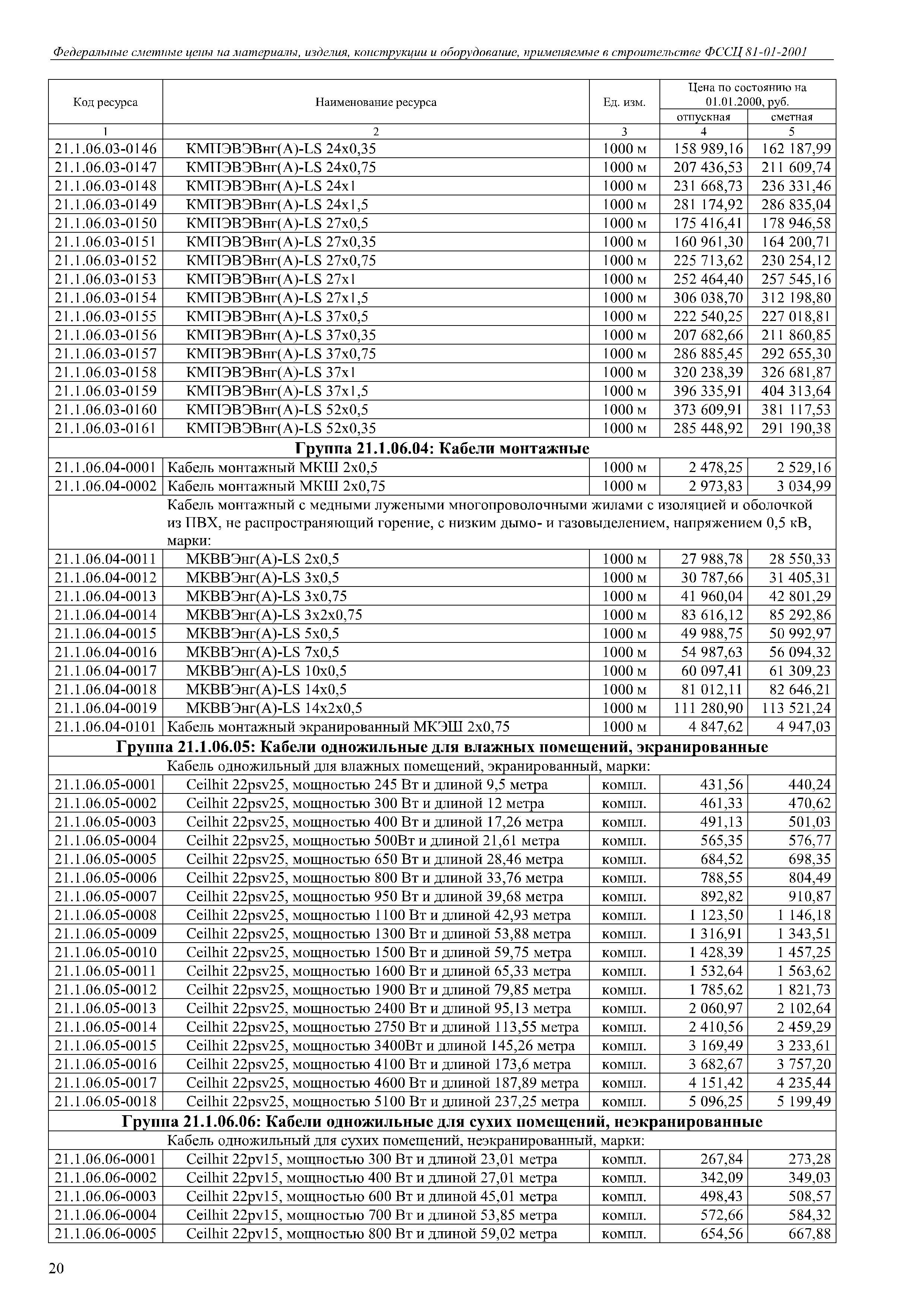
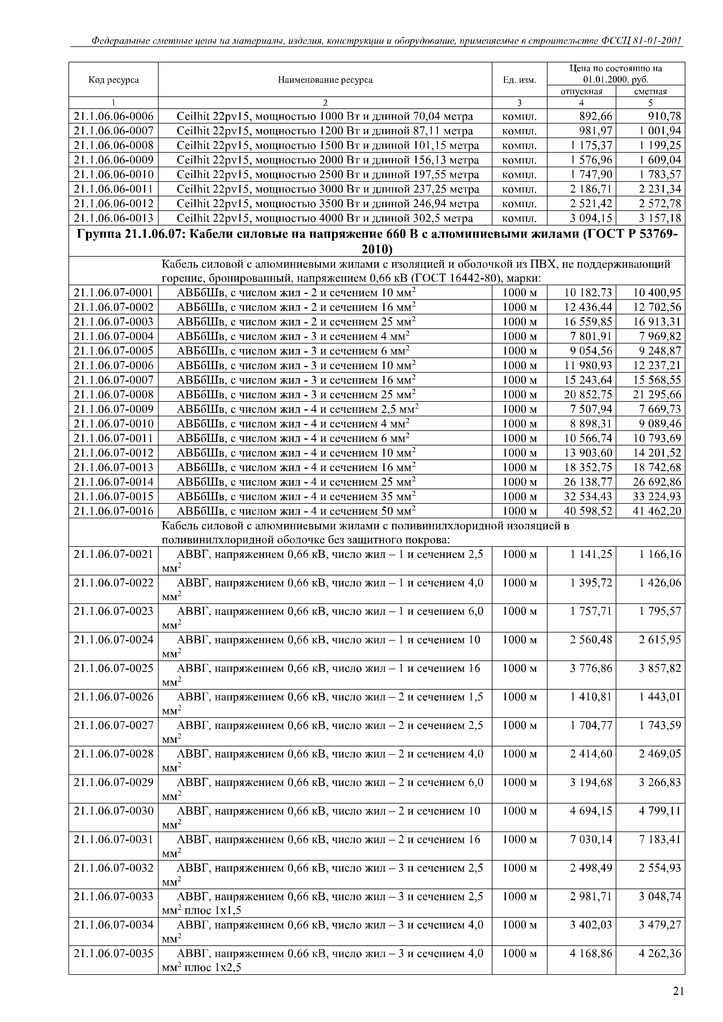
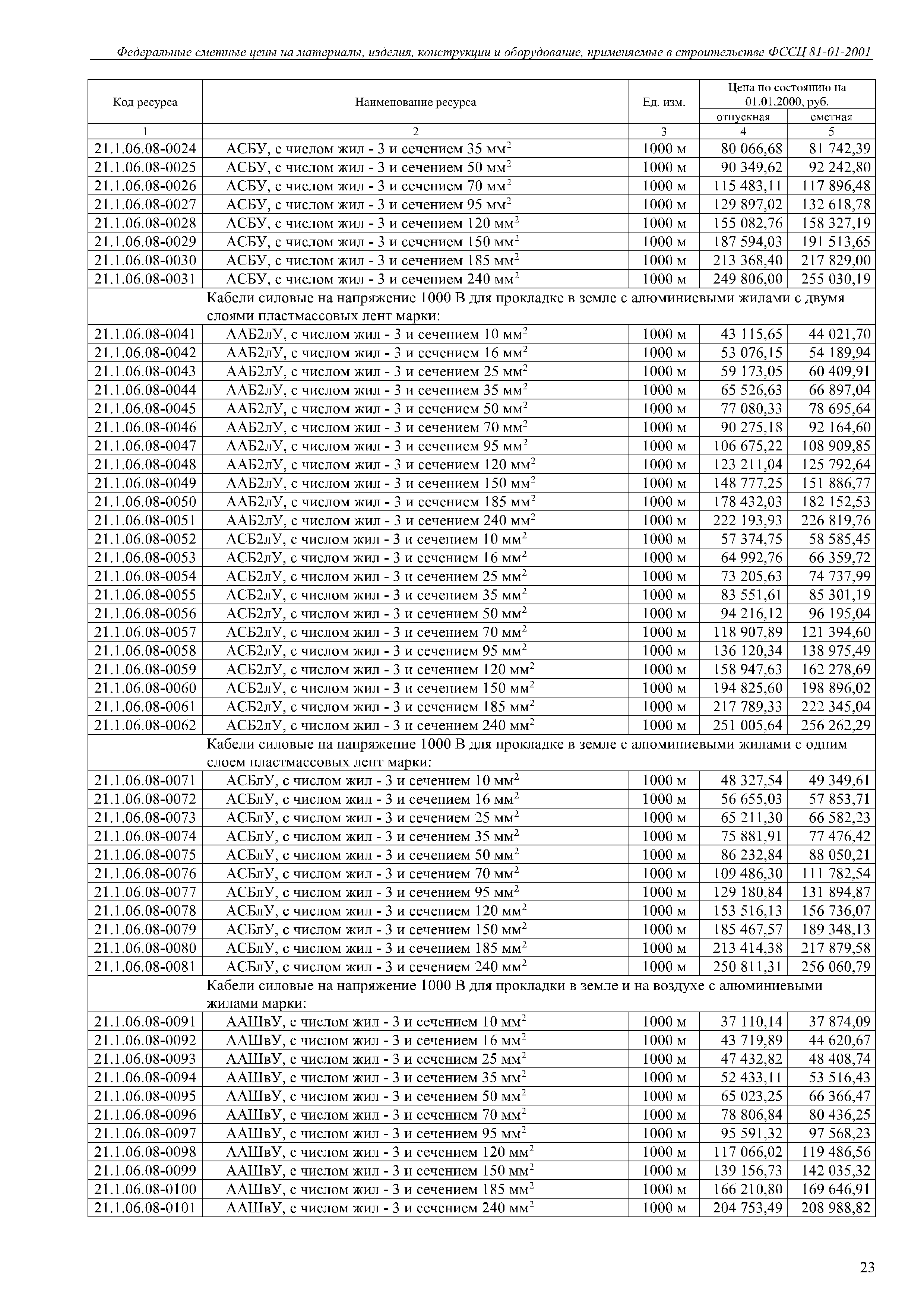
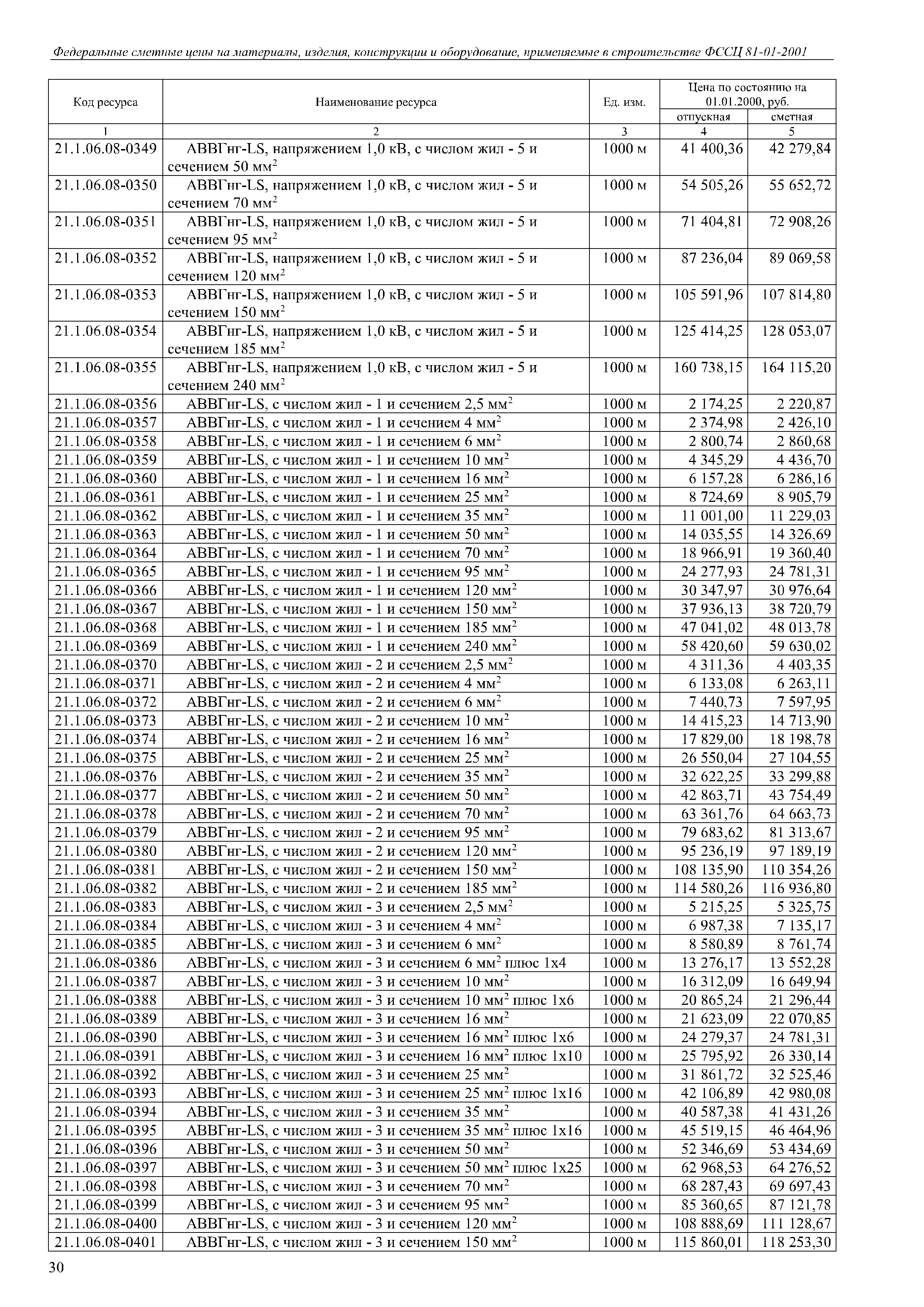
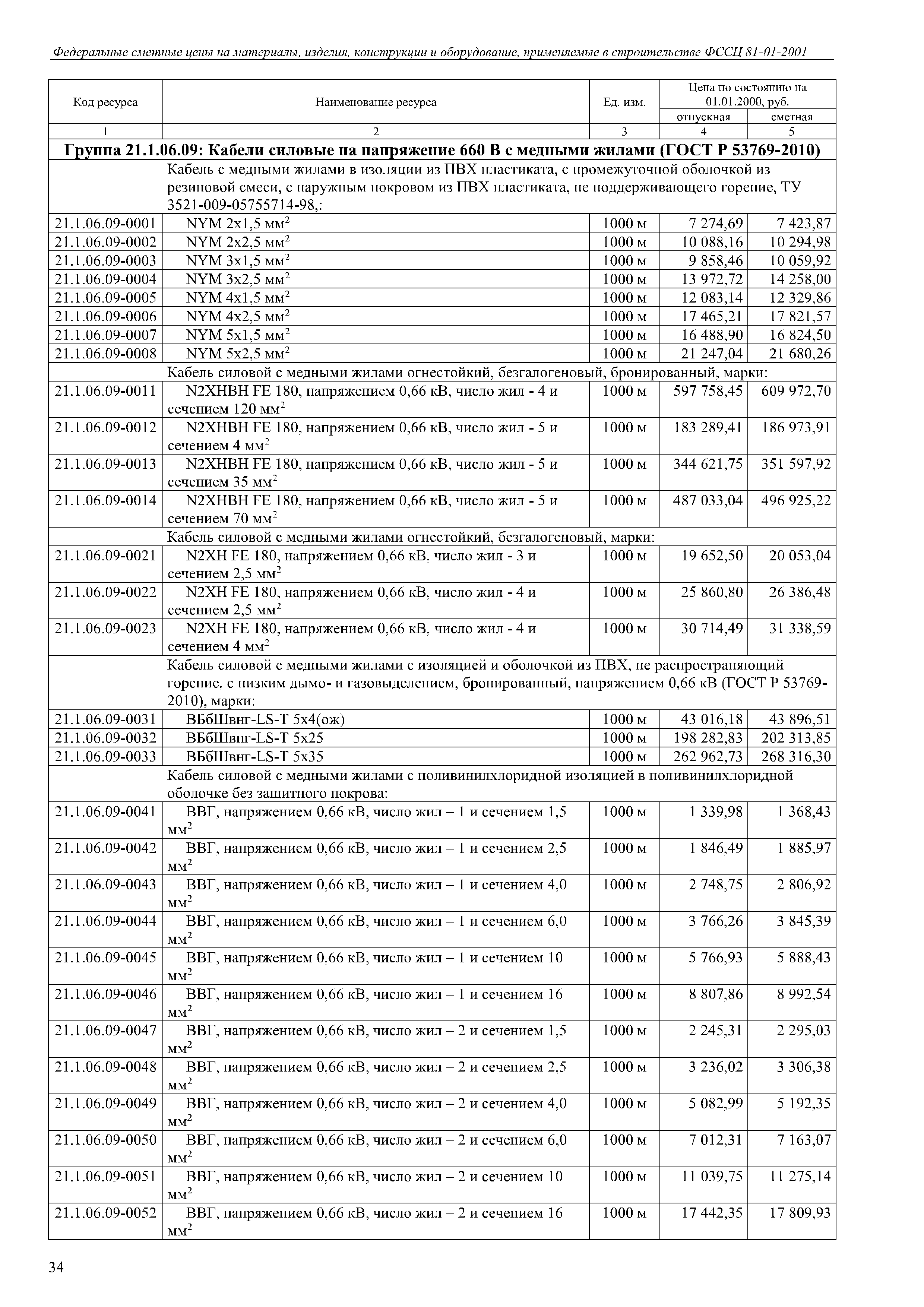
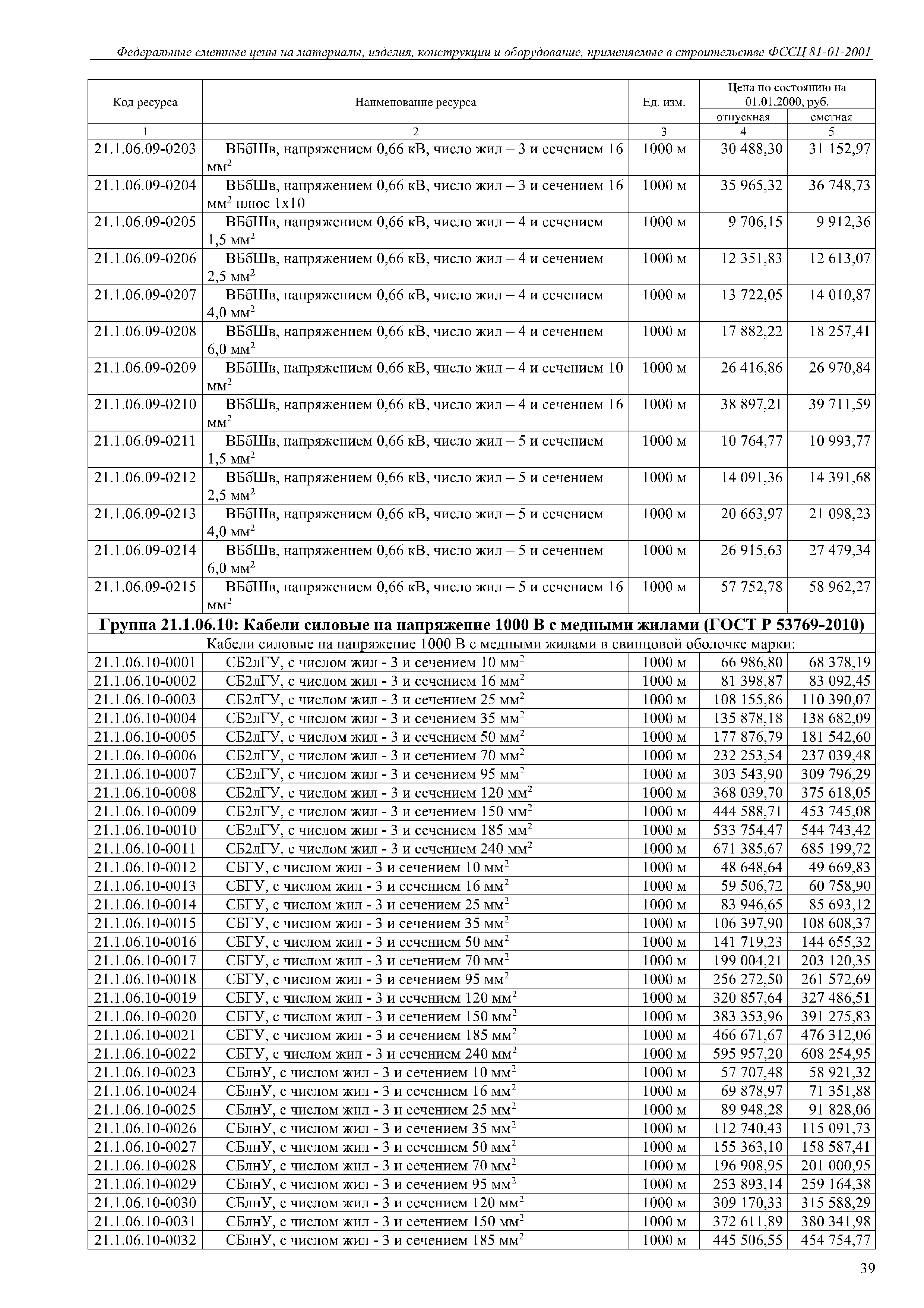
