Скачать ГОСТ 31446-2017 Трубы стальные обсадные и насосно-компрессорные для нефтяной и газовой промышленности. Общие технические условияДата актуализации: 01.01.2021
|
| Обозначение: | ГОСТ 31446-2017 |
| Обозначение англ: | GOST 31446-2017 |
| Статус: | взамен |
| Название рус.: | Трубы стальные обсадные и насосно-компрессорные для нефтяной и газовой промышленности. Общие технические условия |
| Название англ.: | Steel casing and tubing for petroleum and natural gas industries. General specifications |
| Дата добавления в базу: | 01.01.2018 |
| Дата актуализации: | 01.01.2021 |
| Дата введения: | 01.07.2018 |
| Область применения: | Стандарт распространяется на стальные трубы (обсадные и насосно-компрессорные трубы, трубы без резьбы, короткие трубы, переводники), муфты, трубные заготовки для муфт и заготовки для соединительных деталей, изготавливаемые по трем уровням требований PSL-1, PSL-2 и PSL-3. Установленные в настоящем стандарте требования являются требованиями PSL-1. Требования PSL-2 и PSL-3 для всех групп прочности, кроме Н40, L80 тип 9Cr и С110, приведены в приложениях E и G. Размеры, масса, группы прочности, применяемая отделка концов и группы длин труб, на которые распространяется настоящий стандарт, приведены в таблицах С.1 – С.2 и С.28 приложения C. По согласованию между заказчиком и изготовителем настоящий стандарт может распространяться на трубы с резьбой и без резьбы других размеров. |
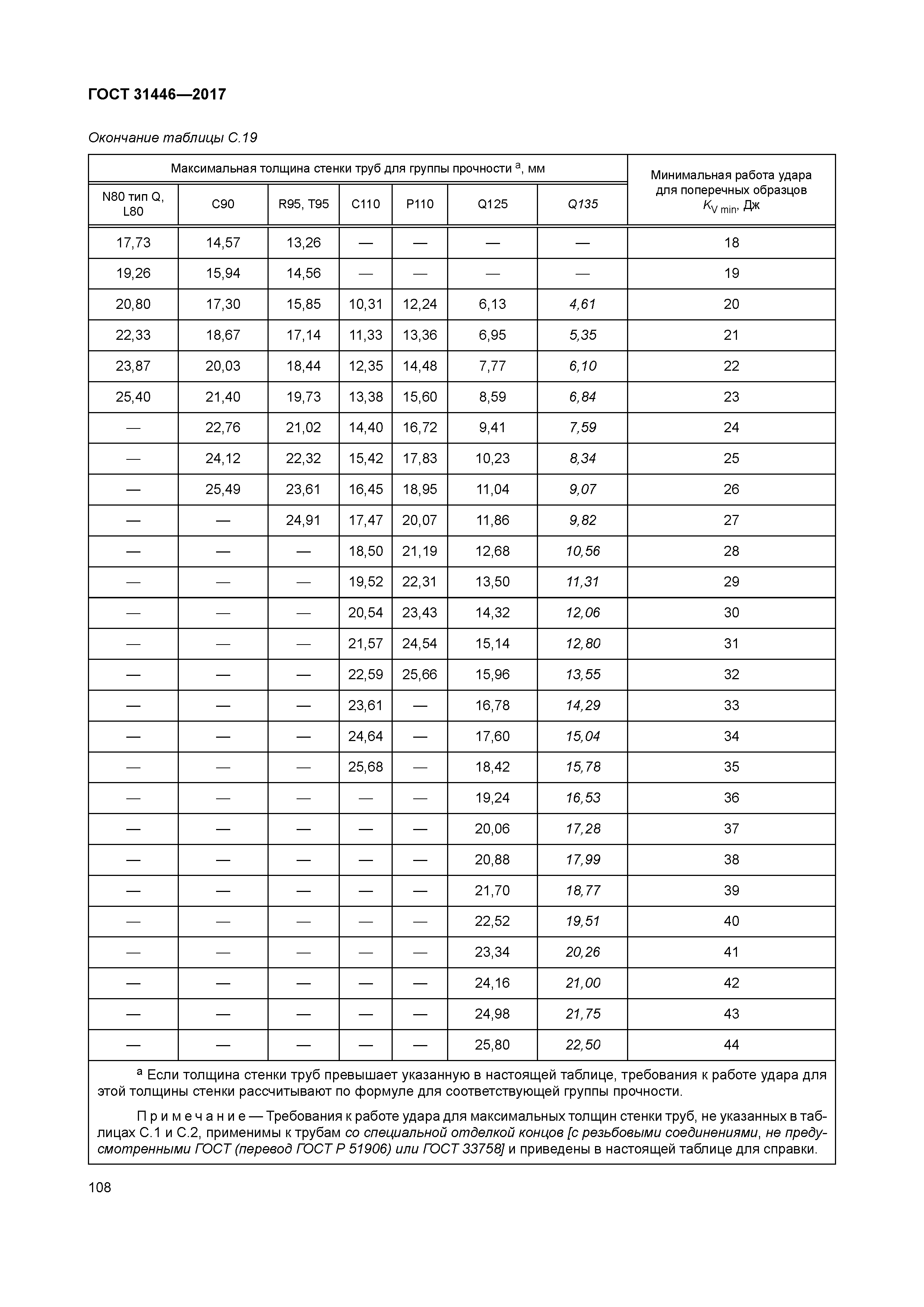
| Оглавление: | 1 Область применения 2 Нормативные ссылки 3 Термины и определения 4 Сокращения и условные обозначения 4.1 Сокращения 4.2 Условные обозначения 5 Информация, предоставляемая заказчиком 5.1 Изделия групп прочности C90, T95 и C110 5.2 Обсадные трубы 5.3 Насосно-компрессорные трубы 5.4 Трубные заготовки для муфт и заготовки для соединительных деталей 6 Способ производства 6.1 Общие положения 6.2 Термообработка 6.3 Правка 6.4 Прослеживаемость 6.5 Валидация процессов 7 Требования к материалу 7.1 Химический состав стали 7.2 Свойства, определяемые при испытаниях на растяжение 7.3 Свойства, определяемые при испытаниях на ударный изгиб. Общие требования 7.4 Свойства, определяемые при испытаниях на ударный изгиб. Требования к работе удара для трубных заготовок для муфт и муфтовых заготовок 7.5 Свойства, определяемые при испытаниях на ударный изгиб. Требования к работе удара для труб 7.6 Свойства, определяемые при испытаниях на ударный изгиб. Требования к работе удара для заготовок для соединительных