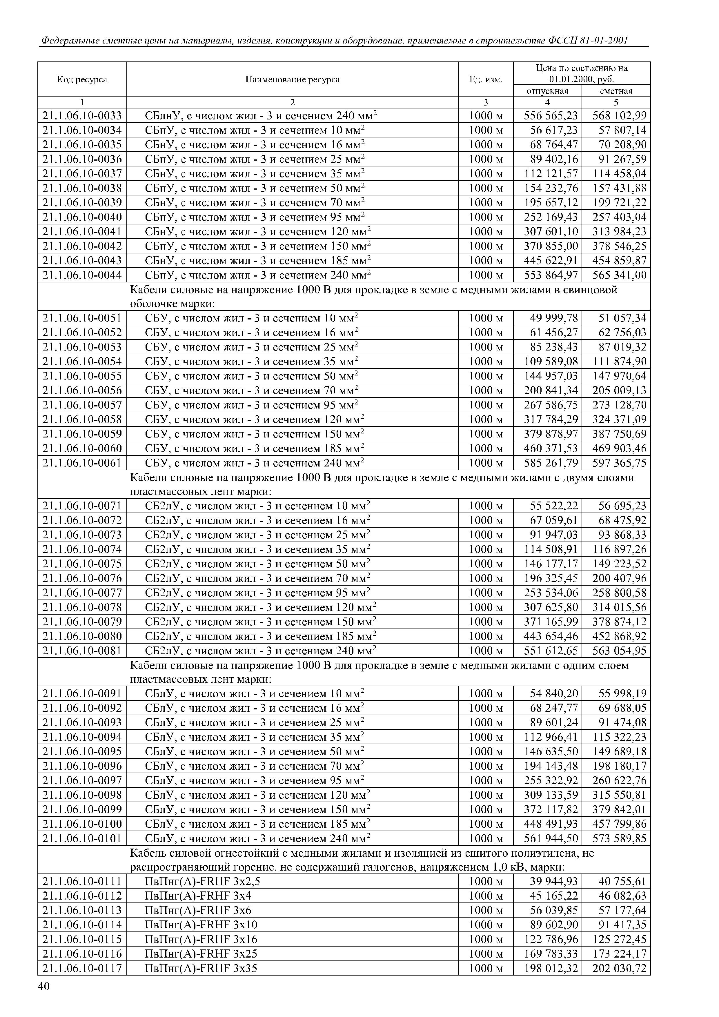
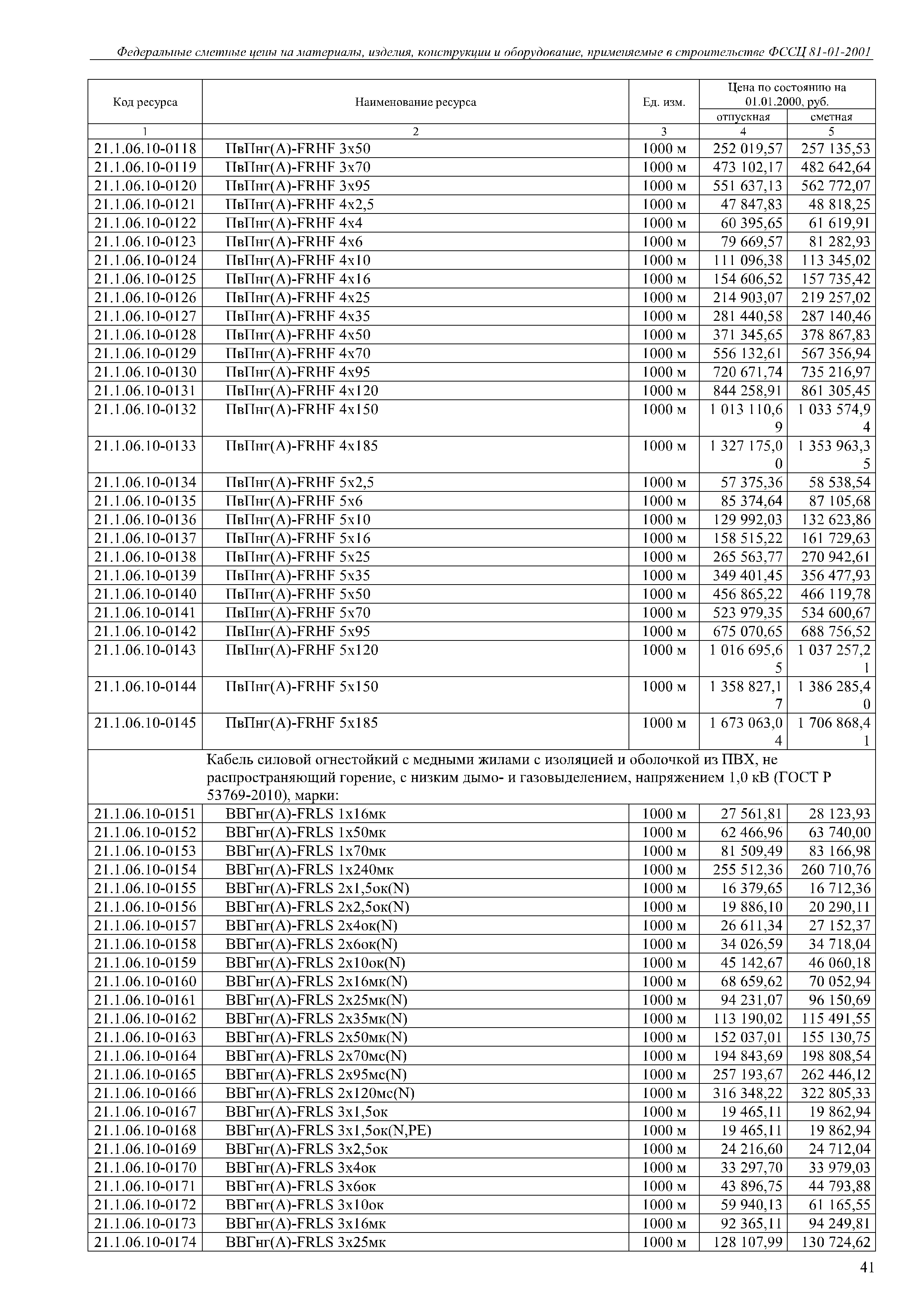
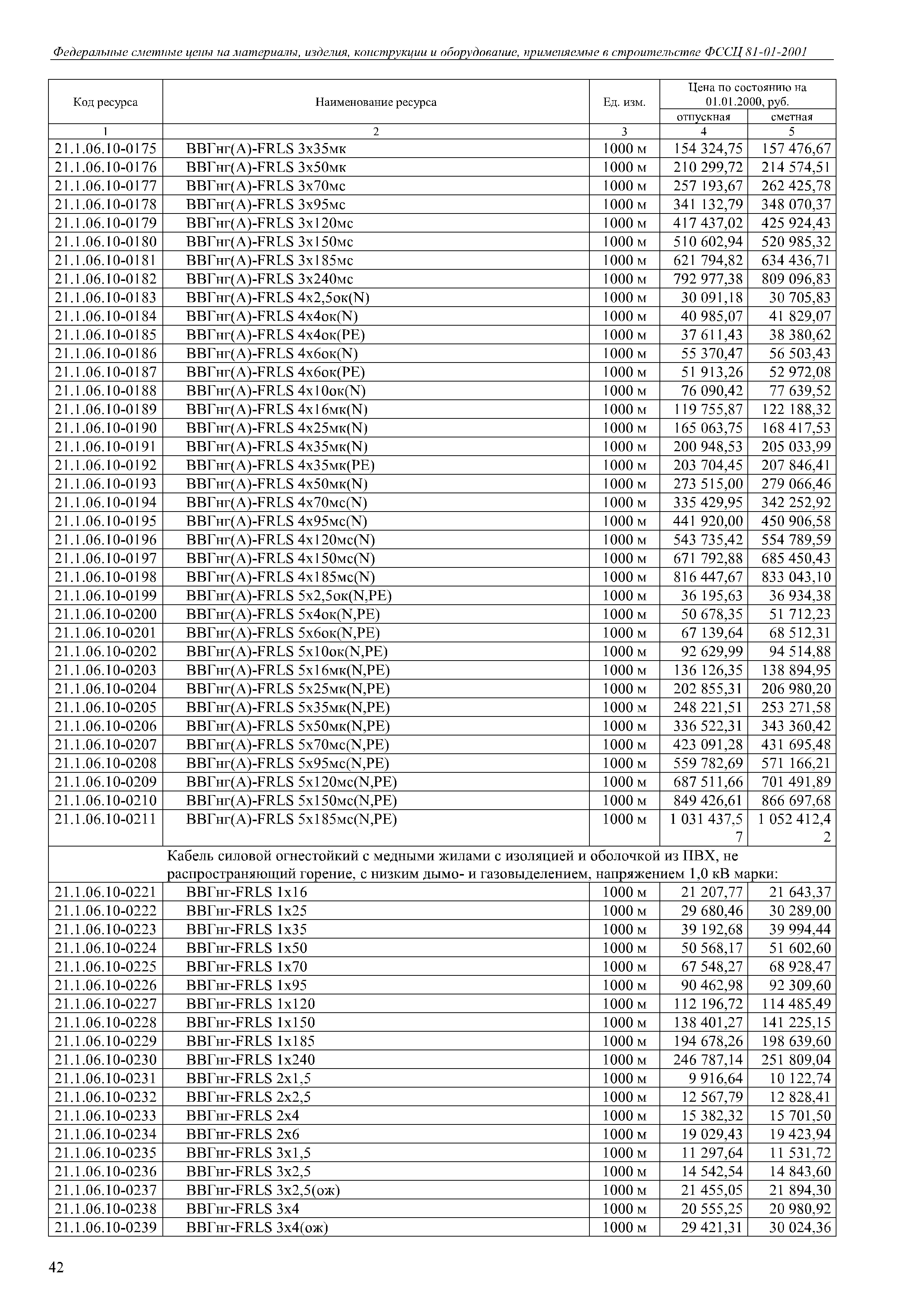
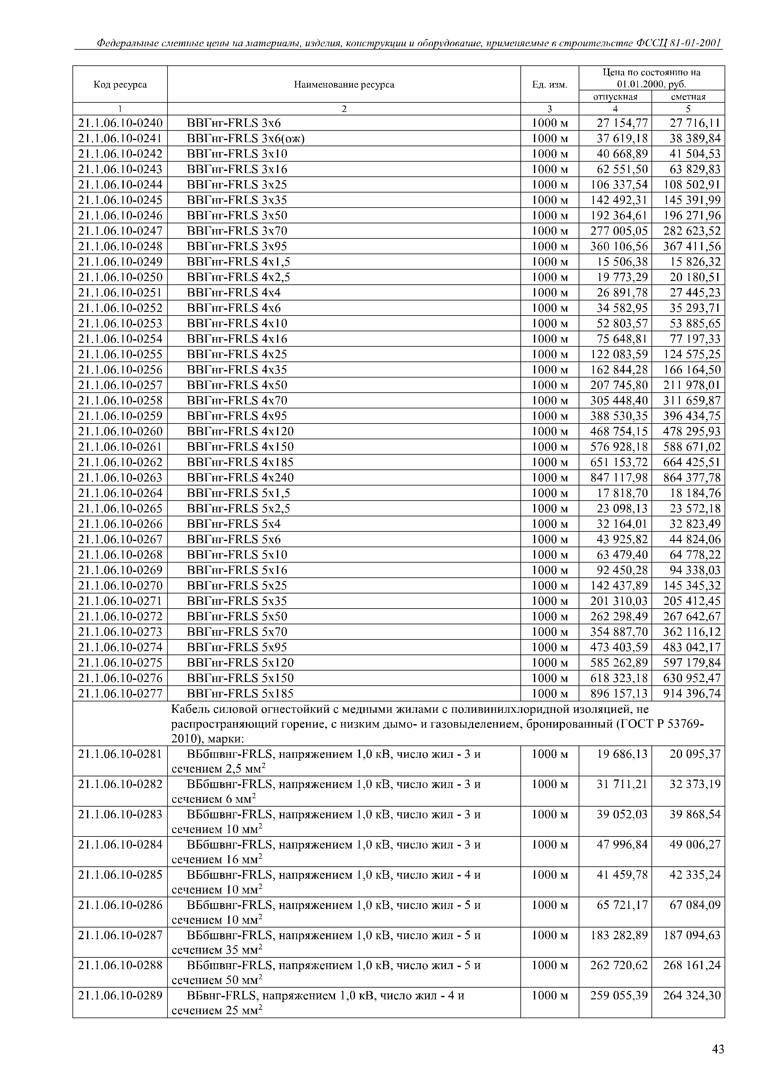
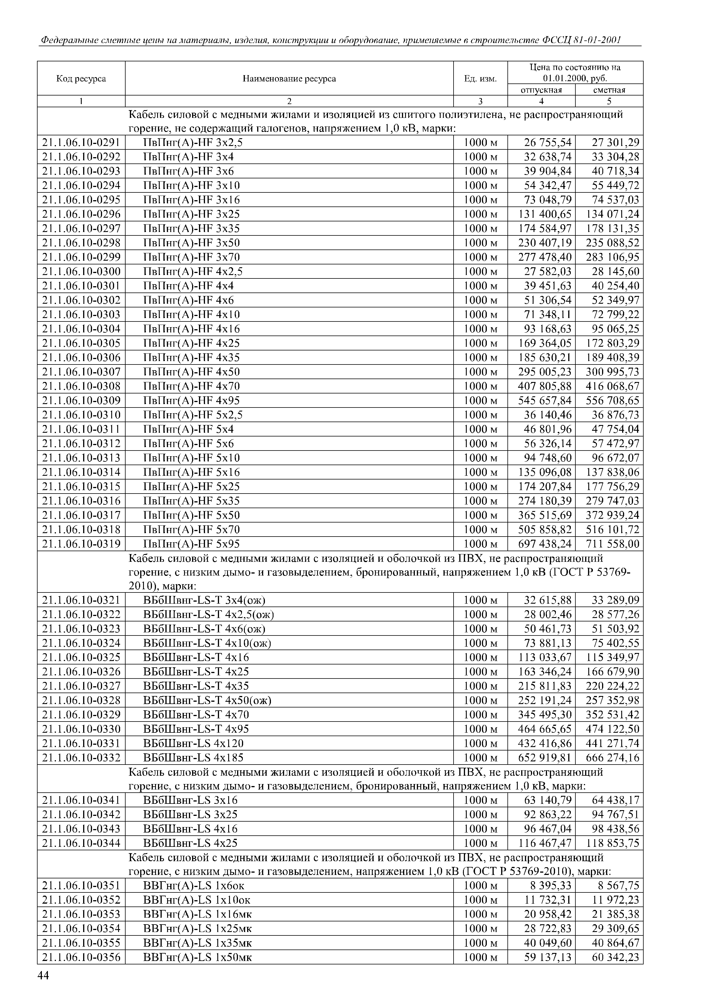
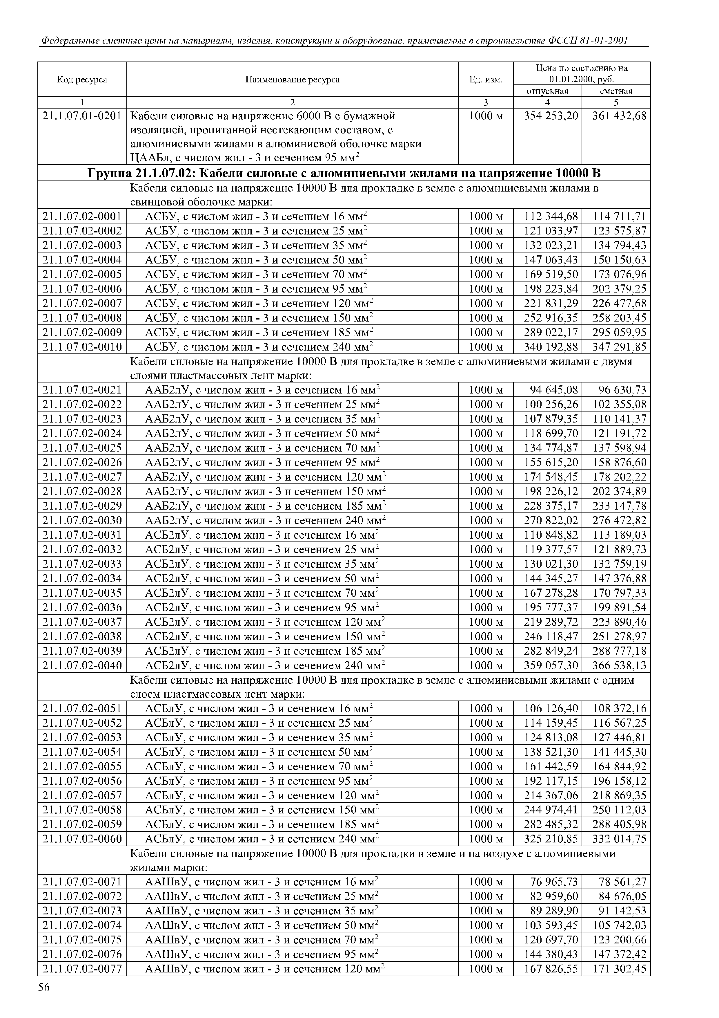
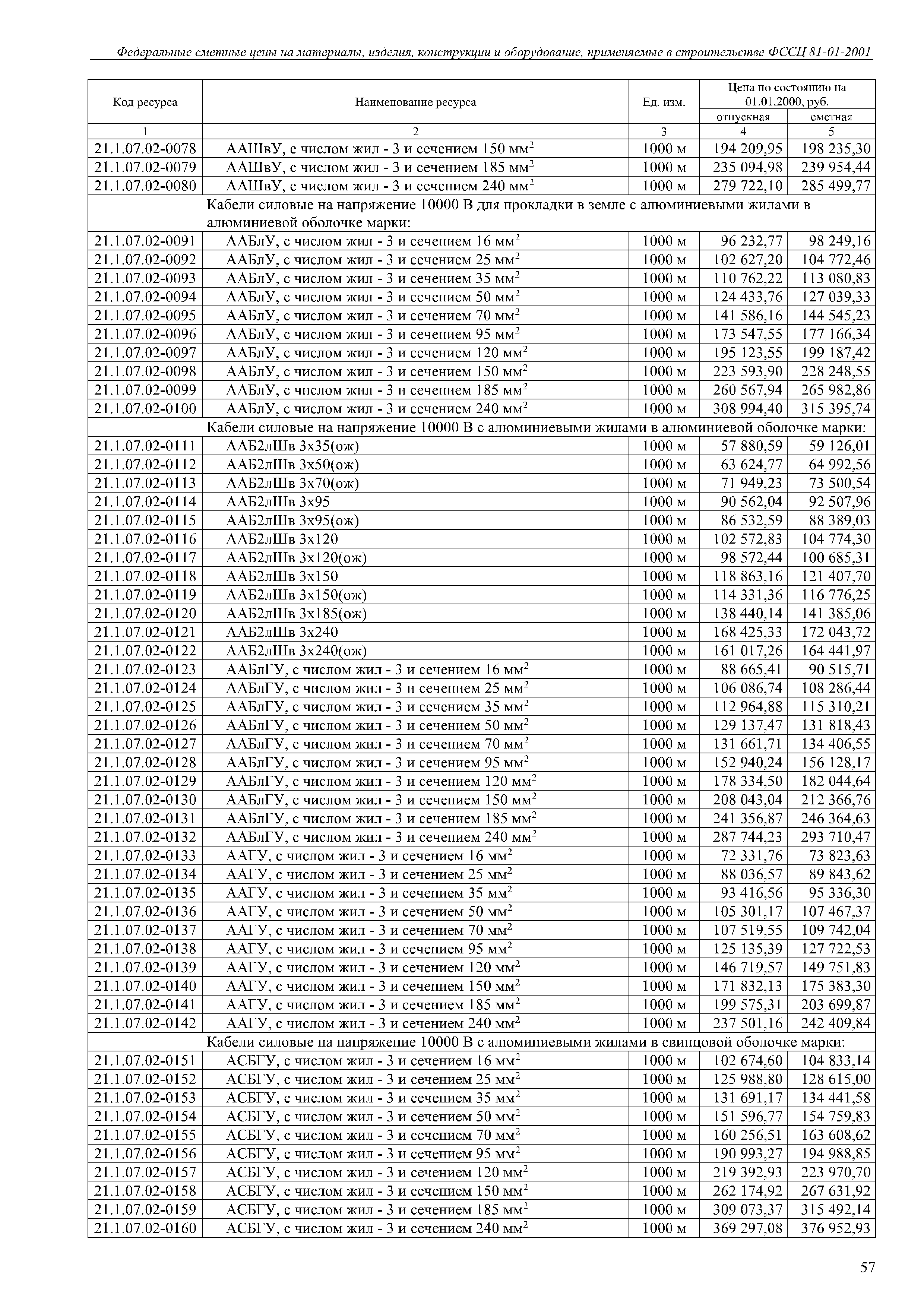
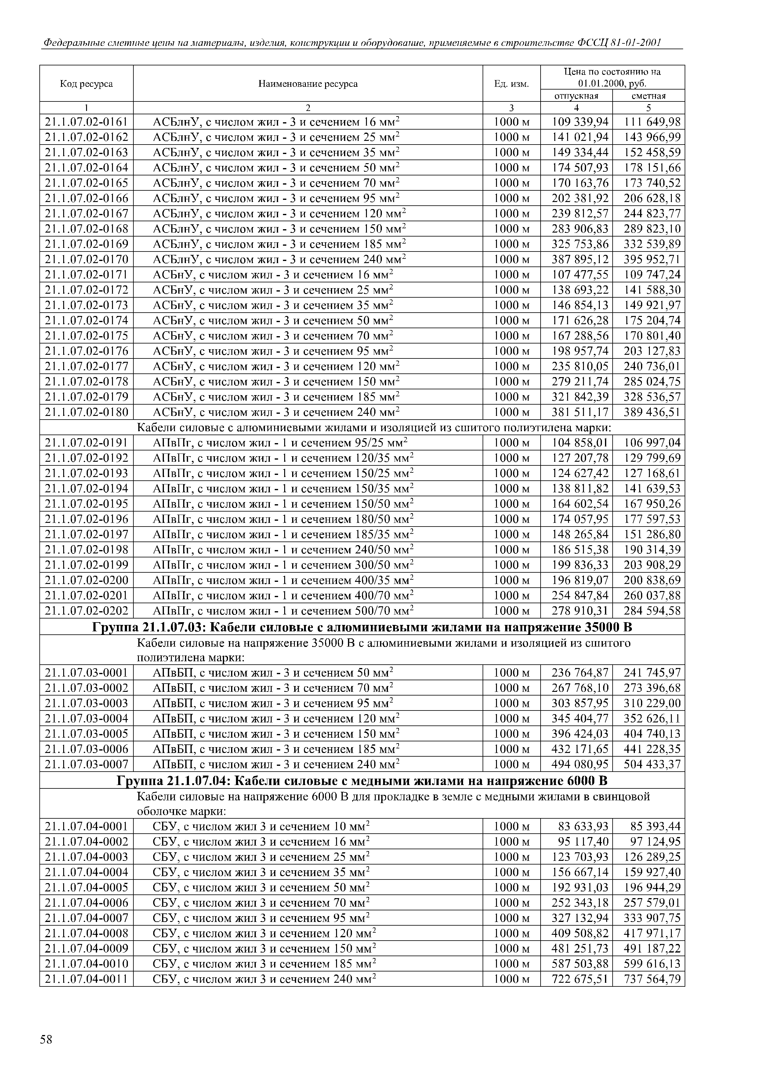
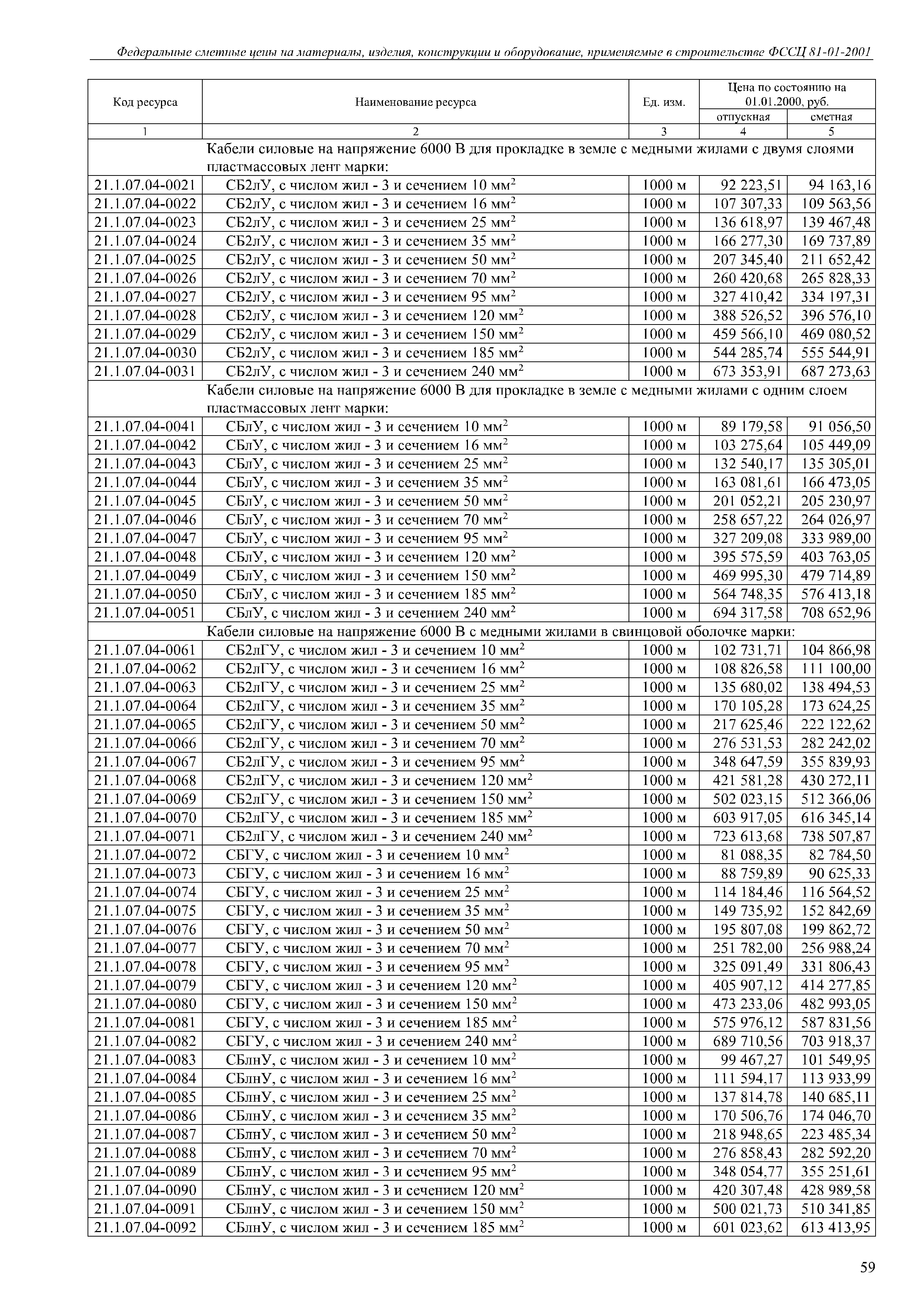
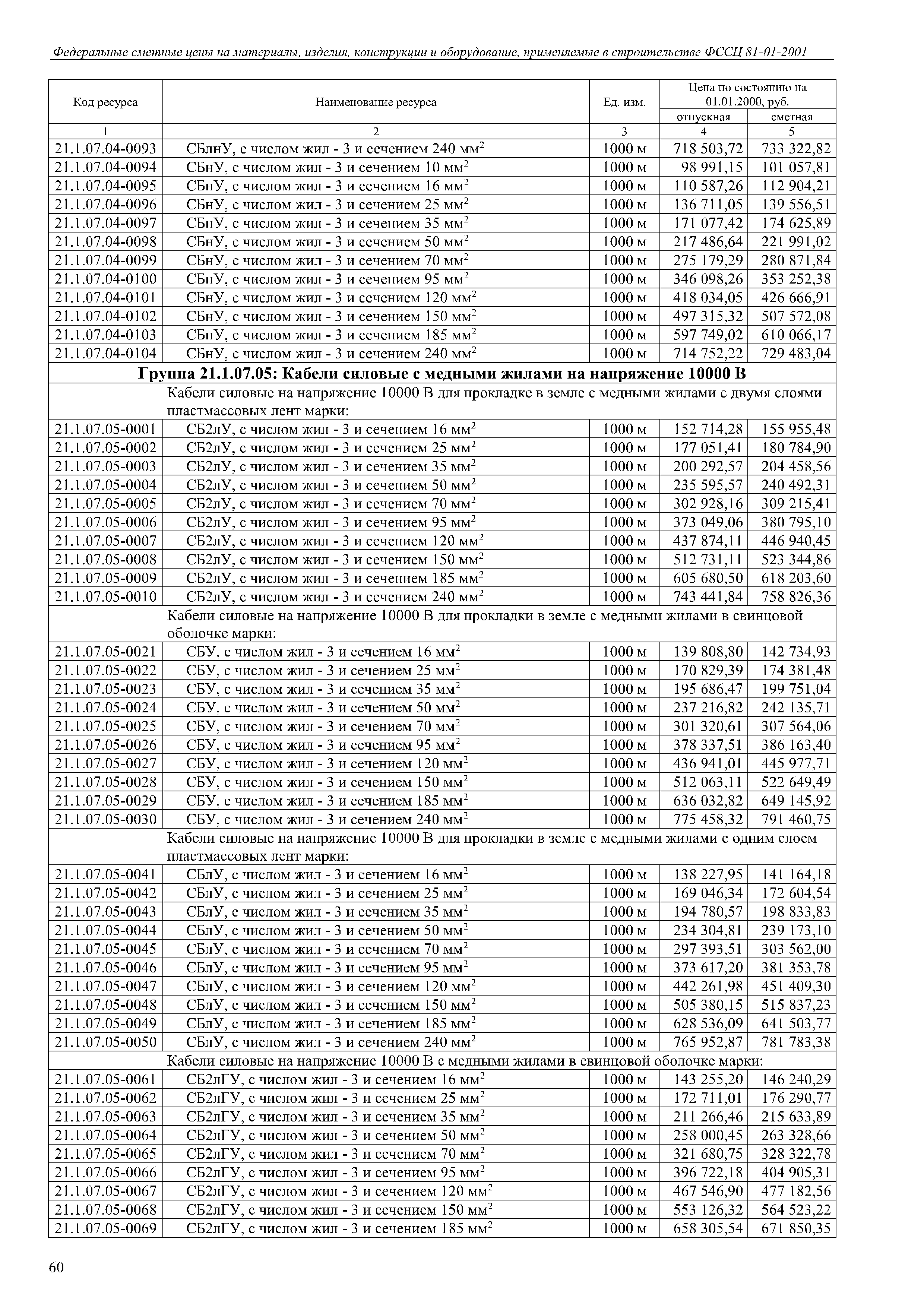
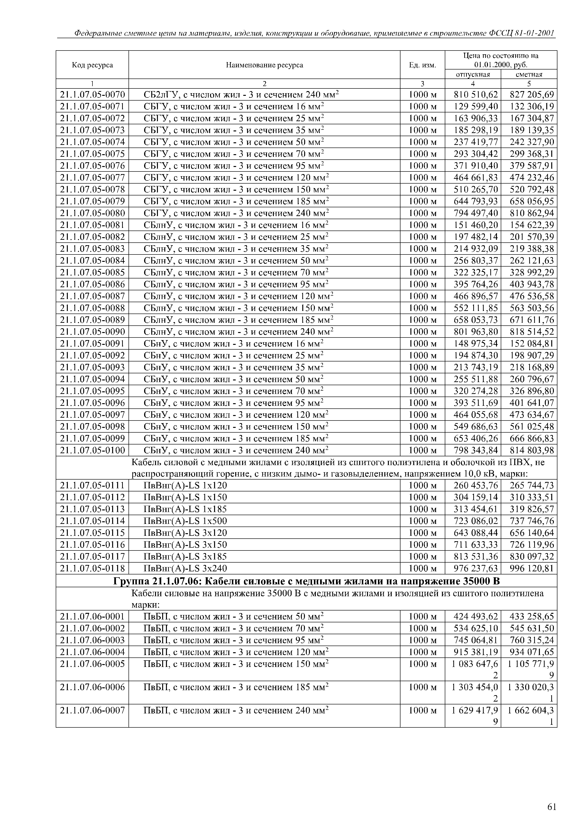
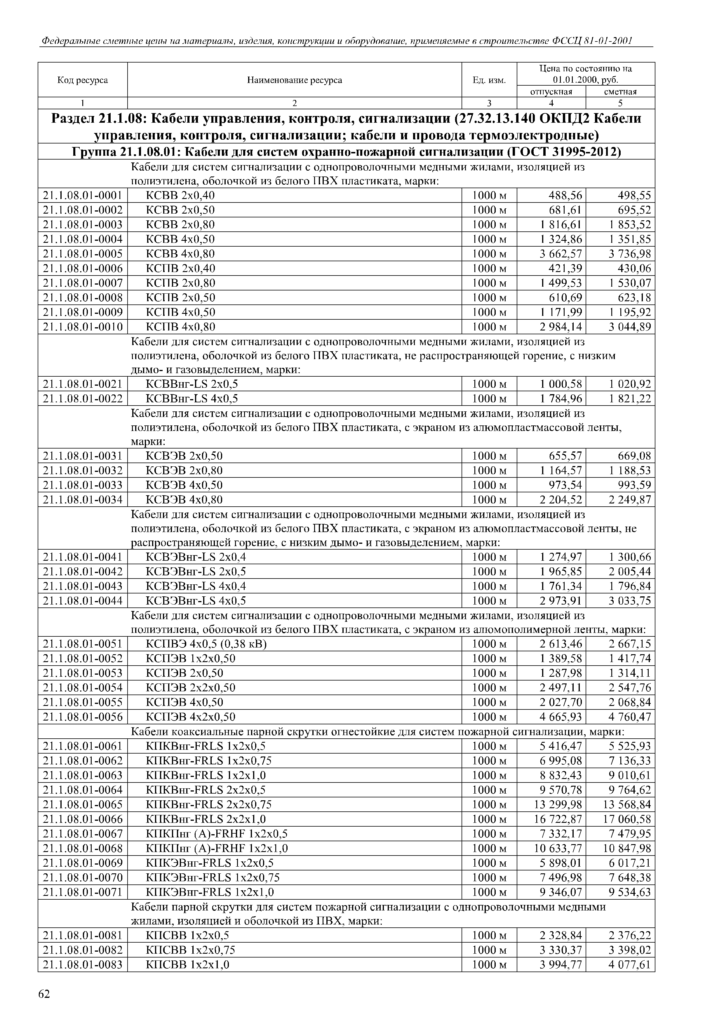
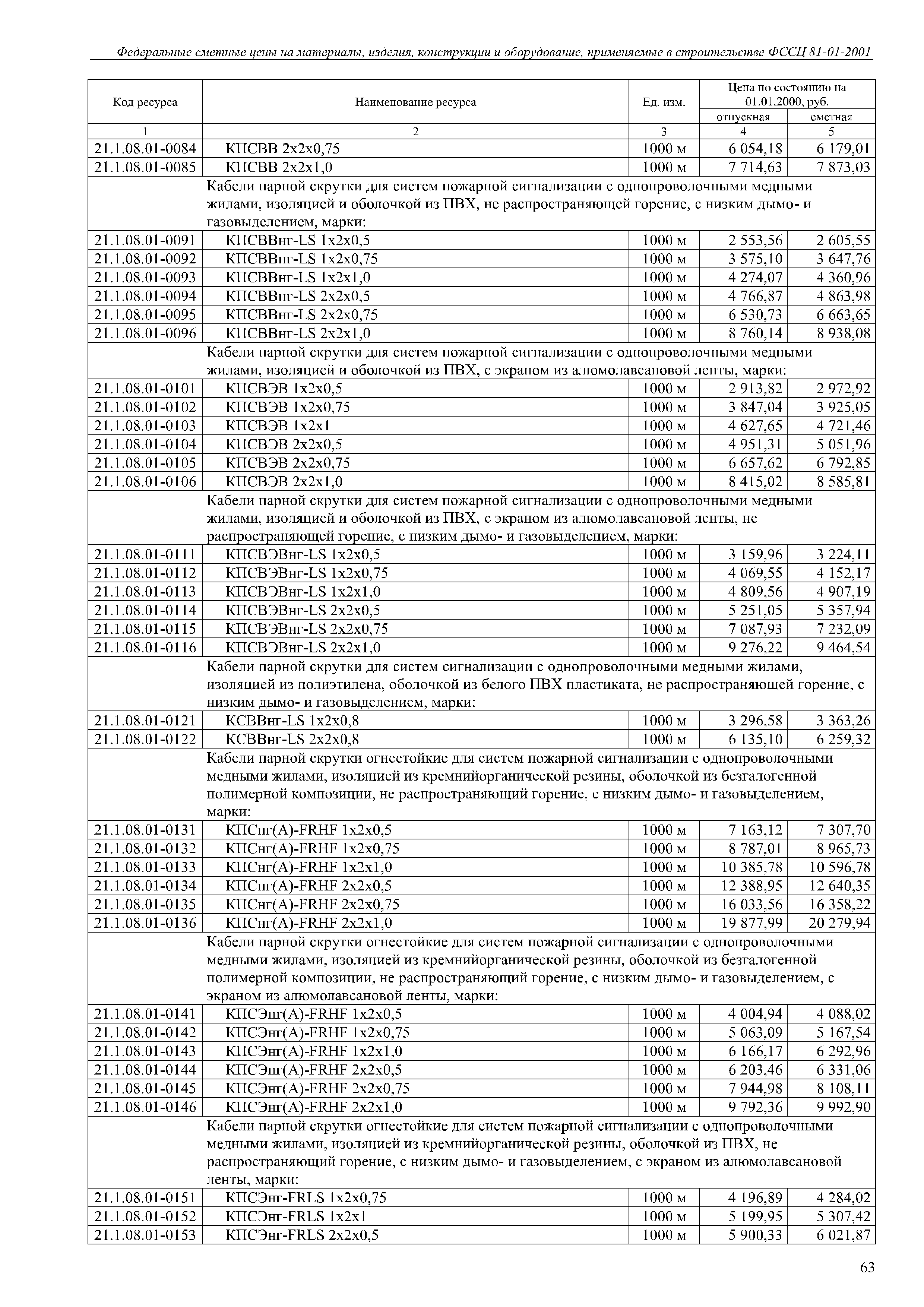