деталей 7.7 Твердость 7.8 Разброс значений твердости изделий групп прочности С90, Т95, C110, Q125 и Q135 7.9 Управляемость процесса производства изделий групп прочности С90, Т95, C110, Q125 и Q135 7.10 Прокаливаемость изделий, подвергаемых закалке и отпуску 7.11 Величина зерна изделий групп прочности С90, Т95 и C110 7.12 Состояние внутренней поверхности изделий групп прочности L80 тип 9Cr и L80 тип 13Cr 7.13 Свойства сварных труб, определяемые при испытаниях на сплющивание 7.14 Стойкость к SSC изделий групп прочности L80 тип 1, L80 тип 13Cr, C90, Т95 и C110 8 Требования к размерам, массе, длине, предельным отклонениям, отделке концов и качеству поверхности изделий 8.1 Общие положения 8.2 Размеры 8.3 Наружный диаметр 8.4 Толщина стенки 8.5 Масса 8.6 Длина 8.7 Стыкованные обсадные трубы 8.8 Высота сварного грата и его удаление 8.9 Прямолинейность 8.10 Проходимость труб, контролируемая оправкой 8.11 Предельные отклонения размеров и массы 8.12 Отделка концов изделий 8.13 Качество поверхности 8.14 Свинчивание и защита резьбовых соединений 9 Муфты 9.1 Общие требования 9.2 Альтернативные группы прочности или режимы термообработки 9.3 Механические свойства 9.4 Размеры и предельные отклонения 9.5 Обычные муфты 9.6 Специальные муфты классов прочности 1, 2 и 3 9.7 Комбинированные муфты 9.8 Переходные муфты классов прочности 1, 2 и 3 9.9 Муфты с уплотнительными кольцами 9.10 Обычные муфты со специальной фаской классов прочности 1, 2 и 3 9.11 Нарезание резьбовых соединений 9.12 Качество поверхности 9.13 Измерения глубины несовершенств 9.14 Ремонт и удаление несовершенств и дефектов 9.15 Обработка поверхности резьбы муфт групп прочности 0125 и 0135 9.16 Защита муфт групп прочности С90, Т95, С110, Q125 и Q135 с механически обработанной наружной поверхностью 10 Контроль и испытания 10.1 Оборудование для испытаний и контроля 10.2 Определение размера партии для испытаний механических свойств 10.3 Контроль химического состава 10.4 Испытания на растяжение 10.5 Испытания на сплющивание 10.6 Контроль твердости 10.7 Испытания на ударный изгиб 10.8 Определение величины зерна изделий групп прочности С90, Т95 и C110 10.9 Контроль прокаливаемости 10.10 Испытания на сульфидное растрескивание под напряжением изделий групп прочности С90, Т95 и C110 10.11 Металлографический контроль сварного соединения труб групп прочности Р110, Q125 и Q135 10.12 Гидростатические испытания 10.13 Контроль размеров 10.14 Визуальный контроль 10.15 Неразрушающий контроль 11 Маркировка 11.1 Общие положения 11.2 Маркировка клеймением 11.3 Маркировка краской 11.4 Цветовая маркировка 11.5 Маркировка резьбового соединения и отделки концов . 