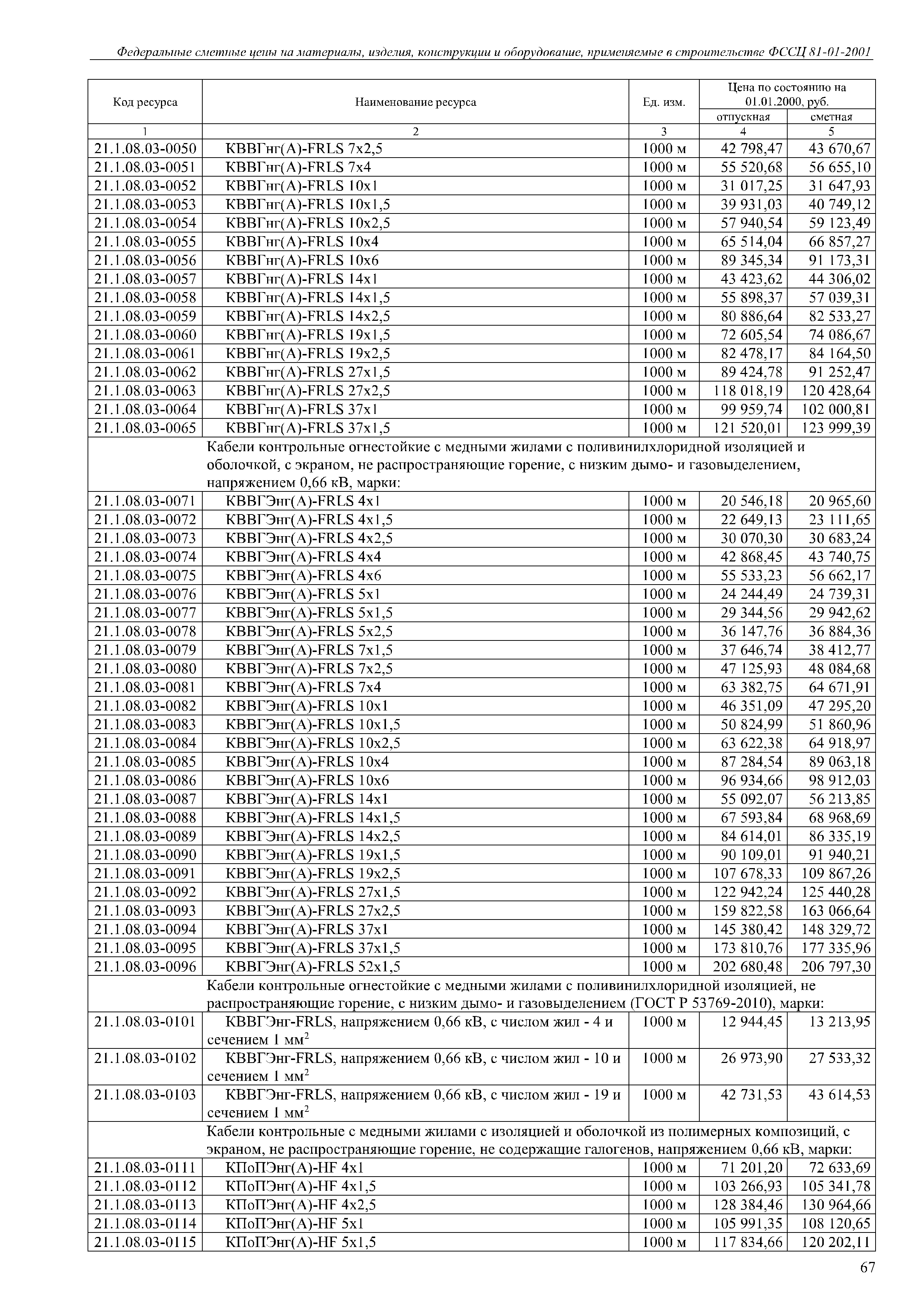
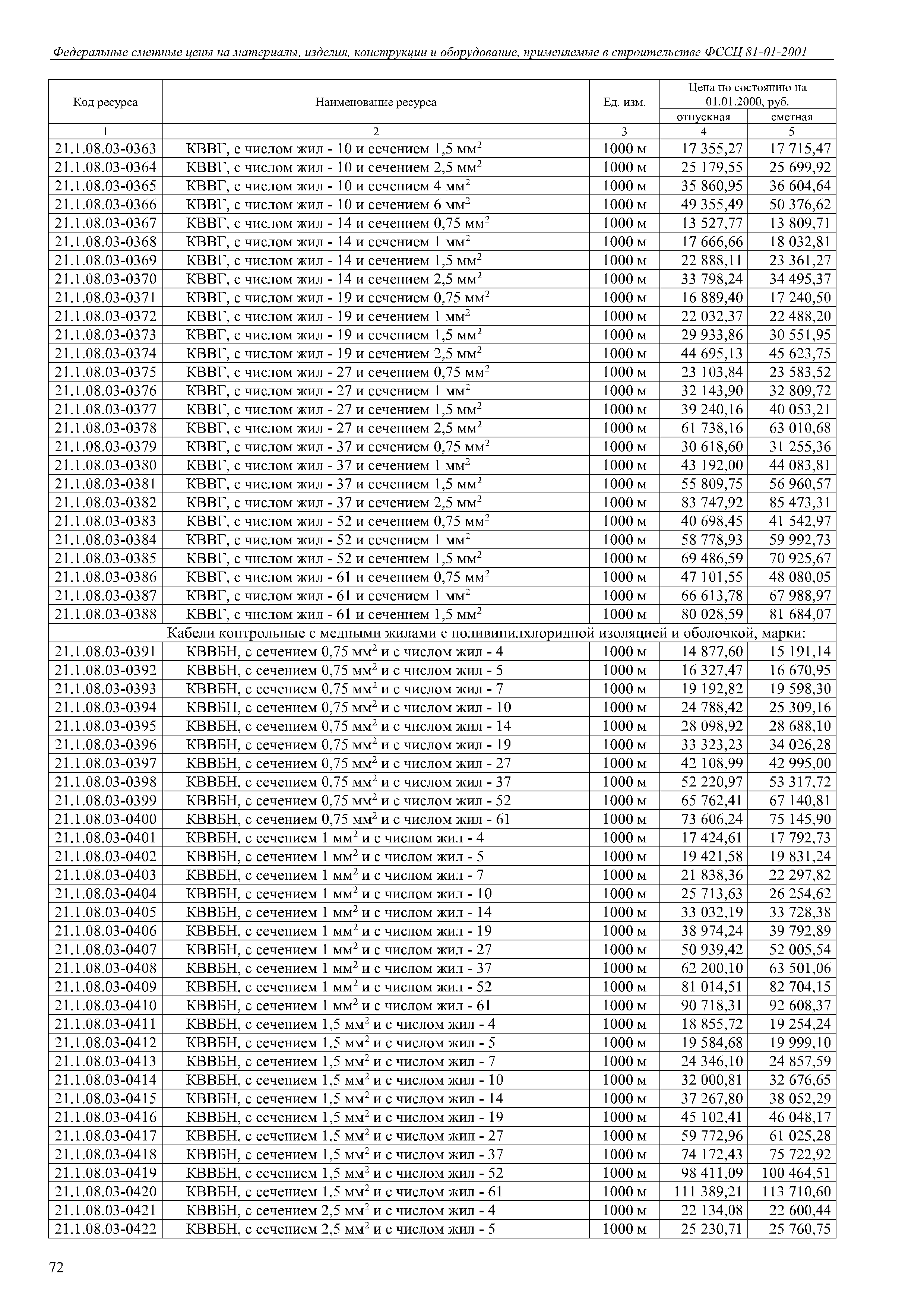
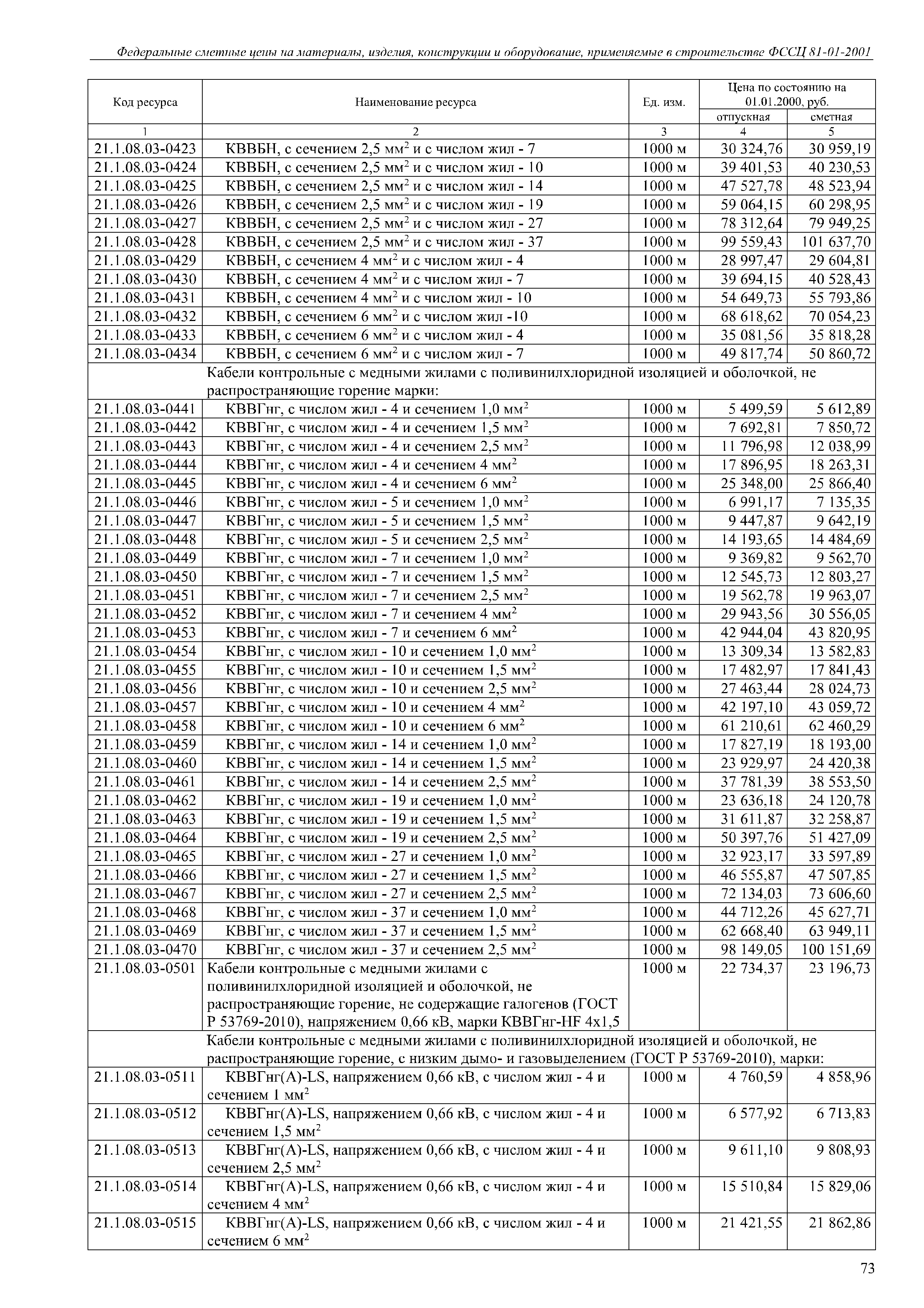
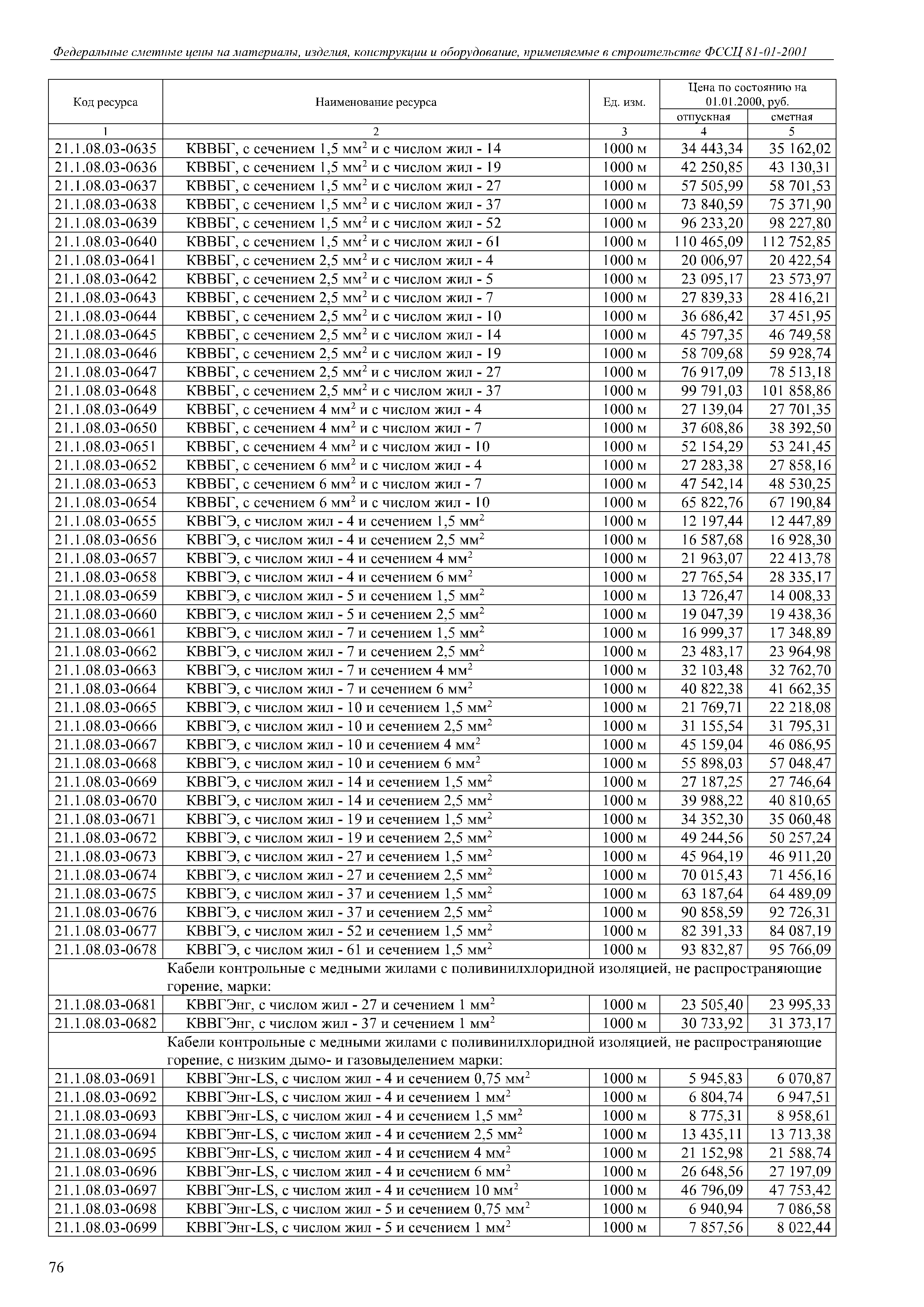
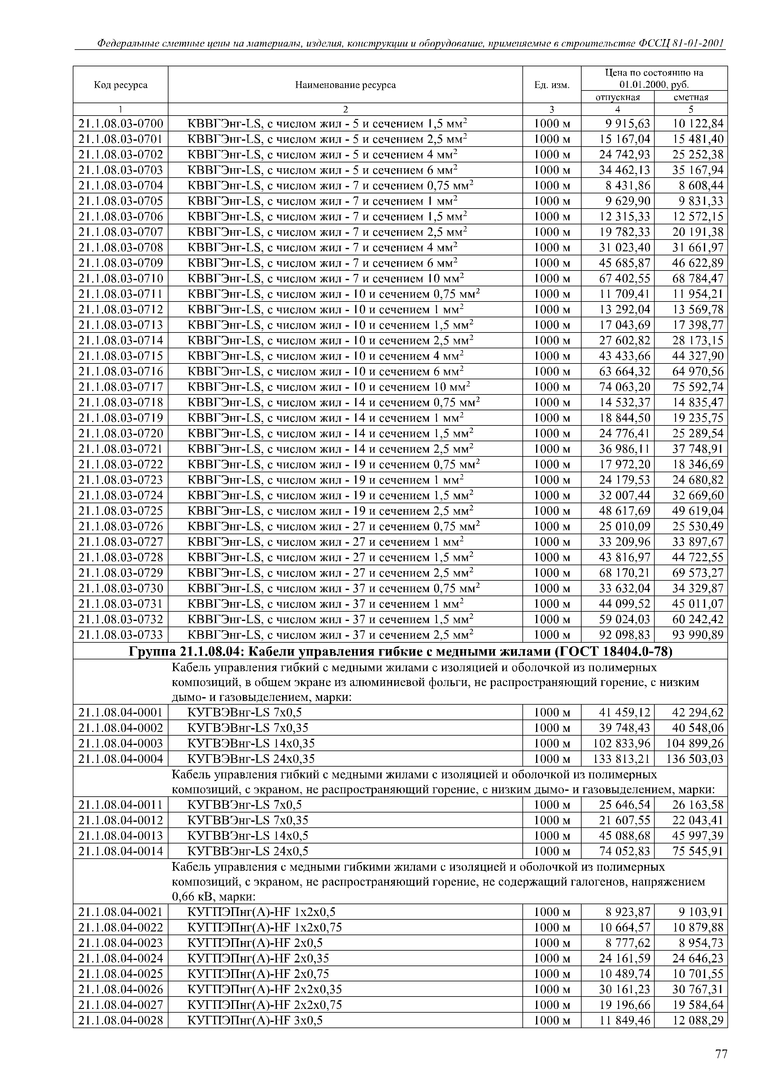
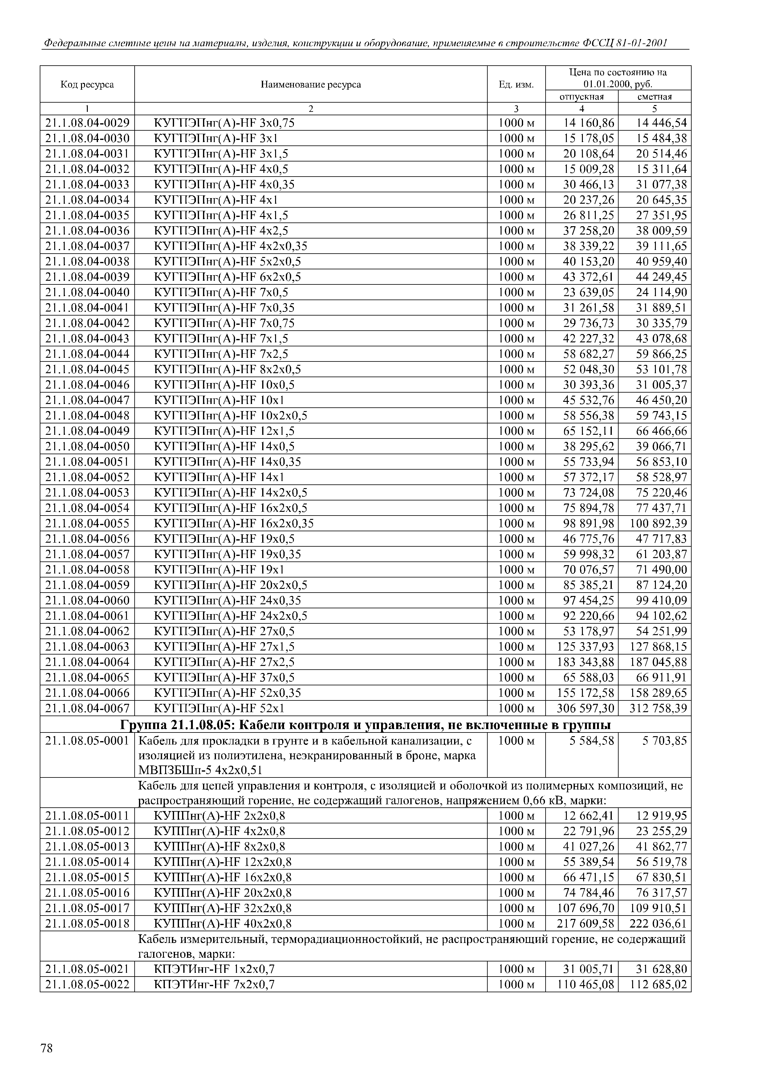
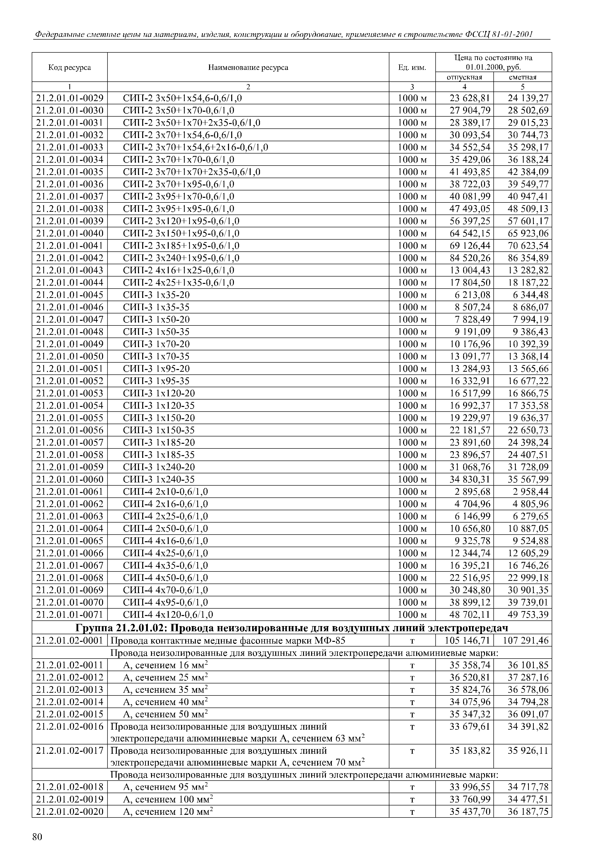
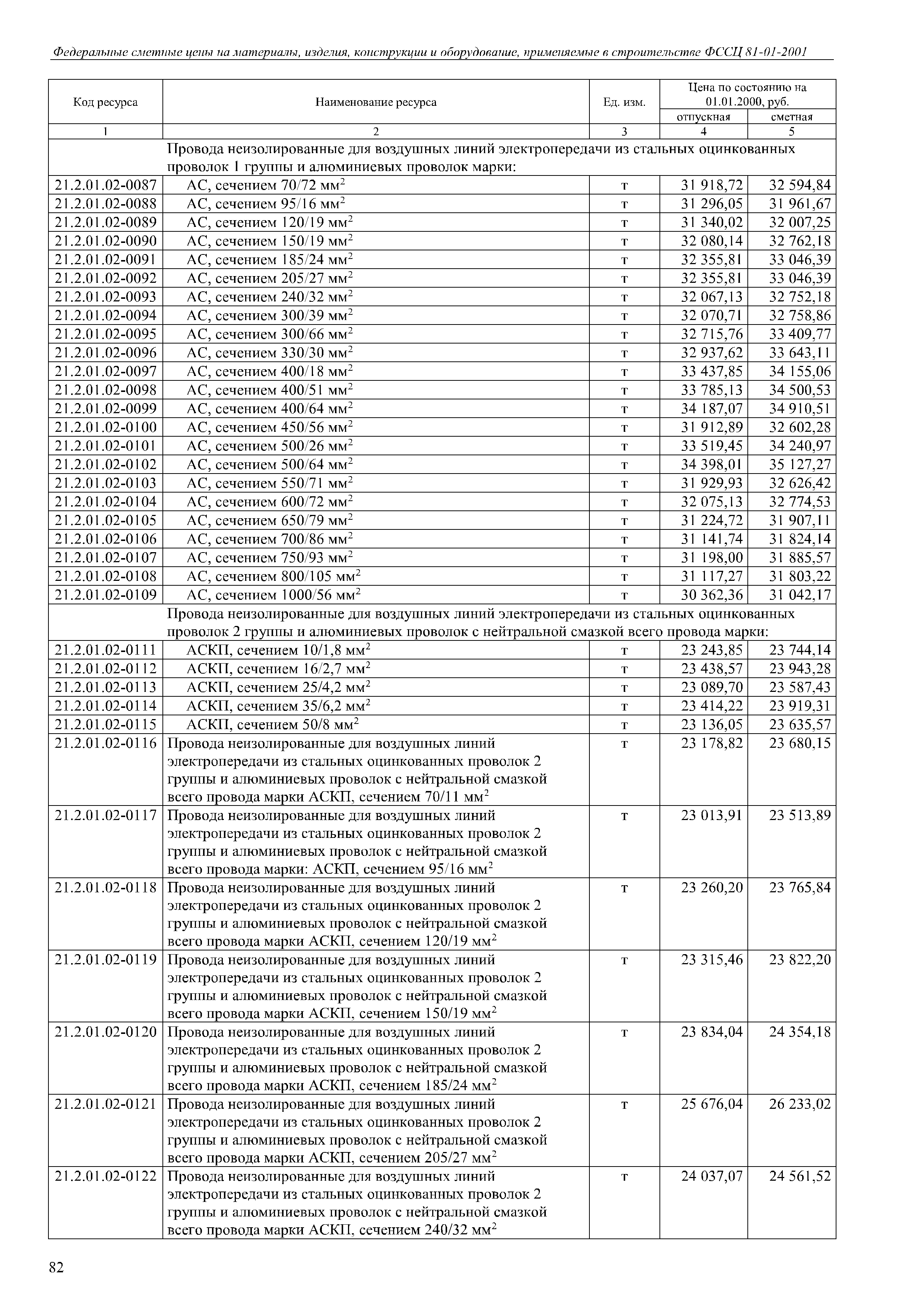
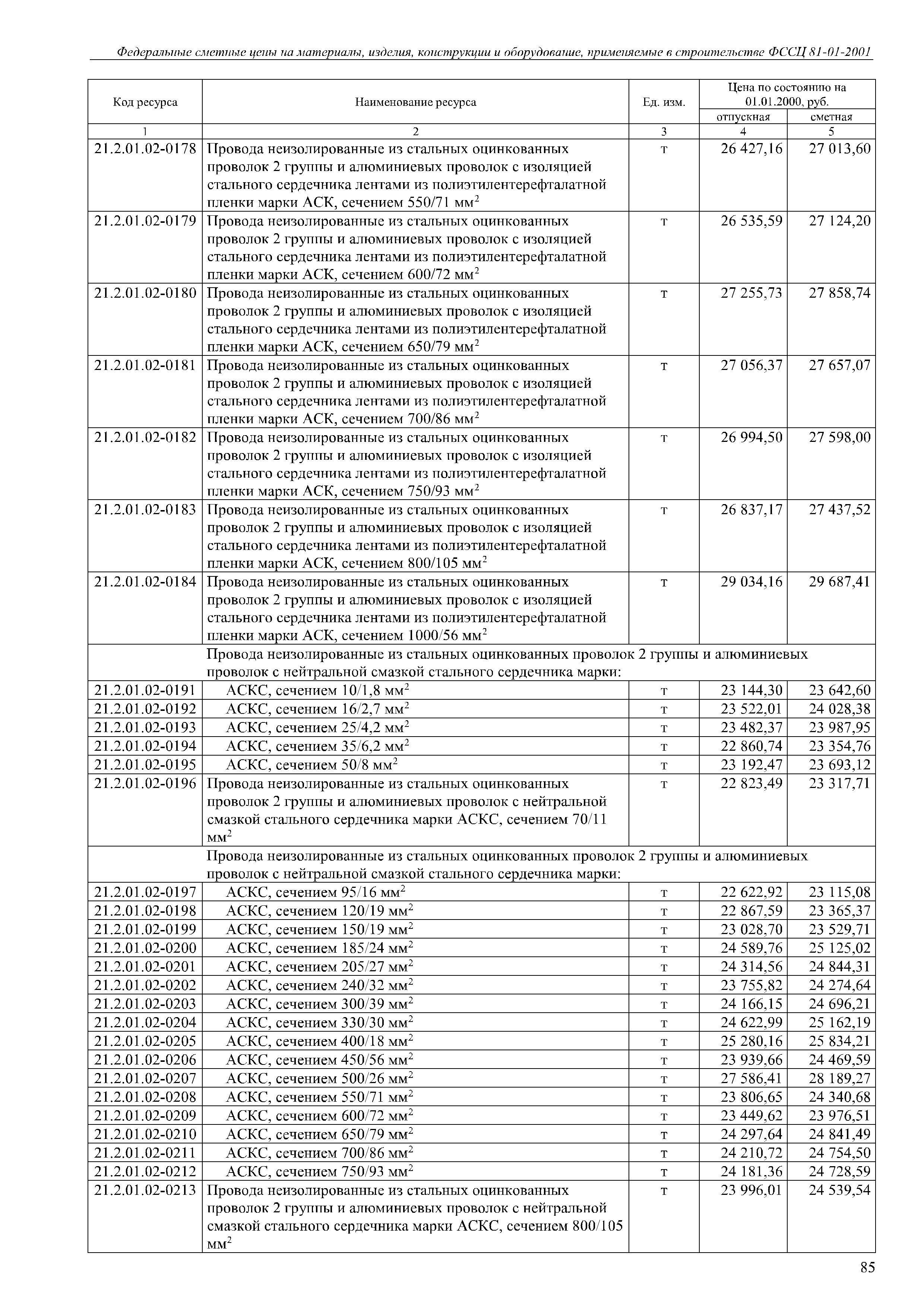
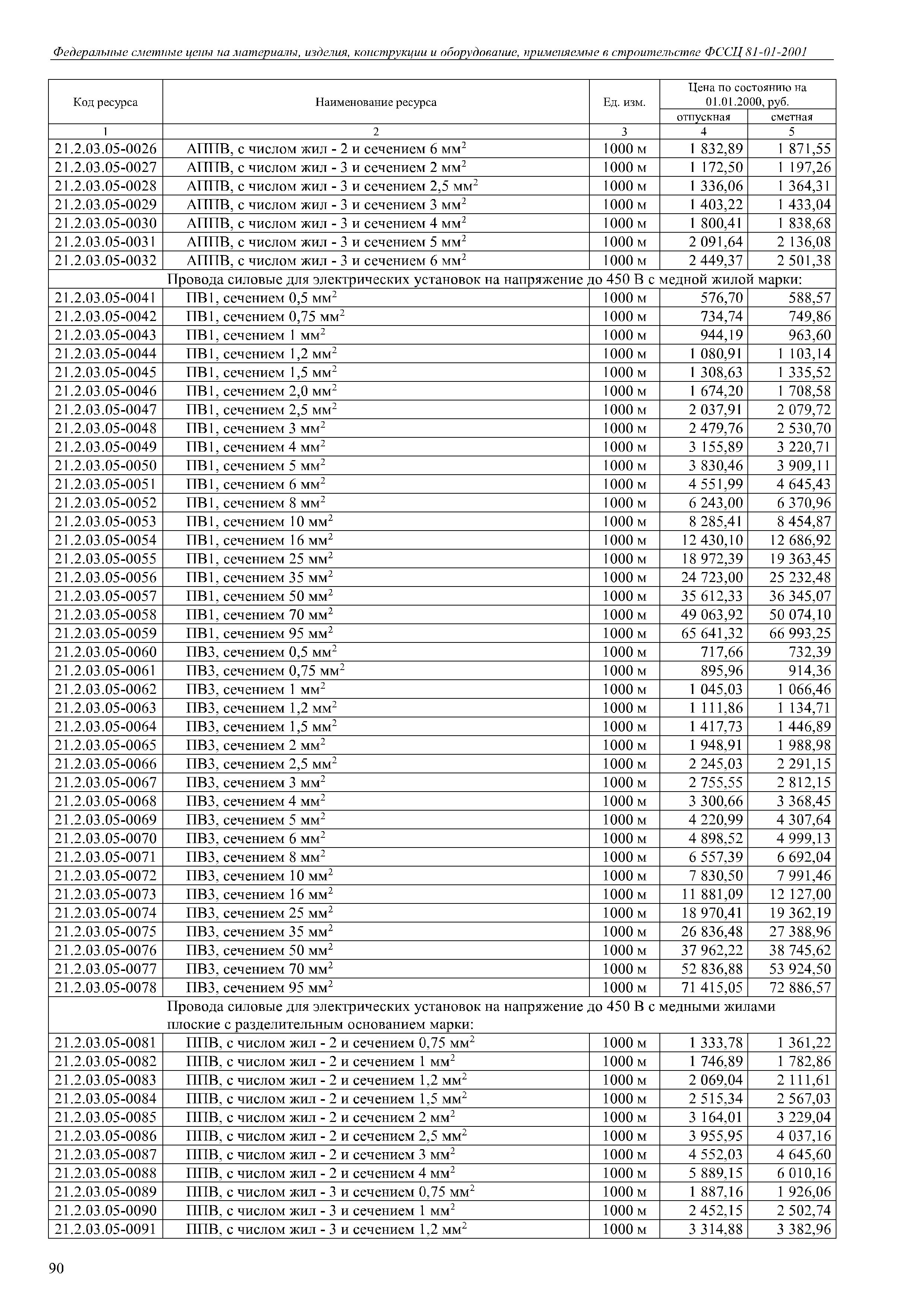
| Оглавление: | Часть 21.1: Кабели Раздел 21.1.01: Кабели волоконно-оптические Раздел 21.1.02: Кабели для подвижного состава транспорта на напряжение более 1 кВ Раздел 21.1.03: Кабели коаксиальные Раздел 21.1.04: Кабели связи Раздел 21.1.05: Кабели силовые для нестационарной прокладки на напряжение не более 1 кВ Раздел 21.1.06: Кабели силовые для стационарной прокладки на напряжение не более 1 кВ Раздел 21.1.07: Кабели силовые для стационарной прокладки на напряжение более 1 кВ Раздел 21.1.08: Кабели управления, контроля, сигнализации Часть 21.2: Провода, шнуры Раздел 21.2.01: Провода для воздушных линий электропередач Раздел 21.2.02: Провода и шнуры связи Раздел 21.2.03: Провода и шнуры силовые |
| Утверждён: | 30.12.2016 Минстрой России (Russian Federation Minstroy 1039/пр) |
| Нормативные ссылки: |
|




























































