11.6 Маркировка, наносимая нарезчиком 12 Покрытие, резьбовые предохранительные детали и упаковка. 12.1 Покрытие 12.2 Резьбовые предохранительные детали 12.3 Упаковка 13 Документация 13.1 Электронные носители информации 13.2 Документ о приемочном контроле изделий классов прочности 1, 2 (кроме группы прочности C110) и класса прочности 3 13.3 Документ о приемочном контроле изделий групп прочности C110, Q125 и Q135 13.4 Сохранение записей 14 Требования к оборудованию для различных изготовителей 14.1 Изготовитель 14.2 Обработчик 14.3 Нарезчик 14.4 Изготовитель муфт, коротких труб и соединительных деталей Приложение А (обязательное) Дополнительные требования Приложение В (обязательное) Инспекция, проводимая заказчиком Приложение С (обязательное) Таблицы Приложение D (обязательное) Рисунки Приложение Е (обязательное) Перечень требований PSL-2 и PSL-3 Приложение F (обязательное) Требования по валидации конструкции резьбовых предохранительных деталей Приложение G (справочное) Требования PSL-2 и PSL-3 к изделиям разных групп прочности Приложение Н (обязательное) Измененная процедура титрования сероводорода по сравнению с [47], приложение С Приложение ДА (справочное) Сопоставимость групп прочности и типов резьбовых соединений Приложение ДБ (справочное) Сопоставление структуры настоящего стандарта со структурой примененного в нем международного стандарта Приложение ДВ (справочное) Сведения о соответствии ссылочных межгосударственных стандартов международным стандартам, использованным в качестве ссылочных в примененном международном стандарте Библиография |
| Разработан: | ТК 357 Стальные и чугунные трубы и баллоны Подкомитет ПК 7 Трубы нарезные |
| Утверждён: | 30.06.2017 Межгосударственный Совет по стандартизации, метрологии и сертификации (Inter-Governmental Council on Standardization, Metrology, and Certification 100-П) 03.08.2017 Федеральное агентство по техническому регулированию и метрологии (799-ст) |
| Издан: | Стандартинформ (2017 г. ) |
| Список изменений: |
|
| Заменяет собой: |
|
| Нормативные ссылки: |
|
































































































































































































































































Текстовое изменение Поправка от 26.06.2018

